网站首页  词典首页


请输入您要查询的字词:

 

字词 弯曲板料中性层展开
类别 中英文字词句释义及详细解析
释义

弯曲板料中性层展开


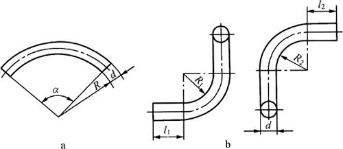
(一)圆弧弯板的中性层展开

1.弯板中性层确定

如图6-69所示,当厚度为t的平板弯曲成曲面时,板的外层材料层受拉而伸长,内层材料受压而缩短,只有板厚中间存在一个长度保持不变的纤维层,即中性层。所以,对于曲面板构件,应以板的中性层尺寸为准绘制展开图。

图6-69 圆弧和折角弯板的中性层展开

a.中性层确定 b.展开长度计算 c.折角弯板展开

板料弯曲中性层的位置(图6-69a),与其相对弯曲半径r/t有关,当r/t>5时,中性层位于板厚的1/2处,即板的中心层就是板的中性层,中性层半径R=r+0.5t;当r/t≤5时,中性层位置将向弯曲中心移动,则中性层半径R由下式计算:

R=r+kt

式中 R——中性层半径(mm);

r——弯板内弧半径(mm);

t——板料厚度(mm);

k——中性层位置系数,如表6-4所示。

表6-4 中性层位置系数k、k1

注:k适于有压料情况的V形或U形压弯;k1适于无压料情况的V形压弯。

2.弯板展开长度计算

弯板展开长度应根据弯曲任意角度弧长的计算公式进行计算,即

式中 L——弯曲弧长(mm);

α——弯曲角度(°);

R——中性层弯曲半径(mm)。

如图6-69b所示,若已知尺寸L1=200mm,L2=300mm,r=60mm,α=150°,t=15mm,且相对弯曲半径r/t=60/15=4<5,从表6-2得k=0.45,故其中性层弯曲半径为

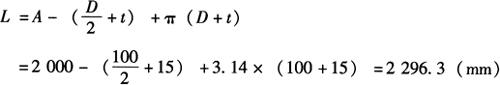
(二)折角弯板的里皮展开计算

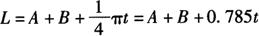
对于没有圆角或圆角很小,即r<0.3t时的折角弯板(图6-69c),可利用等体积法,确定其展开长度,即毛坯的体积为

V=LCt

弯曲后的工件体积为

若不计加工损耗,则V=V1

由于实际加工时,板料在折角处及其附近均有变薄现象,因而材料会多余出一部分,故上式须作如下修正:

L=A+B+0.5t

若板料厚度较小,而工件尺寸精度要求又不高时,折角弯板的展开长度可按其里皮尺寸计算。

(三)扁钢构件的中性层展开

1.扁钢圈的中性层展开

图6-70a所示钢圈弯曲时中性层的确定,可按钢板弯曲时中性层的确定方法进行确定。先计算相对弯曲半径r/t,判断其中性层位置,再根据R计算钢圈的展开长度L。在计算r/t时,t的取值应按弯曲方向取,即t=b,若已知D1=700mm,D2=600mm,b=50mm,t=20mm,则

r/t=300/50=6>5(中性层不发生偏移)

L=π(D1-b)

=3.14×(700-50)=2041(mm)

图6-70 扁钢圈的中性层展开

a.视图 b.展开长度

考虑到扁钢有一定的宽度,为使弯曲后接缝能对齐,可按展开长度留出30~50mm的加工余量,弯好后再切除,或下料时在两端预先切成斜口,斜口作法如下:

(1)画互相垂直的中心线交点O,以O点为圆心,D1、D2为直径,分别画扁钢的内圆和外圆,顶点为B(图6-70b)。

(2)取OA=b,连接AB交内圆于C。

(3)BC即为所求扁钢两端切成的斜面。

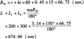
2.扁钢环形杆的中性层展开

图6-71a为扁钢一端煨成的环形杆。已知其A=2000mm,D=100mm,t=15mm,则其中性层R及展开长度L的计算公式如下:

