网站首页  词典首页


请输入您要查询的字词:

 

字词 工厂用电设备容量的确定
类别 中英文字词句释义及详细解析
释义

工厂用电设备容量的确定


1.用电设备的工作制

(1)长期连续工作制设备

这类设备能长期连续运行,每次连续工作时间超过8h,而且运行时负荷比较稳定,如通风机、电热设备、照明设备等属于长期连续工作制设备。机床电动机虽然负荷较大,但也归属于长期连续工作制设备。

(2)短时工作制设备

这类设备的工作时间短,而停歇时间长,如机床上的辅助电动机就属于短时工作制设备。

(3)反复短时工作制设备

这类设备时而工作,时而停歇,如此反复短时交替,如电焊设备、起重机、电梯等就属于反复短时工作制设备。

2.设备容量的确定

(1)长期连续工作制和短时工作制的设备容量

该容量等于设备铭牌上所标的额定功率,即:

Pe=PN (6-1)

式中 Pe——设备容量(W);

PN——设备铭牌额定功率(W)。

(2)反复短时工作制的设备容量

该容量是将某负荷持续功率下的铭牌额定功率换算到统一负荷持续率下的功率。

负荷持续率(暂存率)用一个工作周期内工作时间占整个周期的百分比来表示,即:

式中 ε——持续负荷率(暂存率);

t——工作时间(s);

t0——停歇时间(s)。

起重机的标准暂存率ε有15%、25%、40%、60%四种。

电焊设备的标准暂存率ε有50%、65%、75%、100%四种。

①起重机(吊车电动机)。要求统一换算到ε=25%时的额定功率,即:

式中 Pe——设备容量(W);

PN——设备铭牌额定功率(W);

εN——设备铭牌暂存率;

ε25——值为25%的暂存率。

②电焊机设备。要求统一换算到ε=100%时的额定功率,即:

式中 Pe——设备容量(W);

PN——设备铭牌额定功率(W);

SN——设备额定视在功率(W);

εN——设备铭牌暂存率;

cosφN——设备铭牌功率因数。

③电炉变压器。设备容量为额定功率下的有功功率,即:

Pe=SN·cosφN (6-5)

式中 Pe——设备容量(W);

SN——电炉变压器的额定容量(视在功率)(W);

cosφN——电炉变压器的功率因数。

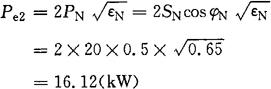
[例6-1] 有一个小批量生产车间380V供电线路上接有金属切削机床共30台(其中10kW的5台,8kW的15台,5kW的10台),电焊机2台(每台容量20kW,εN=65%,cosφN=0.5),起重机(吊车)1台(12kW,εN=25%),求此车间的设备容量。

[解] 金属切削机床的设备容量(长期连续工作制设备)

电焊机的设备容量(反复短时工作制设备)

起重机(吊车)的设备容量(反复短时工作制设备)

车间的设备总容量

Pe=Pe1+Pe2+Pe3=220+16.12+12

=248.12(kW)

随便看

 

离鸟网收录3541549条中英文词条,其功能与新华字典、现代汉语词典、牛津高阶英汉词典等各类中英文词典类似,基本涵盖了全部常用中英文字词句的读音、释义及用法,是语言学习和写作的有利工具。

 

Copyright © 2004-2024 vtrois.com All Rights Reserved
更新时间:2026/4/8 7:19:15