网站首页  词典首页


请输入您要查询的字词:

 

字词 强度计算基本公式
类别 中英文字词句释义及详细解析
释义

强度计算基本公式


3.12.1 风压

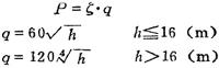
风压计算公式如下:

式中 P——风压(kg/m2=mmH2O);

q——速度压(kg/m2=mmH2O);

h——起自地面的高度(m);

ξ——风力系数(-)。

各种建筑物受到的风压如图3-139~图3-142所示。

图3-139 建筑物受到的风压

图3-140 板状建筑物风力系数(ξ)

图3-141 封闭式建筑物风力系数(ξ)

图3-142 烟囱风力系数(ξ)

3.12.2 积雪重量

积雪重量为:当积雪1厘米厚时,1平方米承受2公斤,如图3-143所示。

图3-143 积雪重量示意

3.12.3 地震力度

地震力度见表3-32和图3-144。

表3-32 地震力度表

图3-144 示意图

地震力度计算公式如下:

FG=Ci×WG

式中 FG——地震力度;

Ci——地震力度剪切系数;

WG——计算地震力度部分支撑的重量

(固定重+荷载重+积雪重)

Ci=Z·Ri·At·Co

式中 Z——根据地点确定的常数,1.0~0.7(多为1.0);

Ri——建筑物振动特性;

Ai——表示地震层剪切系数的建筑物高度方向分布数值;

Co——标准剪切系数0.2以上,地面不坚固的场所0.3以上。

求Rt时,用下式:

T=h(0.02+0.01×a)

式中 T——建筑物固有的周期(s);

h——建筑物高度(m);

Tc——根据建筑物地基的地质类型确定的数值(s),0.4为岩石、硬质砂土;0.8为腐质土、泥土。

求Ai时,用下式:

3.12.4 钢材的允许应力

钢材的允许应力见表3-33。

表3-33 钢材允许应力表

随便看

 

离鸟网收录3541549条中英文词条,其功能与新华字典、现代汉语词典、牛津高阶英汉词典等各类中英文词典类似,基本涵盖了全部常用中英文字词句的读音、释义及用法,是语言学习和写作的有利工具。

 

Copyright © 2004-2024 vtrois.com All Rights Reserved
更新时间:2026/4/9 8:59:02