网站首页  词典首页


请输入您要查询的字词:

 

字词 平面构件的计算展开
类别 中英文字词句释义及详细解析
释义

平面构件的计算展开


平板构件的各表面均是平面,过渡接头的表面多由不同的平面和曲面混合而成,二者一般均用三角线法展开,需要计算出各三角形表面的三边长度,即平面构件各条线段的长度,继而画出展开图。

(一)斜顶棱锥漏斗的计算展开

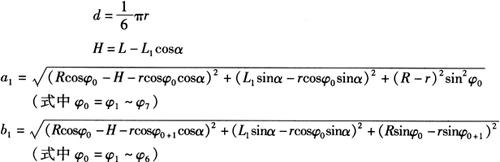
图6-64a为上口倾斜的四棱锥漏斗三视图。构件的已知尺寸是L1、L2、H1、H2、W1、W2和W3。图6-64b所示的a、b、c、d等线段的长度可由下列公式计算:

图6-64 斜顶棱锥漏斗的计算展开

a.视图 b.展开图

(1)线段a的计算:

a1=L1/2 a2=W1 a3=L1

(2)线段b的计算:

b1=L2/2 b2=W2 b3=L2

(3)线段c的计算:

(4)线段d的计算:

上述式中W0=

展开图如图6-64b所示。

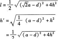
(二)圆顶方底棱锥接管的计算展开

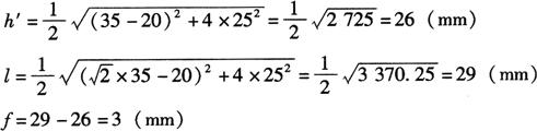
图6-65所示圆方过渡接管的立体图和视图,是工厂应用较多的变口型连接管,由4个全等斜圆锥面和4个等腰三角形平面组合而成,通常用三角线法作出其展开图(图6-65a)。因此,需计算出三角线各条线段的长度。计算公式如下:

图6-65 圆方棱锥接管的计算展开

a.视图作图展开 b.计算展开 c.立体图

式中 f=l-h′;

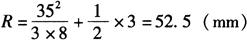
若图6-65中,已知尺寸是d==20mm,h=25mm,a=35mm,则代入上述公式得

r=R-L=52.5-29=23.5(mm)

展开图如图6-65b所示。

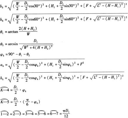
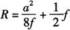
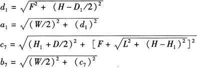
(三)斜圆顶圆底接管的计算展开

图6-66a为斜圆顶圆底异形接管的主视图,构件的已知尺寸是R、r、L、L1和α0,用三角线法展开时,需要计算出异形接头作若干等分后,各四边形的边长及其对角线长度。若异形接头作十二等分,各条线段长度的计算式如下:

将已知尺寸代入上述公式即可得出各线段长,从而画出该构件的展开图(图6-66b)。

图6-66 斜圆顶圆底异形接管的计算展开

a.视图 b.展开图

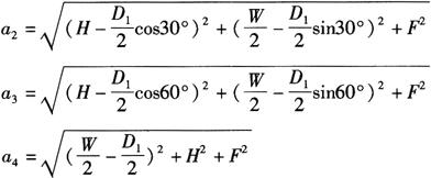
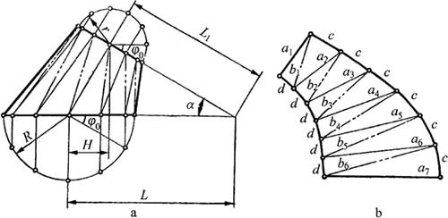
(四)斜顶棱锥圆形出口漏斗的计算展开

图6-67为斜顶棱锥圆形出口漏斗的主视图和左视图,构件由4个三角形平面和4个椭圆锥面相切构成,已知尺寸是L、W、H、H1、F和D1。求构件展开的关键是求出4个平面与圆形端口的切点位置(如k点),从而求得切线(即结合线)长。因此,须将主视图中圆形端口的投影线和a′b″线相交于点m′,由m′求得m″,过点m″作圆的切线切点为k″,再由k″求得k′,并将构件按斜顶棱锥面和椭圆锥面两部分分别计算各线段长和弧长。

图6-67 斜顶棱锥圆出口漏斗的计算展开

a.视图 b.展开图

1.平面棱长线段的计算展开(图6-67b)

ab=L

bc=ad=W/2

2.曲面素线及夹角尺寸的计算展开

由图6-67a圆形端口与m″间连成的圆底斜椭圆锥面,可得出图6-68所示的视图和展开图。它是由已知尺寸L、H和D所推导出的展开曲线上点P0的位置计算式,即

结合图6-68斜顶棱锥面的计算式,图6-67b中各素线线段长及其夹角θ。计算式如下:

图6-68 圆底斜椭圆锥面的计算展开

a.视图 b.展开图

随便看

 

离鸟网收录3541549条中英文词条,其功能与新华字典、现代汉语词典、牛津高阶英汉词典等各类中英文词典类似,基本涵盖了全部常用中英文字词句的读音、释义及用法,是语言学习和写作的有利工具。

 

Copyright © 2004-2024 vtrois.com All Rights Reserved
更新时间:2026/5/26 22:57:58