网站首页  词典首页


请输入您要查询的字词:

 

字词 干燥
类别 中英文字词句释义及详细解析
释义

干燥


(一)干燥理论

1.湿空气的性质

多数场合下,食品干燥使用空气,因此了解空气与水气的关系,很有必要,湿空气状态参数主要有:

(1)绝对湿度H 湿空气由水蒸气与干空气组成,每千克干空气带有的水的质量(kg)称绝对湿度H(或空气的湿含量):

式中 p——湿空气总压(101.325kPa)

pw——湿空气水气分压(kPa)

M——水蒸气相对分子质量,M=18

M——干空气相对分子质量,M=29

当pw=ps(饱和和水蒸气压)时

饱和绝对湿度

(2)相对湿度φ 湿空气水气分压pw与同一温度下饱和水蒸气压ps的比值定义为相对湿度φ。

(3)湿比热容cH 为每千克干空气及其所带的水气湿度上升1℃时所需的热量称为湿空气比热容,0~120℃平均定压比热容,干空气为1.01kJ/(kg·K),水蒸气为1.88kJ/(kg·K)。

CH=1.01+1.88H(kJ/kg·K)

(4)湿比体积vH(m3/kg)与湿密度ρH(kg/m3) 湿比体积为每千克干空气及其所带的水蒸气在总压p=101.3kPa,温度t时的体积vH

湿比体积的倒数为湿密度。

(5)湿空气的焓I 为每千克干空气及其所带水蒸气所具有的热量:

I=(1.01+1.88H)t+242H(kJ/kg干空气)

(6)湿球温度tw 是空气湿度和干球温度t的函数:

式中 α——空气与湿纱布表面间的对流给热系数,w/(m2·℃)

rw——水在tw时的比汽化焓,kJ/kg

kH——以湿度差(△H)为推动力的传质系数,kg/(m2·s)

Hw——湿空气在温度tw时的饱和湿度,kg/kg

H——湿空气的湿度,kg/kg

2.干燥过程的物料衡算

(1)食品中的含水率 食品含水率通常用质量分数(%)表示,有两种表示方法:

①湿基含水率w

w=(m1-mc)/m1

式中 m1——食品质量

mc——干燥过程中不变的绝干固体质量

②干基含水率w′

w′=(m1-mc)/mc

例如含50%(质量分数)的水分时,w=0.5,w′=1。

w1与w2的相互关系为:

(2)干燥的水分蒸发量W

对总物料的衡算:

G1=G2+W

对绝干物料的衡算:

Gc=G(1-w1)=G2(1-w2)

式中 Gc——湿物料绝干物质的质量流量,kg/h

G1——进入干燥器的湿物料质量流量,kg/h

G2——离开干燥器的物料质量流量,kg/h

w1——干燥前物料中的含水率(湿基),%

w2——干燥后物料中的含水率(湿基),%

干燥器中被蒸发的水分质量为:

W=Gc(w′1-w′2) (kg/h)

式中 w′1、w′2——湿物料和产品的干基含水量,kg水/kg绝干物料

(3)空气用量的计算 通过干燥器的干空气质量流量维持不变,故以其作为计算基准,对水分作衡算得:L=(H2-H1)=W

或L=W/(H2-H1)

式中 L——干空气的质量流量(kg/h)

H1、H2——进、出干燥器的空气湿度(kg/kg)

3.干燥曲线与干燥速度

固体食品的干燥速度通常用单位时间内的水分蒸发量(kg水/m2·h)或单位时间内含水量的减少量[kg水/(kg干燥固体·h)]来表示。干燥速度除与加热方法、空气温度、湿度和流速等有关外,还与食品自身的性质、形状和所处位置有关。固体食品在干燥过程中含水量的变化见图2-6-4,曲线斜率△w/△Q为干燥速度,干燥特性曲线见图2-6-5。

图2-6-4 固体食品干燥时含水量的变化

图2-6-5 固体食品的干燥特性曲线

由图可知,干燥开始时,固体食品内部的水分向表面扩散较充分,在表面产生蒸发,干燥速度保持一定(A→B),这一阶段称为恒速干燥期。随着食品含水量的减少,在其达到极限含水量wb时,水分扩散速率低于表面蒸发速率,结果食品表面变干,干燥速率减缓(B→C),为减速干燥第一阶段。进一步干燥时,水分已不向表面扩散,而在固体内部产生蒸发,干燥速率急剧减缓,无限时间后达到平衡含水量(wb)时,干燥速率为0(C→E),这一阶段称为减速干燥第二阶段。

