网站首页  词典首页


请输入您要查询的字词:

 

字词 微重力测量
类别 中英文字词句释义及详细解析
释义

微重力测量


15.3.1 基本原理

微重力测量(Microgravimetry)是在重力测量学基础上发展起来的一个新兴分支学科。因此,微重力位场基础理论、概念等与重力学基本上是相同的,具有其共性,但在特殊性上,突出“微”的性质和特点。它是基于地球引力场基础上,研究不同岩性密度的变化来解决一些特殊地质问题的勘探方法。

微重力测量与常规重力测量不同,是能够达到微伽级精度的重力测量。为保证得到微伽级精度的分析解析结果,其关键在于野外勘测作业的方法、技术上与常规的勘探测量有许多不同的要求、特殊措施和规定,比常规重力测量要复杂得多。在地质等自然条件上,地形、地貌、近仪物体、温度、压力、振动、固体潮等因素的影响;在观测操作技术上,仪器及底盘的放置、调节操作、测点高程等因素都需要专门考虑;记录方法也需要专门的规定。对于微重力观测得到的数据,除与常规重力观测数据改正相同的项目之外,为确保达到微伽级的观测数据的质量要求,还需要进行近物体影响的改正和在一定范围内的建筑物影响的改正。

众所周知,在地球表面及附近空间的一切物体都具有重量,这是物体受重力作用的结果。P0点是地球上任一点,在P0处有一质量为m0的质点(物体),见图15-3,它受到质量为M的地球对质点m0产生的引力F(M,m0);同时,质点m0还受随地球作自转而产生的惯性离心力C(m0)的作用,惯性离心力的方向垂直于地球自转轴指向外。引力与惯性离心力的矢量合成的合力G(M,m0)就是重力。

图15-3 地球重力场

G(M,m0)=F(M,m0)+C(m0) (15.4)

重力的方向在不同的地点其指向略有不同。由于

所以重力G(M,m0)的方向大致指向地心。

质点P0不仅受地球物质的吸引,还受到太阳、月亮等其他天体物质的吸引。运动中的地球在日、月引力的作用下,重力也还会出现周期性的随时间而变的微小变化。

存在重力作用效应的空间称为重力场。

为了便于对地球内部物质分布进行比较研究,将单位质量所受的重力作为研究标准,称为重力场强度或重力加速度,对重力加速度的测量简称为重力测量。重力测量可分为绝对测量和相对测量。绝对重力测量测的是重力的全值,称为绝对重力值;相对重力测量测的是各点相对于某一基准点的重力差。相对重力测量是现代测量的主要形式。

地球表面上的重力加速度随着地点的不同有所变化。根据测量得到的地面上的重力变化来研究地下的地质构造特点,勘探矿藏、地下人工建筑物体以及一些人类活动遗迹,是微重力探查的主要内容。由于岩石受力变形,地下洞穴等的差异会产生微重力场的变化,通过研究这种变化可以达到勘查地质灾害的目的,如滑坡、塌陷、地面沉降等。

一般地表重力加速度的变化原因主要有:

(1)地球的实际形状比较复杂,是一个北极稍突出、南极缩入,赤道半径较两极半径稍大的类似梨状的扁球体,并且地面是起伏不平的;

(2)地球绕一定的旋转轴自转;

(3)地球内部,特别是地壳岩石圈层及其附近的物质,密度分布不均匀,这是地球历史上多次复杂的地质作用造成的结果,因此这种不均匀与地质构造、矿产分布有着密切的关系;

(4)人类的历史活动在接近地表形成的遗迹和人工建筑物体的存在,造成局部地区密度分布的微小变化。

15.3.2 观测方法

测量重力的方法可分为动力法和静力法。动力法是观测物体在重力作用下的运动,直接测定的量是时间和路程;静力法是观测物体的平衡,直接测定的量是物体因重力变化而发生的线位移和角位移。

采用静力法进行相对重力测量是重力勘探的主要方法,所用的仪器为重力仪。根据测量方式的不同,重力测量又有重力测量和重力垂直梯度测量之分。重力测量是指直接测取测点的重力加速度(绝对值或相对值);重力垂直梯度测量是指测量地球重力沿铅垂方向的变化率。

图15-4是重力仪简单工作原理图。弹簧原长为S0,其上端固定在支架上,下端悬挂一个质量为M的负荷。在重力gG的作用下,弹簧长度由S0伸长到SG,于是有

M·gA=K(SG-S0) (15.6)

式中:K为弹簧的弹力系数。如果将它移到另一点4,在该点重力gA的作用下弹簧的长度为SA,则

M·gA=K(SA-S0) (15.7)

在S0不变的情况下,4、G两点的重力差可由下式决定

式中:是仪器的常数,相当于弹簧长度变化一个单位时的重力变化值,称为重力仪的格值;△S为在4、G两点上弹簧长度的长度变化。所以,在格值C已知的情况下,若能准确测出弹簧长度在两点的变化值,就可以求出这两点的重力差。