图6-71 扁钢环件的中性层展开

a.环形杆 b.腰圆环

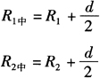
3.腰圆环的中性层展开

图6-71b为腰圆环构件。已知其A=200mm,r=50mm,t=10mm,则其展开长度的计算公式为

(四)型钢弯曲件中性层展开

1.圆钢弯曲件中性层展开

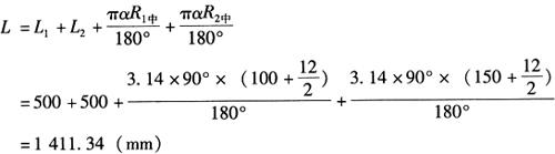
圆钢弯曲的中性层,一般总于中心线重合(图6-72a),所以圆钢的展开长可按中心线计算。图6-72b所示的圆钢双弯90°,已知图中L1=L2=500mm,R1=100mm,R2=150mm,d=12mm,则中性层弯曲半径为

图6-72 圆钢弯曲件中性层展开

a.弯任意角 b.双弯90°

2.角钢弯曲件中性层展开

角钢的断面是不对称的,所以中性层的位置不在断面的中心,而位于偏向角钢根部的重心处,即中性层与重心重合。各种角钢的重心可从有关资料或手册中查得。

角钢弯曲展开长度计算可按重心距查得数据求出。

(1)等边角钢内弯件的中性层:图6-73a为等边角钢内弯工件,已知R=500mm,α=150°,角钢规格为50mm×50mm×4mm,查得重心距Z0=14.6mm,则中性层弯曲半径为

图6-73 等边角钢弯曲件中性层展开

a.等边内弯 b.等边外弯

(2)等边角钢外弯件的中性层:图6-73b为等边角钢外弯150°工件,两端直边长度L1=L2=150mm,内圆弧半径R=100mm,等边角钢为45mm×45mm×5mm,查得重心距z0=13mm,则中性层弯曲半径为

(3)不等边角钢长边内弯件的中性层:图6-74a为长边内弯不等边角钢件。两直边L1=40mm,L2=200mm,外圆弧半径R=240mm,弯曲角α=120°,不等边角钢为90mm×56mm×7mm,查得重心距γ0=30mm,则中性层弯曲半径为

图6-74 不等边角钢弯曲件中性层展开

a.长边内弯 b.长边外弯 c.短边内弯 d.短边外弯

(4)不等边角钢长边外弯件的中性层:图6-74b为长边外弯60°不等边角钢件。已知外圆弧半径R=250mm,不等边角钢为70mm×45mm×5mm,查得y0=22.8mm,则中性层弯曲半径为

(5)不等边角钢短边内弯:图6-74c为短边内弯不等边角钢工件。已知内圆弧半径R=300mm,不等边角钢为70mm×45mm×5mm,查得重心距x0=10.6mm,则中性层弯曲半径为

(6)不等边角钢短边外弯:图6-74d为短边外弯不等边角钢工件。两直角边L1=L2=400mm,内圆弧半径R=200mm,弯曲角α=100°,不等边角钢为63mm×40mm×6mm,查得x0=9.9mm,则中性层弯曲半径为

3.槽钢弯曲件中性层展开

槽钢弯曲分平弯和立弯(或称旁弯)两种形式。

(1)平弯件中性层:槽钢平弯时中性层与槽钢断面中心层重合,所以展开长应以中心层为准计算。图6-75a所示的槽钢平弯90°,两直边长度L1=200mm,L2=300mm,内圆弧半径R=400mm,槽钢规格为14a,查得h=140mm,则中性层弯曲半径为

图6-75 槽钢弯曲件中性层展开

a.平弯90° b.外弯任意角

(2)立弯件中性层:槽钢立弯的展开料计算时,中性层是以重心距为准进行计算。图6-75b所示槽钢外弯工件,其两直边长度分别为L1=100mm,L2=200mm,内圆弧半径R=500mm,槽钢为14a,查得z0=16.7mm,则中性层弯曲半径为

随便看

 

离鸟网收录3541549条中英文词条,其功能与新华字典、现代汉语词典、牛津高阶英汉词典等各类中英文词典类似,基本涵盖了全部常用中英文字词句的读音、释义及用法,是语言学习和写作的有利工具。

 

Copyright © 2004-2024 vtrois.com All Rights Reserved
更新时间:2026/4/8 19:17:48