网站首页  词典首页


请输入您要查询的字词:

 

字词 常用几何图形的面积和体积的计算公式
类别 中英文字词句释义及详细解析
释义

常用几何图形的面积和体积的计算公式


(1)梯形

式中 a、b-上底长和下底长;

h-高;

S-面积(以下同)。

(2)菱形

式中 D-长对角线长;

d-短对角线长。

(3)正多边形

式中 n-边数;a-边长

r-边心距;

α-2π/边数;

R-外接圆半径。

(4)圆

式中 D-直径;

r-半径。

(5)圆环

式中 D-外圆直径;

d-内圆直径;

R-外圆半径;

r-内圆半径。

(6)扇形

式中 L-弧长;

r-半径;

a-圆心角。

(7)缺圆环

式中 R-外半径;r-内半径;a-中心角。

(8)弓形

式中 L-弧长;r-半径;a-圆心角;h-突起;a-弦长。

(9)椭圆

S=πab

式中 a-长半轴;

b-短半轴。

(10)椭圆环

S=π(ab-a1b1)

式中 a-外椭圆长半径;

a1-内椭圆长半径;

b-外椭凹短半轴;

b1-内椭圆短半轴。

(11)抛物线

式中 b-宽;

h-高。

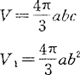
(12)正立方体

V=a3

式中 V-体积

(以下同);

a-边长。

(13)长立方体

V=abh

式中 a-长;

b-宽;

h-高。

(14)多角柱体

V=Sh

式中 h-高

S-底面积

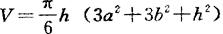
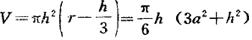
(15)六角锥体

式中 h-高;

S-底面积。

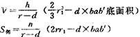
(16)三棱柱体

式中 a、b、c-分别为

三棱柱体的三个边长;

S-三棱柱断面积。

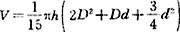
(17)棱台

式中 S及S0-分别为上下底面积;

a、b-边长;

h-高。

(18)楔形体(两侧为等腰三角,前后为梯形)

(19)圆柱

S=πdh

式中 d-直径;

h-柱高。

(20)斜切正圆柱

S=πr(h1+h2)

式中 h及h1-分别为斜切正圆柱的高;

r-半径。

(21)中空圆柱

式中 h-高;

D及d-分别为外内直径。

(22)球

S=4πr2

式中 r-球半径

(23)球锥体(球楔)

S=πr(2h+a)

式中 h-突起;

a-弦长的一半;

r-半径。

(24)弓形体(缺圆)

S=2πrh(不包括底面积)

式中 h-突起;

a-弦长的一半;

r-半径。

(25)球截体(球带体)

S=2πrh

式中 r-半径;

h-拱高。

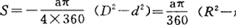
(26)圆截面环(圆环体)

V=π2·Dr2

S=4π2Rr2Dd

式中 R-环体半径;

D-环体直径;

r-环体断面半径;

d-环体断面直径。

(27)正圆锥体

式中 r-底半径;

h-高;

l-母线长。

(28)平截正圆锥体

S=πl(R+r)

式中 r-上底半径;

R-下底半径;

h-高;

l-母线长。

(29)平裁空心圆锥体

式中 D1及D2-分别为下底外直径和内直径;

d1及d2-分别为上底外直径和内直径;

δ-圆锥体厚度。

(30)正圆体的斜劈

(31)桶状体

(母线是圆弧形,圆心是桶的中心)

式中 D-桶腹直径;d-桶底直径;h-桶高。

(32)椭圆体

(绕a-a轴旋转时)

(绕b-b轴旋转时)

式中 a、b、c-分别为椭圆体三个方向的半径

(33)正四面体

棱:6

顶点:4

S=1.7321a2

V=0.1179a3

a=棱长

(四个三角形)

(34)正八面体

棱:12

顶点:6

S=3.4641a2

V=0.4714a3

(八个三角形)

(35)抛物线体

式中 D-直径;

R-半径;

h-高;

V-体积。

(36)交叉圆柱体

式中 r-圆柱半径;

L、L′-圆柱的长;

V-体积。

(37)直通式砖格子的用砖数

式中 N-每层砖格子所用格子砖块数;

F-砖格子室的横断面积(mm2);

S-格孔尺寸(mm);

d-格子砖的厚度(mm)。

随便看

 

离鸟网收录3541549条中英文词条,其功能与新华字典、现代汉语词典、牛津高阶英汉词典等各类中英文词典类似,基本涵盖了全部常用中英文字词句的读音、释义及用法,是语言学习和写作的有利工具。

 

Copyright © 2004-2024 vtrois.com All Rights Reserved
更新时间:2026/4/8 10:43:02