网站首页  词典首页


请输入您要查询的字词:

 

字词 建设项目经济评价的方法(1)
类别 中英文字词句释义及详细解析
释义

建设项目经济评价的方法(1)


(一)总则

(1)建设项目经济评价是项目可行性研究的有机组成部分和重要内容,是项目决策科学化的重要手段。经济评价的目的是根据国民经济和社会发展战略和行业、地区发展规划的要求,在做好产品(服务)市场需求预测及厂址选择、工艺技术选择等工程技术研究的基础上,计算项目的效益和费用,通过多方案比较,对拟建项目的财务可行性和经济合理性进行分析论证,做出全面的经济评价,为项目的科学决策提供依据。

(2)项目经济评价分为财务评价和国民经济评价。财务评价是在国家现行财税制度和价格体系的条件下,从项目财务角度分析、计算项目的财务盈利能力和清偿能力,据以判别项目的财务可行性。国民经济评价是从国家整体角度分析、计算项目对国民经济的净贡献,据以判别项目的经济合理性。

财务评价与国民经济评价的结论均可行的项目,应予通过。国民经济评价结论不可行的项目,一般应予否定。对某些国计民生急需的项目,如国民经济评价合理,而财务评价不可行,应重新考虑方案,必要时也可向主管部门提出采取相应经济优惠措施的建议,使项目具有财务上的生存能力。

(3)项目经济评价应遵循效益与费用计算口径对应一致的原则。财务评价只计算项目本身的直接效益和直接费用,国民经济评价还应计算项目的间接效益和间接费用,即项目的外部效果。为简化计算,有时可将外部效果“内部化”,即对那些效益和费用紧密相关,不统一计算就难以正确考察真实经济效益的“项目群”,视为一个项目(联合体)进行国民经济评价。

(4)项目经济评价以动态分析为主,静态分析为辅。项目计算期包括建设期和生产经营期。建设期根据项目的实际情况确定;生产经营期一般不宜超过20年。对于某些水利、交通项目,生产经营期的计算年限可适当延长。各类项目的具体计算期,由各部门或行业自行确定。

(5)国内项目财务评价使用财务价格,即以现行价格体系为基础的预测价格。对于价格变动因素,在进行项目财务盈利能力分析和清偿能力分析时,原则上宜做不同处理。进行财务盈利能力分析时,计算期内各年采用的预测价格,是在基年(或建设期初)物价总水平的基础上预测的,只考虑相对价格的变化,不考虑物价总水平的上涨因素;在进行清偿能力分析时,计算期内各年采用的预测价格,除考虑相对价格的变化外,还要考虑物价总水平的上涨因素,物价总水平上涨因素一般只考虑到建设期末。即两种分析分别采用两套预测价格、两套计算数据。

为简化计算,根据项目具体情况,两种分析也可采用一套预测价格,一套计算数据。建设期较短的项目,两种分析在建设期内各年均采用时价(既考虑建设期内相对价格变化,又考虑物价总水平上涨因素),生产经营期内各年均采用以建设期末(生产期初)物价总水平为基础、并考虑生产经营期内相对价格变化的价格;建设期较长,确实难以预测物价总水平上涨指数的项目,经主管部门同意,两种分析在计算期内各年亦可均采用以基年(或建设期初)物价总水平为基础、仅考虑相对价格变化、不考虑物价总水平上涨因素的价格。但须就可能的物价总水平变动因素对项目盈利能力和清偿能力的影响,认真地进行敏感性分析。

国民经济评价使用影子价格,在计算期内各年均不考虑物价总水平上涨因素。

(6)用于项目国民经济评价的重要参数,如社会折现率、影子汇率换算系数、影子工资换算系数及部分货物的影子价格等,由原国家计划委员会和建设部共同测定发布,并定期予以调整。

用于财务评价的重要参数,如基准收益率、基准投资回收期等,分别由行业测定,经有关部门综合协调后发布应用。

(7)为保证项目经济评价工作的质量,在可行性研究报告编制过程中,要充分重视和切实做好市场需求预测、工程技术方案选择、固定资产投资和流动资金估算、产品成本估算、产品销售(营业)收入估算、实施进度安排等基础工作,评价所选用的基础数据应力求准确可靠。

(8)本方法适用于新建项目和改扩建项目(包括工业和非工业项目)的项目建议书、可行性研究阶段的经济评价和评估。本方法的基本原则也适用于建设项目后评价。

(9)本方法应与一起发布的《建设项目经济评价参数》(简称《参数》)和《建设项目经济评价方法说明》(简称《说明》)配套使用。

(二)财务评价

(1)财务评价是根据国家现行财税制度和价格体系,分析、计算项目直接发生的财务效益和费用,编制财务报表,计算评价指标,考察项目的盈利能力、清偿能力以及外汇平衡等财务状况,据以判别项目的财务可行性。

(2)项目的财务效益主要表现为生产经营的产品销售(营业)收入;财务支出(费用)主要表现为建设项目总投资、经营成本和税金等各项支出。财务效益和费用的范围应遵循计算口径对应一致的原则。计算效益和费用时,产出物和投入物价格的选用必须有充分的依据,并列表说明。