当基准点上的绝对重力值已知时,通过相对重力测定也可求出观测点的绝对重力值,即:

gA=gG+△g (15.9)

图15-4 重力仪简单工作原理

15.3.3 技术要求

15.3.3.1 微重力测量的分类与布点原则

在工程上,微重力测量一般可分为两类:①剖面测量,剖面一般垂直于线型地下结构(如断层、背斜、向斜和隐伏河道)的设定走向;②面积测量,主要探测地下地质体大小、形态和分布。无论剖面或面积测量,重力测点位置的相对高程必须用测地方法来确定。

用以进行勘探的野外程序取决于勘探的目的和有关数据校正的要求,微重力勘探的测量是相对于局部地区的参考点而进行的,并不需要确定绝对重力值。至于面积测量中的比例尺,可按工程的需要确定,1∶200至1∶1000不等。

微重力测量的布点原则:

(1)将所探测的对象或异常布置在测线或测区的中心;

(2)测线或测区内应尽可能覆盖在与探测对象有关的地质体附近;

(3)测线方向应尽量垂直于探测对象的走向,并尽可能与已知的地质剖面一致;

(4)测点距应小于可信异常宽度的1/2~1/3,保证至少有四个测点能反映出上述异常;

(5)测线距不大于地质体在地面上投影长度的1/2~1/3。

15.3.3.2 微重力测量中的测地工作

(1)测地工作的任务

测地的主要任务在于:①按照微重力勘测设计的要求在工区布设测线或测网(面积测量),确定测点的坐标,以便绘制图件并作正常重力(纬度)校正;②测定测点的高程,以便进行空间(高度)、中间层校正(当然还要求测定岩土密度);③在地形起伏地区,需作相应比例尺的地形测量,以便进行地改。

(2)测地工作的方法与要求

测地工作方法与要求为:①用经纬仪或测距仪测量重力点的坐标,该坐标可以附属于国家网(点)或是独立坐标;②用水准仪或测距仪测量重力点的高程,精度可按Ⅳ等水准的要求,该高程应附属于国家高程系统;③在做地形测量时,如果在重力点附近(0~4m)高程精度为1cm左右,在4~10m处的精度为2cm左右,10~100m为5cm左右,100m以上可以稍差,最后算得的地改精度有可能达到3×10-8m·s-2;④在进行地下微重力测量时,除按上述要求测定点位和高程外,还需对平硐的各处截面进行位置和高程的测量,以便作平硐改正;⑤在靠近建筑物如墙壁、石柱、仪器墩作微重力测量或梯度测量时,需对它们的相对位置、形状、大小等进行测量,以便作近仪物体和建筑物的改正。

15.3.3.3 微重力测量野外记录的要求与记录的内容

(1)微重力测量记录本的记录项目

微重力测量的记录本记录的项目,根据其特点应包括如下内容:①光学位移灵敏度;②读数线;③运输方式;④仪器名称和编号;⑤纵水泡二端读数;⑥横水泡二端读数;⑦重力读数时间和读数;⑧地面(测点桩)和仪器底边距离;⑨气压、气温和仪器内温;⑩外界干扰描述,包括风和震动;⑾点位描述;⑿测点位周围地形、地貌描述。

(2)近仪物体测量记录本的记录项目

由于近仪物体的测量和测区内的地形地貌测量可以同步进行,因此近仪物体记录本也可以用于近区的实地地形地貌测量。该记录本应记录如下内容:①工区内平面草图,该草图包括所有被测物体的平面图和编号,并且有方位;②每个被测物体的素描图及编号,该编号要和平面草图的编号一致,并且有方位;③若被测物体的素图被分割成若干个正规几何体,则每个分割体要画出详细图件,分割体的编号与素图的编号一致,而且和记录纸中的编号一致,详图内各几何体标上位置标记和密度标记,以提供测量时用,并且要有方位。

15.3.4 微重力观测数据的整理

由于微重力测量要求有很高的精度,即达到微伽级的精度,因此在观测时以及做各种处理计算、分析解释之前需要进行许多校正、改正和处理。

15.3.4.1 观测数据的处理及改正

一个测点的观测值gi可用下式来表达:

式中:gi为换算后的测点上的重力值;f(zi)为根据格值表及标定值(线性、二次项)将读数值zi换算成重力值的换算(格值)函数;Cm为磁场系数,可从实验室标定;mg为磁场强度,如在每个测点上严格将仪器定向朝北及避开强磁场干扰,则此项可以忽略;CT为温度系数,可从实验室标定,mT为温差,一般此项亦可忽略;δ为潮汐因子,它因地区而异,一般取为1.16,GT为观测时刻的固体潮理论值;P为周期误差个数;4n为周期误差振幅,为周期误差角频率,Tn为周期,φn为其相位,这些可在基线场内标定得到,但目前一般标定得不够准确,故多不采用它们作改正;ap为气压系数,△P为实测气压与标准气压P(H)之差。最后一项为气压变化而引起仪器摆杆平衡位置(重力读数)的变化,这可以在减压舱内进行实验,并可求出改正系数Cp,若已知气压变化mp,即可求得此项改正。不过根据一些重力仪器的试验,此项影响很小,在微重力测量中可以略去。

