平面上的直线有下列各种形式:
斜截式 y=kx+b,k为斜率,b为纵截距.
截距式
,a,b分别为横截距、纵截距.
点斜式 y-y0=k(x-x0),k为斜率,直线通过点(x0,y0).
两点式
,直线过两点(x1,y1),(x2,y2),x1≠x2,y1≠y2.
-般式 Ax+By+C=0,A,B,C是不同时为零的常数.


图1.4
极坐标式
(见图1.5).

图1.5
法线式 xcosβ+ysinβ-p=0(见图1.6).

图1.6
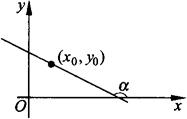
点到直线的距离


图1.7
两条直线之间的夹角 如图1.8所示,设直线

图1.8
L1:A1x+B1y+C1=0,或y=k1x+b1,
L2:A2x+B2y+C2=0,或y=k2x+b2,
则

其中θ是指由斜率为k1的直线L1以逆时针转第一次与L2重合的角.