①产品销售(营业)收入是指项目销售产品(提供劳务)取得的收入。

②建设项目总投资是固定资产投资、固定资产投资方向调节税、建设期借款利息和流动资金之和。固定资产投资是指项目按拟定建设规模(分期建设项目为分期建设规模)、产品方案、建设内容进行建设所需的费用,它包括建筑工程费、设备购置费、安装工程费、工程建设其他费用和预备费用。

流动资金是指为维持生产所占用的全部周转资金。它是流动资产与流动负债的差额。

项目总投资形成的资产分为固定资产、无形资产、递延资产和流动资产。

③经营成本是指项目总成本费用扣除固定资产折旧费、维简费、无形及递延资产摊销费和利息支出以后的全部费用,即:

经营成本=总成本费用-折旧费-维简费-摊销费-利息支出

总成本费用=生产成本+销售费用十管理费用+财务费用

或 总成本费用=外购原材料、燃料及动力+工资及福利费+修理费+折旧费+维简费+摊销费+利息支出十其他费用

④税金是指产品销售税金及附加、所得税等。产品销售税金及附加包括产品税、增值税、营业税、资源税、城市维护建设税及教育费附加。

(3)财务评价的盈利能力分析要计算财务内部收益率、投资回收期等主要评价指标。根据项目的特点及实际需要,也可计算财务净现值、投资利润率、投资利税率、资本金利润率等指标。清偿能力分析要计算资产负债率、借款偿还期、流动比率、速动比率等指标。此外,还可计算其他价值指标或实物指标(如单位生产能力投资),进行辅助分析。

(4)财务盈利能力分析主要是考察投资的盈利水平,用以下指标表示:

①财务内部收益率(FIRR)。财务内部收益率是指项目在整个计算期内各年净现金流量现值累计等于零时的折现率,它反映项目所占用资金的盈利率,是考察项目盈利能力的主要动态评价指标。其表达式为:

式中CI——现金流入量;

CO——现金流出量;

(CI-CO)t——第t年的净现金流量;

n——计算期。

财务内部收益率可根据财务现金流量表中净现金流量用试差法计算求得。在财务评价中,将求出的全部投资或自有资金(投资者的实际出资)的财务内部收益率(FIRR)与行业的基准收益率或设定的折现率(ic)比较,当FIRR≥ic时,即认为其盈利能力已满足最低要求,在财务上是可以考虑接受的。

②投资回收期(Pt)投资回收期是指以项目的净收益抵偿全部投资(固定资产投资、投资方向调节税和流动资金)所需要的时间。它是考察项目在财务上的投资回收能力的主要静态评价指标。投资回收期(以年表示)一般从建设开始年算起,如果从投产年算起时,应予注明。其表达式为:

投资回收期可根据财务现金流量表(全部投资)中累计净现金流量计算求得。详细计算公式为:

在财务评价中,求出的投资回收期(Pt)与行业的基准投资回收期(Pc)比较,当Pt≤Pc时,表明项目投资能在规定的时间内收回。

③财务净现值(FNPV)。财务净现值是指按行业的基准收益率或设定的折现率,将项目计算期内各年净现金流量折现到建设期初的现值之和。它是考察项目在计算期内盈利能力的动态评价指标。其表达式为:

财务净现值可根据财务现金流量表计算求得。财务净现值大于或等于零的项目是可以考虑接受的。

④投资利润率。投资利润率是指项目达到设计生产能力后的一个正常生产年份的年利润总额与项目总投资的比率,它是考察项目单位投资盈利能力的静态指标。对生产期内各年的利润总额变化幅度较大的项目,应计算生产期年平均利润总额与项目总投资的比率。其计算公式为:

年利润总额=年产品销售(营业)收入-年产品销售税金及附加-年总成本费用

年销售税金及附加=年产品税+年增值税+年营业税+年资源税+年城市维护建设税+年教育费附加

项目总投资=固定资产投资+投资方向调节税+建设期利息+流动资金

投资利润率可根据损益表中的有关数据计算求得。在财务评价中,将投资利润率与行业平均投资利润率对比,以判别项目单位投资盈利能力是否达到本行业的平均水平。

⑤投资利税率。投资利税率是指项目达到设计生产能力后的一个正常生产年份的年利税总额或项目生产期内的年平均利税总额与项目总投资的比率。其计算公式为:

年利税总额=年销售收入-年总成本费用

或:年利税总额=年利润总额+年销售税金及附加

投资利税率可根据损益表中的有关数据计算求得。在财务评价中,将投资利税率与行业平均投资利税率对比,以判别单位投资对国家积累的贡献水平是否达到本行业的平均水平。

⑥资本金利润率。资本金利润率是指项目达到设计生产能力后的一个正常生产年份的年利润总额或项目生产期内的年平均利润总额与资本金的比率,它反映投入项目的资本金的盈利能力。其计算公式为:

