网站首页  词典首页


请输入您要查询的字词:

 

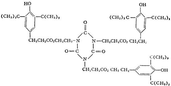
字词 异氰脲酸三〔β-(3,5-二叔丁基-4-羟基苯基)丙酰氧基乙酯〕,抗氧剂3125
类别 中英文字词句释义及详细解析
释义

异氰脲酸三〔β-(3,5-二叔丁基-4-羟基苯基)丙酰氧基乙酯〕,抗氧剂3125


【结构式】:

【释文】:

性质 白色结晶。分子量1045.36。相对密度0.92。熔点126~131℃。溶解度(克/100克溶剂,25℃):甲醇0.3、乙醇0.7、苯49、丙酮13、氯仿35、不溶于水。

用途 本品为非污染性抗氧剂,分子量大,挥发性和迁移性小,耐久性高,适用于聚丙烯、聚乙烯、聚苯乙烯、ABS树脂、聚酯、尼龙、聚氯乙烯、聚氨酯和纤维素塑料等,在聚烯烃中抗氧效能尤佳。本品毒性极低,可用于接触食品的制品,用于聚烯烃包装材料时,在一般条件下可接触各种类型的食品。

毒性 小白鼠经口LD50>14230毫克/公斤体重。

国外商品名

随便看

 

离鸟网收录3541549条中英文词条,其功能与新华字典、现代汉语词典、牛津高阶英汉词典等各类中英文词典类似,基本涵盖了全部常用中英文字词句的读音、释义及用法,是语言学习和写作的有利工具。

 

Copyright © 2004-2024 vtrois.com All Rights Reserved
更新时间:2026/4/9 17:51:45