网站首页  词典首页


请输入您要查询的字词:

 

字词 常用图表
类别 中英文字词句释义及详细解析
释义

常用图表


1.空气的焓湿图(图3-4-78)。

图3-4-78 湿空气的Ⅰ-图(大气压为101.32kPa)

2.国内主要城市的干湿球温度值,见表3-4-93。

表3-4-93 我国主要城市每年超过5天和10天的昼夜平均干、温球温度值

3.空气和燃烧气垂直流经错列管束时的传热膜系数,见图3-4-79。

图3-4-79 空气或燃烧气垂直流经错列管束时的传热膜系数

基本依据 本图根据下列公式绘制成。

h=fGm2/3T0.3/D1/3 (3-4-80)

式中 h——传热膜系数〔kcal/(m2·h·℃)〕

T——气体的绝对温度(K)

Gm——通过管束的气体最大质量流速,〔kg/(m2/s)〕(Gm=Vρ)

D——管外径(cm)

f——系数,管式炉时为4.41,小规模实验时为4.83

V——流速,(m/s)

ρ——密度(kg/m3)

使用方法 在图3-4-79依次连接标尺T→Gm→R,R→D→h,即得所求之值。

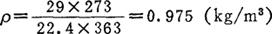
例题 已知一个大气压(0.1MPa)的空气垂直流经外径为10cm的管子交错排列的管束进行加热,空气的平均温度为90℃,通过最狭窄处时的流速为1.5m/s,求空气侧传热膜系数。

(解)T=273+90=363K

Gm=Vρ=1.5×0.975=1.46kg/(m2·s)

在图3-4-79上,将标尺T上363(右侧数字)和标尺Gm上1.46相连,与参考线R相交,将此交点和标尺D上10相连,并延长与标尺h相交,得交点h=15.5kca1/(m2·h·℃)。

4.空气流经翅片管表面的传热膜系数

基本依据 当两股流体的给热系数相差很大时,如用水蒸汽冷凝以加热空气等气体时,空气给热系数约为10,水蒸汽冷凝的给热系数达1000~2000,为达到换热要求,用加多换热管子数量来加大受热面积,显然是不经济的,采用换热管表面增加翅片的办法,既加大传热面积,又增强气体流动时湍动程度,提高了气体的给热系数。

用翅片加大换热表面时空气传热膜系数可用下式表示:

hf=0.17〔(VF)0.6/(D′o)0.4〕〔P′/(P′-D′o)〕0.6 (3-4-81)

式中 hf——空冷器翅片管空气传热膜系数,(以总的加大后的表面积为准)〔英热单位/(英尺2·h·℉)〕

VF——空气侧速度(英尺/min)

P′——管束中管中心间距(in)

D′o——光管外径,(翅管根部直径)(in)

应用范围 可用于气体和液体的加热或冷却的翅片式换热。

已知换热翅片管的VF、D′o和P′值,用图3-4-80即可求得hf。为增加低速VF范围时的精确度,在标尺VF和标尺hf两侧都有刻度,使用时两标尺相对应地用。

图3-4-80 空气流经翅注管表面的传热膜系数算图

使用方法 按图3-4-80,依次连接标尺P′→D′o→R,

R→VF→hf,即得所求之值。

例题 有一组翅片加热管,管子外径D′o=1.5in,管束管子中心间距P′=4in,空气流速为VF=200英尺/min,求管外空气侧传热膜系数。

(解)按图3-4-80将标尺P′上的4和标尺D′o上1.5相连,并延长与参考线R相交,将其交点和标尺VF上低值侧200相连,与标尺hf相交,在交点读低范围值得hf=4.6英热单位/英尺2·h·℉。

5.空气的相对湿度百分率

基本依据 空气的湿球温度与干球温度之差小于6℃时,两者温度与相对湿度百分率可用下式表示:

R=〔(tW+10)/(td+10)〕3 (3-4-82)

式中 R——相对湿度百分率

tW——湿球温度(℃)

td——干球温度(℃)

图3-4-81即根据上式绘制而成。

使用方法 已知空气的湿球温度及干球温度,用图3-4-81求相对湿度百分率时,连接标尺tW上的已知湿球温度及标尺td上的已知干球温度,在相对湿度百分率标尺R上读取所求数据。

例题 空气的湿球温度为22.5℃及干球温度为26℃,求相对湿度百分率。

(解)按图3-4-81中的断线所示,连接标尺tW上的22.5及标尺td上的26,在标尺R上读取74%,即为所求之值。

图3-4-81 空气的相对湿度百分率

随便看

 

离鸟网收录3541549条中英文词条,其功能与新华字典、现代汉语词典、牛津高阶英汉词典等各类中英文词典类似,基本涵盖了全部常用中英文字词句的读音、释义及用法,是语言学习和写作的有利工具。

 

Copyright © 2004-2024 vtrois.com All Rights Reserved
更新时间:2026/4/8 15:21:46