(5)项目清偿能力分析主要是考察计算期内各年的财务状况及偿债能力。用以下指标表示:

①资产负债率是反映项目各年所面临的财务风险程度及偿债能力的指标。

②固定资产投资国内借款偿还期是指在国家财政规定及项目具体财务条件下,以项目投产后可用于还款的资金偿还固定资产投资国内借款本金和建设期利息(不包括已用自有资金支付的建设期利息)所需要的时间。其表达式为:

式中Id——固定资产投资国内借款本金和建设期利息之和;

Pd——固定资产投资国内借款偿还期(从借款开始年计算。当从投产年算起时,应予注明);

Rt——第t年可用于还款的资金,包括:利润、折旧、摊销及其他还款资金。

借款偿还期可由资金来源与运用表及国内借款还本付息计算表直接推算,以年表示。详细计算公式为:

涉及外资的项目,其国外借款部分的还本付息,应按已经明确的或预计可能的借款偿还条件(包括偿还方式及偿还期限)计算。

当借款偿还期满足贷款机构的要求期限时,即认为项目是有清偿能力的。

③流动比率是反映项目各年偿付流动负债能力的指标。

④速动比率是反映项目快速偿付流动负债能力的指标。

(6)涉及外汇收支的项目,应进行外汇平衡分析,考察各年外汇余缺程度。对外汇不能平衡的项目,应提出具体的解决办法。

(7)对于国内合资或联营项目,根据需要也可计算各方投资的财务内部收益率,以考察投资各方利益。

(8)财务评价的基本报表有现金流量表、损益表、资金来源与运用表、资产负债表及外汇平衡表。

①现金流量表反映项目计算期内各年的现金收支(现金流入和现金流出),用以计算各项动态和静态评价指标,进行项目财务盈利能力分析。按投资计算基础的不同,现金流量表分为:

a.现金流量表(全部投资)(基本报表1.1)。该表不分投资资金来源,以全部投资作为计算基础,用以计算全部投资所得税前及所得税后财务内部收益率、财务净现值及投资回收期等评价指标,考察项目全部投资的盈利能力,为各个投资方案(不论其资金来源及利息多少)进行比较建立共同基础。

b.现金流量表(自有资金)(基本报表1.2)。该表从投资者角度出发,以投资者的出资额作为计算基础,把借款本金偿还和利息支付作为现金流出,用以计算自有资金财务内部收益率、财务净现值等评价指标,考察项目自有资金的盈利能力。

②损益表(基本报表2)。该表反映项目计算期内各年的利润总额、所得税及税后利润的分配情况,用以计算投资利润率、投资利税率和资本金利润率等指标。

③资金来源与运用表(基本报表3)。该表反映项目计算期内各年的资金盈余或短缺情况,用于选择资金筹措方案,制定适宜的借款及偿还计划,并为编制资产负债表提供依据。

④资产负债表(基本报表4)。该表综合反映项目计算期内各年末资产、负债和所有者权益的增减变化及对应关系,以考察项目资产、负债、所有者权益的结构是否合理,用以计算资产负债率、流动比率及速动比率,进行清偿能力分析。

⑤财务外汇平衡表(基本报表5)。该表适用于有外汇收支的项目,用以反映项目计算期内各年外汇余缺程度,进行外汇平衡分析。

除必须编制以上几种基本报表外,还应编制辅助报表,其格式参照辅助报表1~10。

(三)国民经济评价

(1)国民经济评价是按照资源合理配置的原则,从国家整体角度考察项目的效益和费用,用货物影子价格、影子工资、影子汇率和社会折现率等经济参数分析、计算项目对国民经济的净贡献,评价项目的经济合理性。

(2)项目的效益是指项目对国民经济所做的贡献,分为直接效益和间接效益。

直接效益是指由项目产出物产生并在项目范围内计算的经济效益。一般表现为增加该产出物数量满足国内需求的效益;替代其他相同或类似企业的产出物,使被替代企业减产以减少国家有用资源耗费(或损失)的效益;增加出口(或减少进口)所增收(或节支)的国家外汇等。

间接效益是指由项目引起而在直接效益中未得到反映的那部分效益。

项目的费用是指国民经济为项目所付出的代价,分为直接费用和间接费用。

直接费用是指项目使用投入物所产生并在项目范围内计算的经济费用。一般表现为其他部门为供应本项目投入物而扩大生产规模所耗用的资源费用;减少对其他项目(或最终消费)投入物的供应而放弃的效益;增加进口(或减少出口)所耗用(或减收)的外汇等。

间接费用是指由项目引起而在项目的直接费用中未得到反映的那部分费用。

(3)项目的间接效益和间接费用统称为外部效果,对显着的外部效果能定量的要作定量分析,计入项目的效益和费用;不能定量的,应做定性描述。要防止外部效果重复计算或漏算。

(4)项目范围内主要为本项目服务的商业、教育、文化、卫生、住宅等生活福利设施的投资应计为项目的费用。这些生活福利设施所产生的效益,可视为已经体现在项目的产出效益中,一般不必单独核算。

