网站首页  词典首页


请输入您要查询的字词:

 

字词 度与弧度对照、弧度与度对照及分、秒与小数度对照
类别 中英文字词句释义及详细解析
释义

度与弧度对照、弧度与度对照及分、秒与小数度对照


1.度、分、秒与弧度对照

度、分、秒与弧度对照见表1-18。

表1-18 度、分、秒与弧度对照表

2.弧度与度对照

弧度与度对照见表1-19。

表1-19 弧度与度对照表

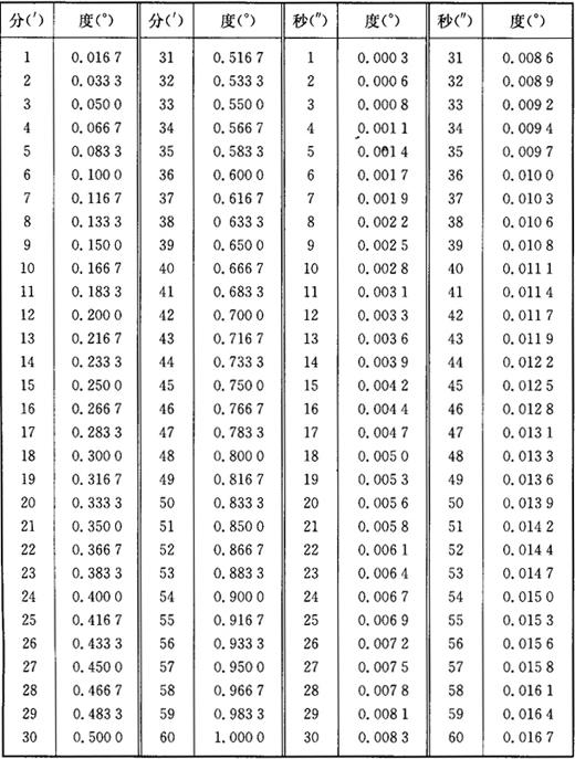
3.分、秒与小数度对照

分、秒与小数度对照见表1-20。

表1-20 分、秒与小数度对照表

随便看

 

离鸟网收录3541549条中英文词条,其功能与新华字典、现代汉语词典、牛津高阶英汉词典等各类中英文词典类似,基本涵盖了全部常用中英文字词句的读音、释义及用法,是语言学习和写作的有利工具。

 

Copyright © 2004-2024 vtrois.com All Rights Reserved
更新时间:2026/4/9 4:49:14