网站首页  词典首页


请输入您要查询的字词:

 

字词 弧弹性
类别 中英文字词句释义及详细解析
释义

弧弹性


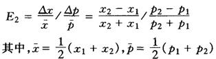
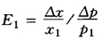
当一经济变量变动某个数值时,引起的另一经济变量的相对变动与该经济变量的相对变动的比率。以需求曲线x=f(p)为例,弧弹性E测量由需求曲线上一点A1(x1,p1)沿该需求曲线移动到另一点A2(x2,p2)的需求量x对价格p的反应程度。令

△x=x2-x1,△p=p2-p1

弧弹性可根据下列三种定义计算:

(1)初始点弧弹性:

(2)中点弧弹性:

(3)对数弧弹性:

〖参〗点弹性

常弹性

随便看

 

离鸟网收录3541549条中英文词条,其功能与新华字典、现代汉语词典、牛津高阶英汉词典等各类中英文词典类似,基本涵盖了全部常用中英文字词句的读音、释义及用法,是语言学习和写作的有利工具。

 

Copyright © 2004-2024 vtrois.com All Rights Reserved
更新时间:2026/4/6 21:10:51