(5)国家对项目的补贴,项目向国家交纳的税金,由于并不发生实际资源的增加和耗用,而是国民经济内部的“转移支付”,因此不计为项目的效益和费用。

(6)为了正确计算项目对国民经济所做的净贡献,在进行国民经济评价时,原则上都应该使用影子价格。为了简化计算,在不影响评价结论的前提下,可只对其价值在效益或费用中占比重较大,或者国内价格明显不合理的产出物或投入物使用影子价格。

(7)使用影子价格时,项目投入物和产出物分为外贸货物、非外贸货物和特殊投入物三种类型。

①外贸货物是指其生产或使用将直接或间接影响国家进出口的货物。包括:项目产出物中直接出口(增加出口)、间接出口(替代其他企业产品使其增加出口)或替代进口(以产顶进减少进口)者;项目投入物中直接进口(增加进口),间接进口(挤占其他企业的投入物使其增加进口)或挤占原可用于出口的国内产品(减少出口)者。

②非外贸货物是指其生产或使用将不影响国家进出口的货物。除了所谓“天然”的非外贸货物如建筑、国内运输等基础设施和商业的产品和服务外,还有由于运输费用过高或受国内国外贸易政策和其他条件的限制不能进行外贸的货物。

③特殊投入物是指劳动力和土地。

(8)外贸货物的影子价格以实际可能发生的口岸价格为基础确定,具体定价方法如下:

①产出物(项目产出物的出厂价格)。

a.直接出口产品(外销产品)的影子价格(SP):离岸价格(f.o.b.)乘以影子汇率(SER),减去国内运输费用(T1)和贸易费用(Tr1)。其表达式为:

SP=f.o.b.×SER-(T1+Tr1)

b.间接出口产品(内销产品,替代其他货物使其他货物增加出口)的影子价格(SP):离岸价格(f.o.b.)乘以影子汇率,减去原供应厂到口岸的运输费用(T2)及贸易费用(Tr2),加上原供应厂到用户的运输费用(T3)及贸易费用(Tr3),再减去拟建项目到用户的运输费用(T4)及贸易费用(Tr4)。其表达式为:

SP=f.o.b.×SER-(T2+Tr2)+(T3+Tr3)-(T4+Tr4)

原供应厂和用户难以确定时,可按直接出口考虑。

c.替代进口产品(内销产品,以产顶进,减少进口)的影子价格(SP):原进口货物的到岸价格(c.i.f.)乘以影子汇率,加口岸到用户的运输费用(T5)及贸易费用(Tr5),再减去拟建项目到用户的运输费用及贸易费用。其表达式为:

SP=c.i.f.×SER+(T5+Tr5)-(T4+Tr4)

具体用户难以确定时,可按到岸价格计算。

②投入物(项目投入物的到厂价格)。

a.直接进口产品(国外产品)的影子价格(SP):到岸价格(c.i.f.)乘以影子汇率,加国内运输费用和贸易费用。其表达式为:

SP=c.i.f.×SER十(T1+Tr1)

b.间接进口产品(国内产品,如木材、钢材、铁矿、铬矿等,以前进口过,现在也大量进口)的影子价格(SP):到岸价格(c.i.f.)乘以影子汇率,加口岸到原用户的运输费用及贸易费用,减去供应厂到用户的运输费用及贸易费用,再加上供应厂到拟建项目的运输费用(T6)及贸易费用(Tr6)。其表达式为:

SP=c.i.f.×SER+(T5+Tr5)-(T3+Tr3)+(T6+Tr6)

原供应厂和用户难以确定时,可按直接进口考虑。

c.减少出口产品(国内产品,如石油、可出口的煤炭和有色金属等,以前出口过,现在也能出口)的影子价格(SP):离岸价格(f.o.b.)乘以影子汇率,减去供应厂到口岸的运输费用及贸易费用,再加上供应厂到拟建项目的运输费用(T6)及贸易费用(Tr6)。其表达式为:

SP=f.o.b.×SER-(T2+Tr2)+(T6+Tr6)

供应厂难以确定时,可按离岸价格计算。

(9)非外贸货物的影子价格按下述原则和方法确定。

①产出物。

增加供应数量满足国内消费的产出物。供求均衡的,按财务价格定价;供不应求的,参照国内市场价格并考虑价格变化的趋势定价,但不应高于相同质量产品的进口价格;无法判断供求情况的,取上述价格中较低者。

不增加国内供应数量,只是替代其他相同或类似企业的产出物,致使被替代企业停产或减产的。质量与被替代产品相同的,应按被替代企业相应的产品可变成本分解定价;提高产品质量的,原则上应按被替代产品的可变成本加提高产品质量而带来的国民经济效益定价,其中,提高产品质量带来的效益,可近似地按国际市场价格与被替代产品的价格之差确定。

产出物按上述原则定价后,再计算为出厂价格。

②投入物。

能通过原有企业挖潜(不增加投资)增加供应的,按可变成本分解定价。

在拟建项目计算期内需通过增加投资扩大生产规模来满足拟建项目需要的,按全部成本(包括可变成本和固定成本)分解定价。当难以获得分解成本所需要的资料时,可参照国内市场价格定价。

