工序在稳定或控制状态下生产出合格产品的能力称工序能力。其计算公式如下:
B=6σ σ——标准偏差
若B越大,则工序的加工精度越低。
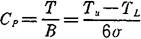
工序能力的大小,一般通过工序能力指数Cp值来表达。工序能力指数,就是产品公差范围与工序能力之比,即:

T——公差范围
Tu——公差上限
Tl——公差下限
当收集的质量数据分布中心u和公差中心M存在偏移时,还需通过偏移系数k来计算Cpk值。偏移系数计算公式和Cpk计算公式分别为:

由Cp值的大小可定量计算出该工序的不合格品率,并直接反映了工序的质量水平。一定的工序能力指数与一定的不合格品率相对应。见表13-5。
表13-5 工序能力指数与不合格品率对应表

其计算转换公式如下:
(1)质量数据分布中心和公差中心无偏移时,求不合格品率的计算公式为:
ρ=2φ(-3Cp)
(2)质量数据分布中心和公差中心有偏移时,求不合格品率的计算公式为:
ρ=φ〔-3(1+k)Cp〕+φ〔-3(1-k)Cp〕