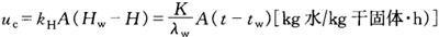
(1)恒速干燥速率 恒速干燥期间,食品表面温度与空气的湿球温度tw(℃)相同。由图2-6-5可见,恒速干燥期的干燥速率为定值。

设固体表面积为A[m2/(kg·干固体)],空气温度为t(℃)、湿度为H[kg·水蒸气/(kg·干空气)],湿球温度tw下的饱和湿度为Hw,恒速干燥速率uc为:

式中 kH——水蒸气的传质系数,kg水/m2·h或kg水/kg干空气

K——传热系数,w/m2·K

λw——tw(℃)下的汽化潜热,kJ/kg

由以上公式可知,提高干燥速率可以加大固体表面积,尽可能采用高温和低湿度的空气,而且保持良好的通风条件。

(2)减速干燥速率 减速干燥期间的干燥速率是由固体内部的水分移动速率决定的,与空气的湿度和通风状态关系不大,但受食品原料性质的影响。在这种场合,固体温度渐渐接近热风温度,因此为了提高干燥速率,需要将原料厚度变薄,提高温度。但提高温度,加快干燥速率,可能引起干燥不均匀,导致弯曲、皱裂,为此选择适当的加热干燥方法和干燥速度是很必要的。

(二)干燥方法

固体饮料的干燥有高温、短时间干燥和低温、长时间干燥两种方法,前者典型代表是热风喷雾干燥,热风温度可达170~180℃。后者是真空冻结干燥,干燥温度-10~-20℃。

1.喷雾干燥法

(1)热风喷雾干燥法 将含有果汁等一定浓度的液体向干燥机内喷雾,依靠加热气体的热量蒸发水分,成为粉末状。喷雾方法有利用喷头的压力喷雾和利用离心盘的高速离心喷雾。喷头的喷射压力为1~2MPa,离心喷雾盘的转速为10000~30000r/min。喷雾方向与加热气体的流向可以成水平、垂直、旋转方向,两者可以逆流,也可顺流。食品干燥用的热风温度130~160℃,希望采用经过热交换器的间接加热方式。为了使干燥机内部的液滴均匀,能迅速干燥并防止附着在器壁上,要通过热风方向、液滴流向、温度分布等的测定,获得最佳操作条件。在立式干燥机锥部的外壁要安装振动器,同时,从锥部切线方向送入冷风,防止大的液滴冲向器壁。

喷雾干燥一般包括以下四个过程:①液体原料的微粒化喷雾;②液滴与热风的接触(混合与流动);③液滴的干燥(通过吸热蒸发水分);④干燥制品与热风的分离(捕集)。喷雾干燥过程与干燥装置的结构和运转条件,以及物料的物理和化学性质有关。由喷嘴或旋转式喷头形成的均匀微粒化的喷雾液滴与热风瞬时接触,水分被迅速蒸发,汽化潜热被夺走。蒸发引起的冷却是喷雾干燥的基础物理原理。在干燥过程中,排风温度不会很高,而干燥制品的温度通常比干燥室排风温度低15~20℃,因此,干燥制品受热的影响小。

(2)常温喷雾干燥法 常温喷雾干燥法不用热风,使用预先干燥的空气或氮气等惰性气体在常温下蒸发果汁的液滴,使果汁成为粉末状。干燥气体与液滴的接触时间如果充分,果汁就不会黏附在器壁上。常温干燥塔高达72m,空气由预脱湿装置脱湿后,以相对湿度0.3%~3.0%、25~30℃、约1m/s的速度从塔底上升,与从塔顶喷雾的果汁液滴在垂直方向逆流接触,果汁失去的水分从塔顶排出,果汁颗粒落下约需1min的时间。常温喷雾干燥法可得到纯的果汁粉。果汁粉收集在塔底部的采粉器内,继续由送入的干燥空气进行二次干燥,使水分降至规定值。干燥能力与塔的横截面面积成正比。

2.真空干燥法

(1)真空干燥法的特点 在减压条件下,在低于100℃的温度下水也能蒸发。例如在2.33kPa真空条件下,水在20℃就沸腾。一般在真空度666.5~66.65Pa、品温0~50℃条件下,数小时就完成干燥操作。

