网站首页  词典首页


请输入您要查询的字词:

 

字词 开氏法测定粗蛋白质
类别 中英文字词句释义及详细解析
释义

开氏法测定粗蛋白质


(一)适用范围 本法适谷物及油料作物种子中粗蛋白质测定,是农牧渔业部部颁标准法,即用开氏法测总氮量,再乘以蛋白质换算因数,而得粗蛋白质含量。

(二)试剂配制

1.0.02N硫酸标准液(此浓度适用于谷类作物种子)或0.05N硫酸标准液(此浓度适用于大豆种子)。

2.其余试剂同第二十二章第一节中硫酸—混合盐消煮法。

3.蔗糖(分析纯)。

(三)测定步骤 将选有代表性种子,按四分法取样后,置60℃烘箱中干燥,用粉碎机磨碎,通过0.5mm孔径,置磨口广口瓶中保存。

称样0.5000-0.1000g,放入50ml开氏瓶中,加入2-4g混合盐催化剂和5-8ml浓硫酸,混匀放置过液。将开氏瓶倾斜置于电炉上,开始用小火加热,待泡沫停止后加大火力,保持开氏瓶中液体连续沸腾,沸腾的酸应在开氏瓶颈中部冷凝回流,待消煮液无微小碳粒并呈透明的浅绿色时,继续消煮30min(含蛋白质高的样品,如豆类,需煮60min)。

待消煮液稍冷却后,无损地移入100ml容量瓶中,多次用水洗涤,冷却后定容。放置澄清。

用移液管吸取待测液5.00或10.00ml(含NH4-N约1mg),放入半微量定氮蒸馏装置中,加入约5ml40%氢氧化钠进行蒸馏。具体测定步骤可见第九章土壤全氮测定。

按同样条件,称0.1g蔗糖代替样品做空白试验。

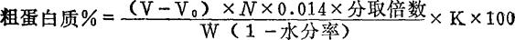
(四)结果计算

式中:V——滴定样品时所用标准酸的毫升数;

V0——空白测定所用酸的毫升数;

N——标准酸的当量浓度;

0.014——氮的毫当量(g);

取用量倍数——本操作步骤中为100/5或100/10,即为20或10;

W——称样重(g);

K——蛋白质的换算因数。一般情况下为6.25,这是由蛋白质平均含氮量为16%计算而得,即100/16=6.25。但由于各种作物蛋白质中含氮量不同,其换算因素也各不相同。各类作物蛋白质换算因数,可见表26-3。

表26-3 各类作物的蛋白质换算因素

随便看

 

离鸟网收录3541549条中英文词条,其功能与新华字典、现代汉语词典、牛津高阶英汉词典等各类中英文词典类似,基本涵盖了全部常用中英文字词句的读音、释义及用法,是语言学习和写作的有利工具。

 

Copyright © 2004-2024 vtrois.com All Rights Reserved
更新时间:2026/4/8 6:43:54