带有缓和曲线的圆曲线各主点测设完毕后,为满足设计和施工的需要,也应在曲线上每隔一定的距离测设一个加桩,和圆曲线一样,带有缓和曲线的曲线也采用整桩号法测设曲线的加桩。测设加桩常采用切线支距法和偏角法。
1.切线支距法(直角坐标法)
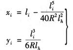
切线支距法是以缓和曲线的起点ZH或终点HZ为坐标原点,以过原点的切线为x轴,过原点且垂直于x轴的方向为y轴。缓和曲线和圆曲线的各点坐标,均按同一坐标系统计算,但分别采用不同的计算公式,如图11-11所示。

图11-11 切线支距法测设缓和曲线
在缓和曲线段任一点i的坐标按下式计算。

式中 li——缓和曲线上任一点i至曲线起点或终点的曲线长。
对于圆曲线段部分,各点的直角坐标仍和以前计算方法一样,但坐标原点已移至缓和曲线起点,因此原坐标必须相应地加q、p值,即


l——圆曲线上任一点至HY点或YH点的曲线长;
lh——缓和曲线长。
实际工作中,缓和曲线和圆曲线各点的坐标值也可由曲线表查出,曲线的设置方法和圆曲线的切线支距法测设方法完全相同。
2.偏角法(极坐标法)
偏角法的测设方法实际是一种极坐标法,它利用一个偏角△和一段距离C来确定曲线上某点,如图11-12所示。和切线支距法一样,以缓和曲线的起点ZH或终点HZ为坐标原点,以过原点的切线为x轴,过原点且垂直于x轴的方向为y轴。曲线上某点P至曲线的起点(ZH点或HZ点)的距离为Ci,P点和原点的连线与坐标轴的x轴之间的夹角为△i。它们可以通过切线支距法求出的点的坐标P(xi、yi)来进行计算。

图11-12 偏角法的测设缓和曲线细部
由于弦长C是逐步增加的,且距离较大,所以一般可以采用光电测距仪或全站仪进行测设,将仪器安置在ZH点或HZ点,以度盘0°00′00″照准路线的交点JD。转动照准部,依次测设△角和相应的弦长Ci,钉桩,即可分别得到曲线上各点。