真空干燥法的优点有:①真空干燥的加热温度和时间的范围处于喷雾干燥和冻结干燥之间,在低温下进行,干燥速度快,能保持原料风味,无粉臭产生;②物料热变性小,可抑制干燥食品的色、香、味的劣化,并使营养成分的分解、氧化等化学反应控制在最小范围内;③易产生发泡现象,可获得易溶性的多孔性的颗粒状产品;④由于多孔,易干燥成低水分含量的制品。

真空干燥法可应用于高浓度和高黏度等不适合用喷雾干燥和其他干燥方法干燥的固体饮料产品,还可用于热敏性饮料的干燥,特别适合高质量粉末果汁的制造。

(2)真空干燥机的类型 真空干燥机一般由干燥装置、真空装置和水蒸气凝缩装置三部分组成。目前使用的真空干燥机的种类有:

①盘架式真空干燥机:在真空罐内的盘架下面有循环水或冷水等冷媒,用以适当调节盘架的温度。果汁等以薄层状放入不锈钢盘或铝盘内,干燥盘排放在盘架上,一般为间歇式,各自分别运转。半连续隧道式盘架干燥机在移动过程中干燥。这种盘架式干燥机也可以用于真空膨化干燥和水分从冻结状态升华的冻结真空干燥。一般盘架间隔10~15cm时,就可使果汁很好膨化,冻结果汁厚度10~20mm。

②立式真空干燥机 立式圆筒型干燥机,液体物料通过喷嘴喷出,附着于筒的内壁,形成薄膜。内壁由夹套加热,成为传热面。真空使物料处于膨化状态,干燥后由旋转式刮刀刮落至料槽内,可以连续操作。

③连续带式真空干燥机 在卧式长圆筒形的真空罐内有依靠2个旋转滚筒移动的干燥物剥离性好的不锈钢传送带,或聚四氟乙烯涂层带。传送带下方有用于加热和冷却的传热板,分为4~6个加热区和一个冷却区。高黏度的原料在供料罐内由活塞经过泵、过滤器和真空罐内的喷嘴以一定厚度均匀送至传送带上,传送带以一定速度移动,在此过程中物料通过热传导被加热,真空罐内真空度0.67~6.7kPa(蒸发温度1~38℃),物料在膨松状态下干燥,并经过冷却区。干燥时间30~50min。干燥物冷却硬化后经过预破碎和粉碎,然后通过双阀门,间歇解除真空后放出干燥物。

热源可以用电、水蒸气和其他热介质,可根据要求控制真空度(666~6666Pa)、带速(5~30mm/s)和加热温度(蒸发温度1~38℃)。加热方式有两种,辐射传热和传导传热。辐射传热加热温度极高,以能在短时间内完成干燥。传导传热时,被干燥物易积累热量,接触带的一面易发生焦糊,因此加热温度不高。如果采取带下部的传导传热和带上部的辐射传热的方式,不仅可以弥补两者的缺陷,还可通过供料喷嘴形成均匀的薄膜,获得有多孔性组织的产品。

(3)真空干燥注意事项 像真空带式干燥机可进行高黏度、高酸度和高含糖量物料的干燥,可根据原料性质采用不同前处理和供料方式。为了提高真空干燥的效率,获得良好的质量的产品,需要注意以下事项:

①对于发泡性低的原料,可使用吹气法,使原料含有氮气或空气,泡沫组织要以传热面和质量为必要条件。

②高黏度物料可用喷嘴定量地均匀送至传送带上,使之均匀加热,保持质量和干燥效率。

③干燥用传送带应选用轻质、剥离性良好的材料。

④必须控制传送带面的回粉(微粉返回)。

⑤粗粉碎器和整粒器要保证粉粒直径合适均匀。

⑥产品迅速排出真空系统,同时保证连续自动排料。

3.真空冻结干燥法

压力降低时水的沸点降低,当压力降至0.6kPa、温度降至0℃以下,或在-50℃、4.5Pa条件下,物料中的水分即可由冰不经过液相而直接升华成水气。冻结干燥又称升华干燥。真空冻结干燥的操作条件一般为真空度133.3~1.33Pa,品温-30~-50℃。冻结干燥而成的果粉为鳞片状或多孔状,比较美观,轻轻一触就成粉末状,对水的溶解性特别好。

冻结干燥系统一般包括:

