网站首页  词典首页


请输入您要查询的字词:

 

字词 弛度放样
类别 中英文字词句释义及详细解析
释义

弛度放样


在挂线时,需要通过测量放样弛度f。f的数值每条线路各不相同,可以从专门的设计弛度表中查得。弛度放样一般在紧线段(耐张段)内中间一档进行,放样精度要求达到1/100。

1.平行四边形法

如图15-9所示,分别在观测档的两根杆塔上,由导线悬挂点向下量取一段长度f,定出观测点,在此点上绑一块觇板。紧线时通过两块觇板进行观测,当导线恰好与视线相切,即得到相应的弛度f。

图15-9 平行四边形法放样弛度

2.中点天顶距法

如图15-10所示,在档距中垂线上适当位置架设经纬仪,使竖盘安置在预定的读数上,通过望远镜进行观测。设测站M的地面高程为Hm,仪器高为i,而测站至导线中点C的平距为D,根据垂弧和高差公式可算得天顶距为

图15-10 中点天顶距观测法放样弛度

因此只需定出档距的中垂线,选定测站,测出测站点至导线中点的平距D;假定一个仪器的高程为Hm+i,以此为基准再测定两悬挂点的高程HA和HB。根据公式计算出HC和应有的天顶距Z,在竖盘上配置相应的读数;固定望远镜,照准中垂线方向进行观测,当导线落到中丝上时,即得到应放样的弛度f。

3.平视法

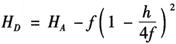
在导线正跨河流和山谷的观测档中,采用上述方法放样弛度不合适,此时可采用平视法。平视法的关键在于确定水准仪架设时应有的视线高HD。由图15-11可知

HD=HA-fA

式中 HA——A悬挂点的高程;

fA——导线最低点D对A点的弛度。

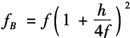
对B悬挂点而言,它的弛度为fB;由于B点比A点高,故fB=fA+h(h为悬挂点间的高差)。于是又有

HD=HB-fB

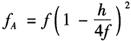
为了求得水准仪应架设的高度HD,必须知道fA或fB。但是设计一般只给出导线中点的弛度f,因此必须根据弛度f和两悬挂点间的高差h算出导线最低点的弛度fA或fB。由式可得

两边开方展开后,考虑到fA=fB-h,以此代替等式右端第末项fA,移项整理得到

由此解得

同理可得

将上述fA,fB代入式HD=HA-fA和式HD=HB-fB

图15-11 平视法弛度放样

求得HD后,即可按下述方法进行操作:

1)根据自己的身高确定一个恰当的仪高i,计算仪器安置点的应有高程:HK=HD-i。

2)从A端或B端地面起,沿AB导线方向进行水准测量,用前尺找出高程等于HK的地面点K。

3)在K点安置水准仪,使整平后的仪高等于i,然后朝着导线方向观测,当导线落到与中丝相切时,便得到应放样的弛度f。

另外,对于弛度的放样工作可采用全站仪的悬高测量功能实现。

随便看

 

离鸟网收录3541549条中英文词条,其功能与新华字典、现代汉语词典、牛津高阶英汉词典等各类中英文词典类似,基本涵盖了全部常用中英文字词句的读音、释义及用法,是语言学习和写作的有利工具。

 

Copyright © 2004-2024 vtrois.com All Rights Reserved
更新时间:2026/4/9 8:33:13