网站首页  词典首页


请输入您要查询的字词:

 

字词 常用混凝土配合比设计
类别 中英文字词句释义及详细解析
释义

常用混凝土配合比设计


常用混凝土是由水泥、砂、石子和水等材料按一定比例配合,经搅拌、成型及养护硬化而成。

在混凝土中砂填充石子的孔隙,共同起着骨架作用,故通常把砂、石称为骨料(细、粗骨料)。水泥和水组成的水泥浆,填充砂、石之间孔隙,并包裹在砂、石颗粒表面。在混凝土硬化之前,水泥浆在骨料间起润滑作用,使混凝土拌合物易于搅拌,浇捣密实;在硬化之后形成水泥石,将砂石牢固地胶结成整体。

(1)混凝土配合比设计

以《普通混凝土配合比设计技术规定》(JGJ55-81)为依据进行混凝土配合比计算。

①配合比计算步骤:a.确定试配强度(Rh);b.确定水灰比();c.确定用水量(wo);d.计算粗、细骨料;(Go、So)

;e.计算水泥量();f.确定试配的配合比。

(2)计算和选定的计算方法

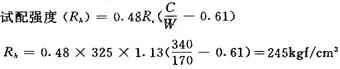
①计算试配强度(Rh):

Rh=Rpo

式中 Rp-设计强度MPa(兆帕);

σo-经验系数(如无历史统计资料,σo可按下表取值)。

表5-5取值表

注:括号内数值为混凝土旧标号.

②计算灰水()比(即水灰比的倒数)值根据试配强度(Rh)按下式计算:

采用碎石时

采用卵石时

式中:-混凝土所要求的灰水比;

Rc-水泥实际强度(MPa)。

在无法取得水泥实际强度数值时,可按下式计算:

式中 Rc-水泥强度;

Kc-水泥强度富余系数1.13。

混凝土的最大水灰比和最小水泥用量应符合《钢筋混凝土工程施工及验收规范》的规定(见表5-6)。

③选定混凝土用水量(wo)按骨料品种、规格及施工要求的塌落度值选择每立方米混凝土的用水量(wo)。用水量一般根据本单位所用资料,按经验选用。如无积累经验资料时,可参照表5-7选用。

表5-6 混凝土的最大水灰比和最小水泥用量表

注:(1)本表所列水灰比,系指水与水泥(包括外掺混合材料)用量之比;

(2)表中最小水泥用量包括外掺混合材料;当人工捣实时应增加25千克/米3;当掺入外加剂,且能有效地改善混凝土的和易性时,水泥用量可减少25千克/米3

(3)强度为C8(100号)的混凝土,其最大水灰比和最小水泥用量可不受本表限制;

(4)寒冷地区系指最冷月份的月平均温度在-5--15℃之间;严寒地区则指最冷月份平均气温低于-15℃。

表5-7 混凝土用水量选用表kg/m3

注:(1)本表用水量系采用中砂时的平均取值。如采用细砂时,每米3混凝土用水量可增加5-10千克,采用粗砂则可减少5-10千克。

(2)掺用各种外加剂或掺合料时,可相应增减用水量。

(3)混凝土的塌落度小于10毫米时,用水量按各地现有经验或经试验取用。

(4)本表不适用于水灰比小于0.4或大于0.8的混凝土。

④选定混凝土砂率 砂与砂石的比称为砂率(Sp)。

混凝土砂率一般可根据本单位所用的资料并根据经选用合理数值。如无使用经验,可按骨料品种、规格及水灰比选用,见表5-8。

表5-8 混凝土砂率(%)选用表

注:(1)表中数值系中砂的选用砂率。对细砂或粗砂,可相应地减少或增加砂率;

(2)本砂率表适用于塌落度为10-60毫米的混凝土。塌落度如大于60毫米或小于10毫米时,应相应地增加或减少砂率;

(3)只用一个单粒级粗骨料配制混凝土时,砂率值应适当增加;

(4)掺有各种外加剂或掺合料时,其合理砂率值应经试验或参照其他有关规定选用。

表5-9 混凝土混合物塌落度选用表

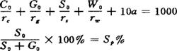
⑤体积法和重量法 在已知砂率的情况下,粗、细骨料的用量可用体积法或重量求得。

a.用体积计算时,可使用以下两个关系式:

b.用重量法计算时,则可使用以下两个关系式:

Co+Go+So+Wo=rh

式中 Co-每米3混凝土的水泥用量(kg/m3);

Go-每米3混凝土的粗骨料用量(kg/m3);

So-每米3混凝土的细骨料用量(kg/m3);

Wo-每米3混凝土的用水量(kg/m3);

rc0-水泥密度(2.9-3.1g/cm3);

rg-粗骨料视密度(g/cm3);-细骨料视密度(g/cm3);

rn-水的密度(1.0g/cm3);

a-混凝土含气量百分数(%),在不使用含气型外加剂时a可取为1;

rh-混凝土拌合物的假定容重(2400-2450kg/m3);

Sp-砂率(%)。

(3)普通混凝土配合比设计实例

试制作现浇钢筋混凝土基础,混凝土设计强度为C18(200号),采用普通硅酸盐水泥31.88兆帕(325号),卵石最大粒径为40毫米,所需塌落度30-50毫米,水泥富余系数1.13,混凝土的试配强度Rh=18+4=22兆帕(200+40=240千克力/厘米2)。

解:①计算水灰比 采用卵石

将式中(即水灰比的倒数)

②选定用水量 已知混凝土所需塌落度为30-50毫米,卵石最大粒径40毫米,查表5-7得知用水量为170千克。

③计算水泥用量

④选用砂率已知水灰比()为0.5,卵石最大粒径40毫米,查表5-8得知砂率为33%。

⑤计算骨料 中砂(So)=(rh-Wo-Co)×33%

=(2400-170-340)×33%

=623.70kg

卵石(Go)=rh-Wo-Co-So

=2400-170-340-623.70

=1266.30kg

⑥配制配合比 根据上述求得每立方米混凝土所需材料量,按单位重量比。

验算:

混凝土容重(rh)=Co+Go+So+Wo

rh=340+623.70+1266.30+170

=2400kg/m3

符合规定要求Rh=Ppo=200+40

=240kgf/cm2

随便看

 

离鸟网收录3541549条中英文词条,其功能与新华字典、现代汉语词典、牛津高阶英汉词典等各类中英文词典类似,基本涵盖了全部常用中英文字词句的读音、释义及用法,是语言学习和写作的有利工具。

 

Copyright © 2004-2024 vtrois.com All Rights Reserved
更新时间:2026/4/9 3:33:15