①预冻结:在干燥前预先将原料冻结固化。

②升华干燥:包括冻结成分的升华和结合水等不冻结成分的脱湿。

③干燥制品的保护:用包装、包埋和密封等方法保护产品不受湿气、氧和光的影响。

在冻结干燥过程中,水分从原料外表面汽化,因而不存在恒速干燥期。冻结干燥过程一般分为4个阶段:

①预冻结:第一阶段是溶液中析出冰晶,溶液被浓缩。

②预冻结:第二阶段为冷却至TC、TE(参见图2-1-27),使冰晶变大,与冷却的浓缩液形成共晶(TE)或固化。

③升华阶段(1次干燥期):干燥在升华面进行,伴随已干部分的脱湿,升华期随原料而不同,已干层的热和传质阻力增加使干燥走向减速期。

④最后干燥阶段(2次干燥期):升华完成后不冻水(结合水)的脱湿过程,干燥速度大致与含水量成正比,显着减速。

冻结干燥的优点有:

①冻结干燥适合热敏性原料的干燥,可保存维生素C,抑制蛋白质变性。

②抑制非酶褐变,保持色泽,抑制干燥臭。

③可保存挥发性芳香性物质。

④比表面积大,适合超微粉的干燥。

⑤凉干制品具有多孔结构,有良好的复水性。

对于果蔬汁来说,原料果汁不一定要冻结,在液态下也能干燥。果汁浓度、液层厚度和干燥量的关系见表2-6-1。由表可见,在同一条件下,相同时间内的果汁干燥量与液层厚度无关,与浓度成正比,因此,以高浓度果汁为原料干燥较为有利。在液体状态下,干燥只需冻结时的一半时间。如果果汁在真空下膨化为多孔状乃至薄的海绵状,由于蒸发面积的增大,就可以促进固形物内水分的移动和蒸发,加快干燥过程。在高真空下放出迅速蒸发时的汽化潜热,使果汁温度迅速下降,但随着果汁浓度的上升,冻结点也下降,果汁不会冻结。

表2-6-1 果汁浓度与干燥条件

4.泡沫干燥

(1)泡沫干燥的特点 将干燥的液态物料形成泡沫从多孔板下部或上部送入热风进行通气干燥。泡沫层的形成增大了干燥表面积,因此干燥可以快速进行,这是美国农业部西部研究所Morgan开发的。

泡沫层有两种形成方法,经过浓缩或添加起泡剂而具有起泡性的物料均布在与高压气体剧烈混合,形成泡沫层的多孔板上;或者将以上物料按2~3mm的厚度均布在多孔板上,将高压气体从下部通过多孔板的孔,形成泡沫层。前一方式通常以面条状由喷嘴挤在多孔板式,称为面条式,后一方式是在高压气体通过时起泡,形成喷火口形状,称为火山口式。

泡沫干燥机由泡沫层成形机和通风干燥机组成。面条式根据起泡剂添加量和搅拌时间调整泡沫状态。火山口式将液体食品均布在浅盘中,以40~45m/s流速喷射出的气体从下部送入浅盘中,使之起泡,根据送风量和起泡添加剂调整泡沫状态。在用火山口法起泡而在干燥过程中泡受破坏的场合以用面条式为好。

装有泡沫层的浅盘送入干燥机,干燥分为3个阶段。例如番茄汁干燥时,第一阶段以20m/s的速度从盘的下部吹入105℃的热风,排风温度60℃;第二阶段从干燥机中部送入77℃的热风;第三阶段送入54℃的热风,并各自从排风口排出。第一阶段除去约80%的水,剩余水分在第二阶段去除,第三阶段去除不均匀的剩余水分。

干燥产品从干燥机上部取出,送入冷却机冷却后,由盘中取出,在相对湿度15%以下的包装室进行包装。

(2)适用范围与效果 适合用泡沫干燥的固体物料有番茄汁、咖啡、草莓汁、苹果汁、橙汁等固体粉末。

橙汁用带式泡沫干燥机干燥时,热风温度分别用71℃、77℃和82℃。用71℃的热风干燥11.7~26.2min,干燥产品含水量4.55%~2.71%,能保持良好的香味。用77℃或82℃的热风,干燥时间13min以上,但香味变差,质量降低。

随便看

 

离鸟网收录3541549条中英文词条,其功能与新华字典、现代汉语词典、牛津高阶英汉词典等各类中英文词典类似,基本涵盖了全部常用中英文字词句的读音、释义及用法,是语言学习和写作的有利工具。

 

Copyright © 2004-2024 vtrois.com All Rights Reserved
更新时间:2026/5/25 9:43:15