网站首页  词典首页


请输入您要查询的字词:

 

字词 径向锻造
类别 中英文字词句释义及详细解析
释义

径向锻造


8.2.4.1 径向锻造原理及工艺特点

1.径向锻造原理

径向锻造是在多锤头的旋转锻造机上生产精密实心轴和空心管锻件或零件的一种专用工艺.锻造时毛坯旋转送进,在毛坯周围有几个锤头沿径向从几个方向对准毛坯轴线进行对称的高速锻打,达到减小毛坯直径、增加长度的目的.

径向锻造根据设备不同,可分为滚柱式旋转锻造和径向精密锻造两种.

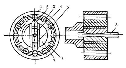
图8-32是滚柱式旋转锻造机锻造原理图.在主轴的四周均匀分布着成偶数的由夹圈固定的滚柱,锻模和滑块装在主轴的导轨内随主轴一起旋转.当锻模与一对滚柱成一直线时,滚柱压在滑块上,滑块带动锻模向中心运动,锻打毛坯.当主轴转到某一位置时,由于离心力的作用滑块远离主轴中心,锻模张开,毛坯沿轴向送进.主轴不断旋转,上述过程重复进行,最终使毛坯截面变小而长度增加.

图8-32 滚柱式旋转锻造机原理图

1—外环;2—滑块;3—滚柱;4—锻模;5—调整垫片;6—夹圈;7—主轴;8—毛坯

2.径向锻造的工艺特点

径向锻造的工艺特点是:

(1)具有脉冲锻打和多向模锻的特点.由于脉冲锻打频率高,一般为180~1800次/min,每次变形量很校因此金属变形速度低,流动路线短,摩擦阻力校变形均匀,设备动力消耗少.采用多锻模(可多达8个)沿径向从几个方向锻打,金属处于三向压应力状态,有利于金属塑性的提高.因此径向锻造不仅适合于一般钢材,也适用于高强度、低塑性的合金钢,尤其是难熔金属如钨、钼、铌等及其合金的制坯和成形.锻件的力学性能好,内部组织致密,抗拉强度和冲击韧性得到提高.

(2)锻造尺寸范围广.在滚柱式锻造机上能锻出150mm实心轴和320mm的空心轴;在径向锻造机上能锻直径550mm的实心轴和直径600mm的空心轴,长度可达10m.径向锻造工艺已普遍应用于锻造各种机床、汽车、拖拉机、飞机、坦克和其他机械上的实心轴、锥形轴、空心轴和深孔螺母等,还可专门用于制造各种薄壁筒形件的缩口和缩颈.径向锻造锻件的分类见表8-25.

表8-25 旋转锻造锻件分类表

(3)锻件精度高,表面粗糙度校直径为100mm以下的热锻件,外径精度为±0.3mm,内径精度为±0.1mm.直径在40mm以下的冷锻件,其外径精度可达±0.1mm,内径精度为±0.02mm.热锻件表面粗糙度Ra为3.2~1.6μm,冷锻件外径表面粗糙度Ra可达0.2μm,内径表面粗糙度Ra为0.8~0.2μm.因而节约金属材料.

(4)生产率高,自动化程度高.径向锻造机锻打频率快,锻打过程能自动控制,操作简单,劳动强度小.

8.2.4.2 径向锻造的变形过程

径向锻造时毛坯在锻模内沿三个方向变形,径向变形ε1使毛坯直径减校切向变形ε2使毛坯沿切向展宽和轴向变形,ε3使毛坯沿轴向伸长.ε123=0,由于锻模包角的作用,ε2《ε1,ε2可忽略不计,故ε13=0,即被压缩的金属全部沿长度方向延伸变形.

图8-33 锻细用的锻模

锻细用的锻模如图8-33所示.

8.2.4.3 径向锻造工艺参数的选定

径向锻造的主要工艺参数有:锻件转速、轴向进给速度、径向进给速度、径向压下量、变形程度和加热温度等.

1.锻件转速

径向锻造时,毛坯随着夹头的旋转而旋转,因此锻件的转速即为夹头转速.锻模每锻造一次,锻件转动一个角度,所以锻出的锻件外圈实际上是呈多边形的.锻件转速只影响边数多少而与锻件直径无关.多边形边数越多,锻件越圆滑.径向锻机的锻模打击次数是不变的,夹头转速是可调的,一般为25~45r/min.在选择转速时,在保证外表质量的前提下,要尽量选用较高的夹头转速和较大的轴向进给速度,以提高生产率.

2.轴向进给速度

轴向进给速度是单位时间内夹头移动的距离.轴向进给速度越大,生产率越高,但锻件成形的锻造次数越少,表面质量也就越不好.对变形抗力较大的材料和温度较低的锻件,轴向进给速度大时,锻件的直径会偏大.径向锻造时,如果径向压下量校锻件转速大,可以选用较大的轴向进给速度,反之应选用较低的轴向进给速度.通常轴向进给速度的选择为:热锻时,一般为2~3m/min,精锻时为1~1.5m/min;温锻时为0.3~0.5m/min;冷锻时为0.06~0.2m/min.

3.径向进给速度

径向进给速度是指单位时间内锻模在毛坯径向的进给量.锻空心件时采用较大的径向进给速度可使毛坯径向压缩得多些,轴向延伸少些.径向进给速度受设备的限制,不能过大,以免发生超载,一般选用200~300mm/min.

4.径向压下量

径向压下量是指在一次锻造中毛坯径向尺寸的减少量.在设备允许的情况下,尽量选用较大的压下量,以提高锻透深度和生产率,但过大时,若轴向进给速度也大,则会在锻件表面出现螺旋形脊锥纹.径向压下量与材料、径向进给速度、轴向进给速度等有关.

5.变形程度

径向锻造的变形程度可用直径减缩率或断面收缩率来表示.

一次压缩时的直径减缩率εd为:

一次压缩时的断面收缩率ψ为:

式中 d——毛坯直径;

d1——锻件直径.

变形程度大,生产率高,有利于成形与锻透,但对低塑性材料或薄壁件则可能出现裂纹等;变形程度小则表面质量好,但生产率低.合适的变形程度可参见表8-26.

表8-26 径向锻造的断面收缩率ψ %

①小数值适用于d>40mm的毛坯.

②大数值适用于d>70mm的毛坯

表中:t—毛坯壁厚;dp—管坯的内径与外径的平均值.

8.2.4.4 变形力的计算

实心圆柱形锻件变形力的计算公式为(图8-34(a)):

式中 P——变形力,N;

d1——锻件直径,mm;

lF——变形区长度,取lF=2d(d为毛坯直径),mm;

σs——锻造温度下材料的屈服极限,MPa;

μ——接触摩擦系数,热锻时μ=1.

空心锻件变形力的计算公式为(图8-34(b)):

式中 P——变形力,N;

d1外——锻件外径,mm

t——锻件壁厚,mm.

图8-34 锻件变形示意图

随便看

 

离鸟网收录3541549条中英文词条,其功能与新华字典、现代汉语词典、牛津高阶英汉词典等各类中英文词典类似,基本涵盖了全部常用中英文字词句的读音、释义及用法,是语言学习和写作的有利工具。

 

Copyright © 2004-2024 vtrois.com All Rights Reserved
更新时间:2026/4/6 19:02:02