网站首页  词典首页


请输入您要查询的字词:

 

字词 微波网络基础
类别 中英文字词句释义及详细解析
释义

微波网络基础


像低频网络一样,在高频和微波频段,我们仍可以用一个微波网络来代表一个具体的微波元件或测量系统,从而把复杂的求解电磁场问题化成一个网络问题,通过研究端平面上端变量与网络参数之间的关系,来获知微波电路的特性,而不必深入了解内部的电磁场分布规律。

1.散射参数的定义

在高频和微波测量中,最常用的网络参数是散射参数,又称S参数。对于图7.4-4所示的线性二端口网络,可建立如下的线性方程式:

图7.4-4 采用端变量a、b的线性二端口网络

式中,a——表示沿进入网络端口方向传播的波之复数幅度,称为入射电压波波幅;b——表示沿逸出网络端口方向传播的波之复数幅度,称为出射电压波波幅;S11、S12、S21、S22——取决于网络特性的常数,称为二端口网络的散射参数或S参数。

从式(7.4-15)可看出,散射参数的物理意义为:S11=b1/a1(a2=0),是端口2接无反射负载时,从端口1看入网络的反射系数;S21=b2/a1(a2=0),是端口2接无反射负载时,由端口1到端口2的传输系数;S12=b1/a2(a1=0),是端口1接无反射负载时,由端口2到端口1的传输系数;S22=b2/a2(a1=0),是端口1接无反射负载时,从端口2看入网络的反射系数。

2.有关功率的表示方法

1)传输到任意负载的净功率

如图7.4-5所示的系统,信号源入射到负载上的入射功率为:

图7.4-5 信号源和负载之间的功率传输

式中:P0=|bG2——信号源传输到无反射负载上的功率。

由负载反射的反射功率为:

因此,信号源传输到任意负载上的净功率为:

2)信号源的表示方法

如图7.4-5所示,信号源入射到负载的波的幅度a1可表示为:

a1=bG+b1ΓG (7.4-19)

式中:b1——由负载反射回到信号源的波的幅度;bG——信号源入射到无反射负载上的波幅;ΓG——信号源的反射系数。

3)信号源的可用功率

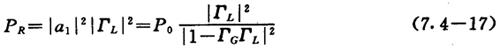
当ΓLG*时,由源输出的净功率称为可用功率PA,为:

其中入射波和反射波的可用功率分量分别为:

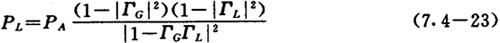
用可用功率来表示式(7.4-18)传输到任意负载上的净功率,可得到

3.有关二端口传输特性的表示方法

如图7.4-6所示的系统,传输到臂1的净功率可以由式(7.4-18)计算,为:

图7.4-6 在信号源和负载之间插入二端口网络

而输出到接至臂2的负载上的净功率为:

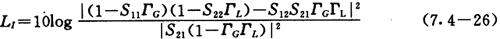
式中,S11、S21、S12、S22为二端口网络的S参数。

1)插入损耗

插入损耗是描述传输系统中网络特性的一个参量,定义为一个二端口网络插入到一个任意传输系统时,传输至负载上的净功率降低的分贝数。根据前面的讨论,使用式(7.4-18)和(7.4-25)不难得到插入损耗LI的表示式为:

由上式可知,插入损耗不仅与二端口网络本身的特性有关,而且还与信号源和负载的反射系数有关。也就是说,同一网络插入到不同的ΓG和ΓL的系统中,所求得的插入损耗是不同的。因此,插入损耗不能用来确定二端口的特性。

2)衰减

衰减是真正能表征网络本身特性的一个参量,定义为一个二端口网络插入到无反射传输系统时,传输至负载上的净功率降低的分贝数,即为在ΓGL=0情况下的插入损耗,故从臂1至臂2正向传输时的衰减可以表示为:

对于从臂2至臂1反向传输的情况,有

3)插入相移

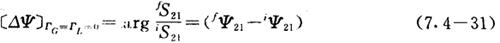
由于插入一个二端口网络所引起的入射到负载上的波的相移变化称为插入相移,可以用下式表示:

4)差分相移

可变移相器从初始状态改变到终了状态时所引起的入射到负载上的波的相移变化,称为差分相移或增量相移,可以用下式表示:

式中,上标i、f分别表示初始和终了状态时可变移相器的S参数。

5)特征相移

在系统无反射情况下的差分相移或插入相移,称为特征相移,它真正表征二端口网络的特性。

4.有关反射系数的变换

如图7.4-7所示,臂2用反射系数为ΓL的负载终接的二端口网络,在其输入端(臂1)上的反射系数Γ1为:

图7.4-7 二端口网络对负载反射系数的变换

或写成

式中a、b、c、d——二端口网络的电路常数。

由上式可知,反射系数ΓL通过二端口网络的变换成了反射系数Γ1。式(7.4-34)的方程叫线性分式变换,或称双线性变换。复变函数中线性分式变换的特性都可以应用到微波网络的分析中来。

下面开始叙述无线电计量的各个参量。由于篇幅限制,不能将所有基本参量全部介绍,二次导出量也未能涉及。

【参考文献】:

[1]王立吉、金国钧编着,高频电压的计量测试,计量出版社,1986。

[2]李世雄、彭幼伯等编着,低频电压的计量测试,计量出版社,1988。

[3]冯新善、吴幼璋等编着,高频、微波功率的计量测试,计量出版社,1987。

[4]张关汉、李光仪等编着,高频集总参数阻抗的计量测试,计量出版社,1986。

[5]胡希平、李湘编着,微波阻抗与反射的计量测试,计量出版社,1988。

[6]蔡新泉、关志仁等编着,高频、微波噪声的计量测试,计量出版社,1988。

[7]郭允晟、苏秉炜等编着,脉冲参数与时域测量技术,计量出版社,1989。

[8]吴毅、都世民等编着,高频、微波场强和干扰的计量测试,计量出版社,1986。

[9]谢上次、徐燕清编着,高频、微波相移的计量测试,计量出版社,1992。

[10]艾明、吴达慎等编着,失真与调制参数的计量测试,计量出版社,1989。

[11]黄福芸等主编,计量知识手册,中国林业出版社,1986。

[12]陈国瑞、华荣喜等编,工程电磁场与电磁波,西北工业大学出版社,1990。

[13]Ghose,R.N.,Microwave Circuit Theory and Analysis,McGraw-Hill Book Company,Inc.,1963。

随便看

 

离鸟网收录3541549条中英文词条,其功能与新华字典、现代汉语词典、牛津高阶英汉词典等各类中英文词典类似,基本涵盖了全部常用中英文字词句的读音、释义及用法,是语言学习和写作的有利工具。

 

Copyright © 2004-2024 vtrois.com All Rights Reserved
更新时间:2026/4/8 18:36:29