网站首页  词典首页


请输入您要查询的字词:

 

字词 异环柠檬醛
类别 中英文字词句释义及详细解析
释义

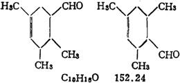
异环柠檬醛


由2-甲基-2,4-戊二烯与丁烯醛通过D1elsA1der型缩合反应合成。反应产物是两种异构体混合物。

性质 无色液体,具有浓郁扩散的绿叶气息;不溶于水而溶于乙醇和油类。相对密度0.93,含醛量≥90%。

用途 用于调配日化香精。

国内生产厂 福建浦城香料厂。

随便看

 

离鸟网收录3541549条中英文词条,其功能与新华字典、现代汉语词典、牛津高阶英汉词典等各类中英文词典类似,基本涵盖了全部常用中英文字词句的读音、释义及用法,是语言学习和写作的有利工具。

 

Copyright © 2004-2024 vtrois.com All Rights Reserved
更新时间:2026/4/7 23:30:21