项目计算期内无法通过扩大生产规模增加供应的(减少原用户的供应量),参照国内市场价格、国家统一价格加补贴(如有时)中较高者定价。

投入物按上述原则定价后,再计算为到厂价格。

(10)劳动力的影子工资及土地的影子费用按下述原则确定。

劳动力的影子工资应能反映该劳动力用于拟建项目而使社会为此放弃的效益,以及社会为此而增加的资源消耗。

影子工资可通过财务评价时所用的工资与福利费之和乘以影子工资换算系数求得。影子工资换算系数由国家统一测定发布。

土地的影子费用应能反映该土地用于拟建项目而使社会为此放弃的效益,以及社会为此而增加的资源消耗(如居民搬迁费等)。

(11)影子汇率反映外汇的真实价值,用于国民经济评价中外汇与人民币之间的换算,同时也用作经济换汇或节汇成本的判据。

影子汇率可通过国家外汇牌价乘以影子汇率换算系数求得,影子汇率换算系数是一个重要的通用参数,由国家统一测定发布。

(12)社会折现率反映国家对资金时间价值的估量,是计算经济净现值等指标时,采用的折现率,同时用它作为经济内部收益率的判据。

社会折现率是一个重要的通用参数,由国家统一测定发布。

(13)国民经济评价包括国民经济盈利能力分析和外汇效果分析,以经济内部收益率为主要评价指标。根据项目特点和实际需要,也可计算经济净现值等指标。产品出口创汇及替代进口节汇的项目,要计算经济外汇净现值、经济换汇成本和经济节汇成本等指标。此外,还可对难以量化的外部效果进行定性分析。

(14)国民经济盈利能力分析计算经济内部收益率和经济净现值等指标。

①经济内部收益率(EIRR)。经济内部收益率是反映项目对国民经济净贡献的相对指标。它是项目在计算期内各年经济净效益流量的现值累计等于零时的折现率。其表达式为:

式中B——效益流入量;

C——费用流出量;

(B-C)t——第t年的净效益流量;

n——计算期。

经济内部收益率等于或大于社会折现率表明项目对国民经济的净贡献达到或超过了要求的水平,这时应认为项目是可以考虑接受的。

②经济净现值(ENPV)。经济净现值是反映项目对国民经济净贡献的绝对指标。它是指用社会折现率将项目计算期内各年的净效益流量折算到建设期初的现值之和。其表达式为:

式中is——社会折现率。

经济净现值等于或大于零表示国家为拟建项目付出代价后,可以得到符合社会折现率的社会盈余,或除得到符合社会折现率的社会盈余外,还可以得到以现值计算的超额社会盈余,这时就认为项目是可以考虑接受的。

(15)涉及产品出口创汇及替代进口节汇的项目,应进行外汇效果分析,计算经济外汇净现值、经济换汇成本、经济节汇成本指标。

①经济外汇净现值(ENPVF)。经济外汇净现值是反映项目实施后对国家外汇收支直接或间接影响的重要指标,用以衡量项目对国家外汇真正的净贡献(创汇)或净消耗(用汇)。经济外汇净现值可通过经济外汇流量表计算求得,其表达式为:

式中FI——外汇流入量;

FO——外汇流出量;

(FI-FO)t——第t年的净外汇流量;

n——计算期。

当有产品替代进口时,可按净外汇效果计算经济外汇净现值。

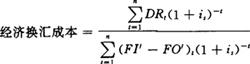
②经济换汇成本和经济节汇成本。当有产品直接出口时,应计算经济换汇成本。它是用货物影子价格、影子工资和社会折现率计算的为生产出口产品而投入的国内资源现值(以人民币表示)与生产出口产品的经济外汇净现值(通常以美元表示)之比,亦即换取1美元外汇所需要的人民币金额,是分析评价项目实施后在国际上的竞争力,进而判断其产品应否出口的指标。其表达式为:

式中DRt——项目在第t年为出口产品投入的国内资源(包括投资、原材料、工资、其 他投入和贸易费用),元;

FI′——生产出口产品的外汇流入,美元;

FO′——生产出口产品的外汇流出(包括应由出口产品分摊的固定资产投资及经营费用中的外汇流出),美元;

n——计算期。

当有产品替代进口时,应计算经济节汇成本,它等于项目计算期内生产替代进口产品所投入的国内资源的现值与生产替代进口产品的经济外汇净现值之比,即节约1美元外汇所需的人民币金额。其表达式为:

式中DR″t——项目在第t年为生产替代进口产品投入的国内资源(包括投资、原材料 、工资、其他投入和贸易费用),元;

FI″——生产替代进口产品所节约的外汇,美元;

