英国经济学家凯恩斯(J.M.Keynes)的国民收入决定理论中的一个概念。指一定量收入中储蓄所占比例,即平均每单位收入中的储蓄额。计算公式为:

式中.APS表示平均储蓄倾向,S和Y分别表示储蓄和收入。APS的几何描述是储蓄曲线上对应点与原点连线的斜率。在二部门经济中,由于
Y=C+S
则有:
APS=1-APC
如果边际消费倾向MPC<APC,则有

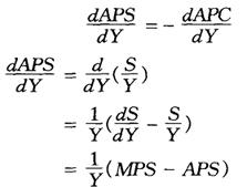
从而

即APS随收入增加而递增,由此可推出:MPS>APS。这是因为

同理,若MPC>APC,则有

若MPC=APC,则有

〖参〗储蓄倾向
边际储蓄倾向