FO″——生产替代进口产品的外汇流出(包括应由替代进口产品分摊的固定资产及经营费用中的外汇流出),美元。

经济换汇成本或经济节汇成本(元/美元)小于或等于影子汇率,表明该项目产品出口或替代进口是有利的。

(16)国民经济评价可以在财务评价基础上进行,也可以直接进行。

在财务评价基础上进行国民经济评价时,首先剔除在财务评价中已计算为效益或费用的转移支付,增加财务评价中未反映的间接效益和间接费用,然后用影子价格、影子工资、影子汇率和土地影子费用等代替财务价格及费用,对销售收入(或收益)、固定资产投资、流动资金、经营成本等进行调整,并以此为基础计算项目的国民经济评价指标。

直接做国民经济评价的项目,首先应识别和计算项目的直接效益、间接效益、直接费用和间接费用,然后以货物影子价格、影子工资、影子汇率和土地影子费用等计算项目固定资产投资、流动资金、经营费用、销售收入(或效益),并在此基础上计算项目的国民经济评价指标。

(17)国民经济评价的基本报表一般包括国民经济效益费用流量表(全部投资)(基本报表6.1)和国民经济效益费用流量表(国内投资)(基本报表6.2)。前者以全部投资作为计算的基础,用以计算全部投资经济内部收益率、经济净现值等评价指标;后者以国内投资作为计算的基础,将国外借款利息和本金的偿付作为费用流出,用以计算国内投资的经济内部收益率、经济净现值等指标,作为利用外资项目经济评价和方案比较取舍的依据。

涉及产品出口创汇或替代进口节汇的项目,还应编制经济外汇流量表(基本报表7)和国内资源流量表(辅助报表11)。

国民经济评价数据调整计算表(投资、销售收入和经营费用)格式,参见辅助报表12~14。

(四)不确定性分析

(1)项目评价所采用的数据,大部分来自预测和估算,有一定程度的不确定性。为了分析不确定性因素对经济评价指标的影响,需进行不确定性分析,以估计项目可能承担的风险,确定项目在经济上的可靠性。

不确定性分析包括敏感性分析、盈亏平衡分析和概率分析。盈亏平衡分析只用于财务评价,敏感性分析和概率分析可同时用于财务评价和国民经济评价。

(2)敏感性分析是通过分析、预测项目主要因素发生变化时对经济评价指标的影响,从中找出敏感因素,并确定其影响程度。在项目计算期内可能发生变化的因素有产品产量(生产负荷)、产品价格、产品成本或主要原材料与动力价格、固定资产投资、建设工期及汇率等。敏感性分析通常是分析这些因素单独变化或多因素变化对内部收益率的影响。必要时也可分析对静态投资回收期和借款偿还期的影响。项目对某种因素的敏感程度可以表示为该因素按一定比例变化时引起评价指标变动的幅度(列表表示),也可以表示为评价指标达到临界点(如财务内部收益率等于财务基准收益率或经济内部收益率等于社会折现率)时允许某个因素变化的最大幅度,即极限变化。为求此极限,可绘制敏感性分析图。

(3)盈亏平衡分析是通过盈亏平衡点(BEP)分析项目成本与收益的平衡关系的一种方法。盈亏平衡点通常根据正常生产年份的产品产量或销售量、可变成本、固定成本、产品价格和销售税金及附加等数据计算,用生产能力利用率或产量表示。其计算公式为:

盈亏平衡点越低,表明项目适应市场变化的能力越大,抗风险能力越强。

(4)概率分析是使用概率研究预测各种不确定性因素和风险因素的发生对项目评价指标影响的一种定量分析方法。一般是计算项目净现值的期望值及净现值大于或等于零时的累计概率,累计概率值越大,说明项目承担的风险越小。也可以通过模拟法测算项目评价指标(如内部收益率)的概率分布。根据项目特点和实际需要,有条件时应进行概率分析。

(五)方案比较方法

(1)方案比较是寻求合理的经济和技术方案的必要手段,也是项目经济评价的重要组成部分。在项目可行性研究过程中进行各项主要经济和技术决策(如工厂规模、产品方案、工艺流程和主要设备选择、原材料和燃料供应方式、厂址选择、工厂布置以及资金筹措等)时,均应根据实际情况提出各种可能的方案进行筛选,并对筛选出的几个方案进行经济计算,结合其他因素详细论证比较,做出抉择。

(2)经济计算结果是方案比选的主要依据,不同方案原则上应按国民经济评价结果进行比选,但对产出物基本相同,投入物构成基本一致的方案进行比选时,为了简化计算,在不会与国民经济评价结果发生矛盾的条件下,也可通过财务评价结果确定。

(3)方案比选可按各个方案所含的全部因素(相同因素和不同因素)计算各方案的全部经济效益和费用,进行全面的对比,也可仅就不同因素计算相对经济效益和费用,进行局部的对比。要特别注意各个方案间的可比性,遵循效益与费用计算口径对应一致的原则,必要时应考虑相关效益和相关费用。

方案比选应注意在某些情况下使用不同指标导致相反结论的可能性。根据方案的实际情况(计算期是否相同,资金有无约束条件及效益是否相同等)选用适当的比较方法和指标。

(4)按照不同方案所含的全部因素(包括效益和费用两个方面)进行方案比较,可视不同情况和具体条件分别选用差额投资内部收益率法、净现值法、年值法或净现值率法。

①差额投资内部收益率法。差额投资内部收益率是两个方案各年净现金流量差额的现值之和等于零时的折现率。其表达式为:

财务评价时,

式中(CI-CO)2——投资大的方案的年净现金流量;

(CI-CO)1——投资小的方案的年净现金流量;

△FIRR——差额投资财务内部收益率;

 n——计算期。

国民经济评价时,

式中(B-C)2——投资大的方案的年净效益流量;

(B-C)1——投资小的方案的年净效益流量;

△EIRR——差额投资经济内部收益率。

进行方案比较时,可按上述公式计算差额投资内部收益率,并与财务基准收益率(ic,财务评价时)或社会折现率(i,国民经济评价时)进行对比,当△FIRR≥ic或△EIRR≥is时,以投资大的方案为优;反之,投资小的方案为优。

多个方案进行比较时,要先按投资大小由小到大排序,再依次就相邻方案两两比较,从中选出最优方案。

②净现值法。将分别计算的各比较方案的净现值进行比较,以净现值较大的方案为优。

③年值法。将分别计算的各比较方案净效益的等额年值(AW)进行比较,以年值较大的方案为优。年值的表达式为:

或AW=NPV(A/P,i,n)

式中S——年销售收入;

I——年全部投资(包括固定资产投资和流动资金);

C′——年经营费用;

Sv——计算期末回收的固定资产余值;

W——计算期末回收的流动资金;

(P/F,i,t)——现值系数;

(A/P,i,n)——资金回收系数;

i——社会折现率或财务基准收益率(或设定的折现率);

NPV——净现值。

④净现值率法。净现值率(NPVR)是净现值与投资现值之比。其计算式为:

式中Ip——方案的全部投资的现值。

净现值率说明该方案单位投资所获得的超额净效益。用净现值率进行方案比较时,以净现值率较大的方案为优。

用上述4种方法进行方案比较时,须注意其使用条件。在不受资金约束的情况下,一般可采用差额投资内部收益率法、净现值法或年值法。当有明显的资金限制时,一般宜采用净现值率法。

(5)效益相同或效益基本相同但难以具体估算的方案进行比较时,为简化计算,可采用最小费用法,包括费用现值比较法和年费用比较法。

①费用现值比较法(简称现值比较法)。计算各比较方案的费用现值(PC)并进行对比,以费用现值较低的方案为优。其表达式为:

②年费用比较法。计算各比较方案的等额年费用(AC)并进行对比,以年费用较低的方案为优。其表达式为:

或 AC=PC(A/P,i,n)

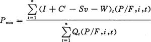
(6)对产品产量(服务)不同、产品价格(服务收费标准)又难以确定的比较方案,当其产品为单一产品或能折合为单一产品时,可采用最低价格(最低收费标准)法,分别计算各比较方案净现值等于零时的产品价格并进行比较,以产品价格较低的方案为优。最低价格(Pmin)可按下式求得:

式中Qt——第t年的产品(或服务)量。

(7)各比较方案的计算期相同时,可直接选用以上方法进行方案比较。计算期不同的方案进行比较时,宜采用年值法或年费用比较法。如果要采用净现值法、差额投资内部收益率法、净现值率法、费用现值比较法或最低价格法,则需先对各比较方案的计算期和计算公式作适当处理(以诸方案计算期的最小公倍数或诸方案中最短的计算期作为比较方案的计算期)后再进行比较。

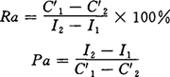
(8)当两个方案产量相同或基本相同时,可采用静态的简便的比较方法,包括静态差额投资收益率(Ra)法或静态差额投资回收期(Pa)法。其计算公式分别为:

式中C′1、C′2——两个比较方案的年总经营成本;

I1、I2——两个比较方案的全部投资。

静态差额投资收益率大于社会折现率或财务基准收益率,或静态差额投资回收期短于基准投资回收期时,投资大的方案较优。

(六)改扩建项目经济评价的特点

(1)改扩建项目是在原有企业的基础上进行建设的,它与新建项目相比具有以下特点:

①在不同程度上利用了原有资产和资源,以增量调动存量,以较小的新增投入取得较大的新增效益。

②原来已在生产经营,而且其状况还会发生变化,因此项目效益和费用的识别、计算较复杂。

③建设期内建设与生产同步进行。

④项目与企业既有区别又有联系,有些问题的分析范围需要从项目扩展至企业。

因此,改扩建项目的经济评价除应遵循一般新建项目经济评价的原则和基本方法外,还必须针对以上特点,在具体评价方法上做一些特殊的规定。

(2)改扩建项目的目标不同,实施方法各异。其效益可能表现在增加产量、扩大品种、提高质量、降低能耗、合理利用资源、提高技术装备水平、改善劳动条件或减轻劳动强度、保护环境和综合利用等一个方面或几个方面。其费用(代价)不仅包括新增投资、新增经营费用,还包括由项目建设可能带来的停产或减产损失,以及原有固定资产拆除费等。

所有效益和费用均应反映在项目的经济评价中。对于难以定量计算的效益和费用应做定性描述。

(3)改扩建项目的经济评价分为财务评价和国民经济评价。财务评价进行盈利能力分析、清偿能力分析;对涉及外汇收支的项目,还应进行外汇平衡分析。财务评价计算的指标有财务内部收益率、财务净现值、投资回收期、投资利润率、投资利税率、资本金利润率、资产负债率、固定资产投资借款偿还期、流动比率、速动比率。国民经济评价进行盈利能力分析;涉及产品出口创汇及替代进口节汇的项目,还应进行外汇效果分析。国民经济评价计算的指标有经济内部收益率、经济净现值、经济外汇净现值、经济换汇(节汇)成本。

(4)盈利能力分析和外汇效果分析应采用有无对比法,以增量指标作为判断项目财务可行性和经济合理性的主要依据。必要时,也可计算项目的总量效益指标。

进行有无对比、增量计算时,可选用以下两种方法之一:

①先计算改扩建后(即“有项目”)以及不改扩建(即“无项目”)两种情况下的效益和费用,然后通过这两套数据的差额(即增量数据,包括增量效益和增量费用),计算增量指标。

②有些改扩建项目,如新建生产车间或生产线,新增一种或数种产品,其效益和费用能与原有企业分开计算的,可视同新建项目,直接采用增量效益和增量费用,计算增量指标。

(5)清偿能力分析和外汇平衡分析是在现状的基础上对项目实施后的财务状况做出评价。

在计算固定资产投资借款偿还期时,偿还借款的资金来源不仅包括项目新增的可用于还款的资金,还可以包括原有企业所能提供的还款资金。

(6)改扩建项目财务评价的基本报表有:现金流量表(增量全部投资、增量自有资金)、损益表、资金来源与运用表、资产负债表、财务外汇平衡表(改扩建基本报表1.1.1,1.1.2,1.2.1,1.2.2,2,3,4,5),国民经济评价的基本报表有:国民经济效益费用流量表(增量全部投资、增量国内投资)和经济外汇流量表(增量投资)(改扩建基本报表6.1.1,6.1.2,6.2.1,6.2.2,7)。

(7)进行改扩建项目经济评价时,原有固定资产的价值,一般采用账面值(即原值和净值);涉及产权转移时,采用重估值,重估方法参照国有资产管理局有关规定。这一原则同样适用于计算原有流动资产的价值。

(七)基本报表及辅助报表

基本报表1.1 现金流量表(全部投资)

基本报表1.2 现金流量表(自有资金)

基本报表2 损益表

基本报表3 资金来源与运用表

基本报表4 资产负债表

基本报表5 财务外汇平衡表

基本报表6.1 国民经济效益费用流量表(全部投资)

基本报表6.2 国民经济效益费用流量表(国内投资)

基本报表7 经济外汇流量表

辅助报表1 固定资产投资估算表

辅助报表2 流动资金估算表

辅助报表3 投资计划与资金筹措表

辅助报表4 主要产出物和投入物使用价格依据表

辅助报表5 单位产品生产成本估算表

辅助报表6 固定资产折旧费估算表

辅助报表7 无形及递延资产摊销估算表

辅助报表8 总成本费用估算表

辅助报表9 产品销售(营业)收入和销售税金及附加估算表

辅助报表10 借款还本付息计算表

辅助报表11 出口(替代进口)产品国内资源流量表

辅助报表12 国民经济评价投资调整计算表

辅助报表13 国民经济评价销售收入调整计算表

辅助报表14 国民经济评价经营费用调整计算表

(格式样表省略)

(八)改扩建基本报表及辅助报表

改扩建基本报表1.1.1 现金流量表(全部增量投资)

改扩建基本报表1.1.2 现金流量表(全部增量投资)

改扩建基本报表1.2.1 现金流量表(增量自有资金)

改扩建基本报表1.2.2 现金流量表(增量自有资金)

改扩建基本报表2 损益表

改扩建基本报表3 资金来源与运用表

改扩建基本报表4 资产负债表

改扩建基本报表5 财务外汇平衡表

改扩建基本报表6.1.1 国民经济效益费用流量表(全部增量投资)

改扩建基本报表6.1.2 国民经济效益费用流量表(全部增量投资)

改扩建基本报表6.2.1 国民经济效益费用流量表(国内增量投资)

改扩建基本报表6.2.2 国民经济效益费用流量表(国内增量投资)

改扩建基本报表7 经济外汇流量表

改扩建辅助报表1 借款还本付息计算表

(格式样表省略)

随便看

 

离鸟网收录3541549条中英文词条,其功能与新华字典、现代汉语词典、牛津高阶英汉词典等各类中英文词典类似,基本涵盖了全部常用中英文字词句的读音、释义及用法,是语言学习和写作的有利工具。

 

Copyright © 2004-2024 vtrois.com All Rights Reserved
更新时间:2026/4/9 12:12:50