15.3.4.2 正常重力改正、高度(空间)改正和中间层改正

(1)正常重力改正:对于微重力测量,通常可以对基点指定一参考纬度,然后用下式计算所有其他测点的纬度校正:

△gZL=±0.81sin2φ·△L (15.11)

式中:△gZL以μGal为单位;△L为距基点(或参考点)的南北向距离,以m为单位;φ为参考纬度;如果要校正的测点在基点之南则用正号,如果在北则用负号。

(2)高度(空间)校正:由于微重力测量是相对于一任意参考高程的(基点的高程,或大地水准面的高程,或平均海平面的高程),而且只需相对于参考高程的测点高程,所以高度(空间)校正公式为:

△gZFA=±308.55△h (15.12)

式中:△gZFA以μGal为单位;△h为需要校正的测点和参考高程之间的高程差,以m为单位;正号用于比参考高程高的测点,负号则用于比参考高程低的测点。

(3)中间层校正(即布格校正):对于中间层布格校正,要选择一参考高程,最好是与高度(空间)校正相同的参考高程,并将每一个测点同参考高程之间用无限水平板的物质来近似,则布格校正公式为:

△gZ布校=±41.91ρ△h (15.13)

式中:△gZ布校以μGal为单位;ρ为平板的密度(g/cm3);△h是被校正测点和参考高程之间的高程差,以m为单位;当测点高于参考高程时取负号,反之取正号。

15.3.4.3 地形改正

地形改正对于微重力测量极为重要,是影响重力异常计算的主要因素。地形改正主要的计算方式有以下三种。

(1)表面积分法:表面积分法的基本原理是将重力地形改正的体积分计算,按高斯定理转变为关于地形面及地形改正点所有水准面的表面积分算式,并采用三角形面拟合地形起伏,每个三角形单元的积分用高斯公式数值求积。该方法的优点在于精度较高,计算速度快,灵活性较大,它可以用于远区、中区和近区改正。

(2)FFT地改计算:FFT地改计算方法即快速傅氏变换地形改正计算方法,特点是公式简单,易于在计算机上快速实现。

(3)分区计算法:分区计算法是将地形改正范围分为近区、中区、远区。近区采用斜顶面三棱柱模型,中区和远区采用方柱体公式。

15.3.4.4 近仪物体对微重力测量影响的改正

(1)观测仪器墩的重力效应改正:观测仪器墩是最近仪器的物体,对于重力测量的影响不可忽略,一般采取圆柱体、截头圆锥体、方柱体作为几何体模型进行改正。至于仪器周围的墙壁或崖岩体,则可以用方柱体(立方、长方形柱体)等模型组合而成,根据其实测密度计算重力效应并进行改正。

(2)建筑物影响的改正:微重力测量经常在建筑物群中,甚至在建筑物脚下和建筑物内部进行。巨大的建筑物质量的影响,也可称其为“近仪质量”的影响。由于一般的建筑物形状多是规则的几何体,在考虑其影响时,可将建筑物分解成若干个长方体(包括斜长体)、圆柱体、圆球、棱柱体的组合。如果将建筑物划分的足够细,并以相应的规则体(长方、圆柱、球体等)的效应理论公式计算出各自的重力值、重力垂直梯度值等,就可以较精确地计算出建筑物的总体重力效应、重力场分布及相应的改正值。

15.3.5 微重力测量的数据处理

微重力数据处理的主要目的是:

(1)消除因重力测量和对重力测量结果进行各项校正时引进的一些误差,或消除与勘探目的无关的某些近地表小型密度不均匀体的干扰;

(2)从多种地质因素所引起的叠加异常中,划分出与重力勘探目标有关的异常;

(3)根据重力勘探问题的需要,进行位场转化。

15.3.5.1 曲线平滑

曲线平滑处理用以消除野外重力测量观测误差和对测量结果进行各项校正时引起的误差。

(1)徒手平滑法:有经验的技术人员根据异常曲线的变化规律,直接平滑异常曲线。徒手平滑应注意平滑前后各相应点重力异常值的偏差不应超过实测异常的均方误差,而且尽可能使平滑前后异常曲线所形成的面积相等,重心不变。

(2)多次平均法:把两个相邻点的重力异常平均值作为两点中点的异常值,直到最后达到期望的平滑程度时再徒手光滑曲线。

(3)剖面异常的平滑公式:包括线性平滑公式和二次曲线平滑公式。

线性平滑公式:

某一点的平滑值是在剖面上以该点为中心取奇数点的算术平均值。由m=1、2、3……可分别得3、5、7……点平滑公式。

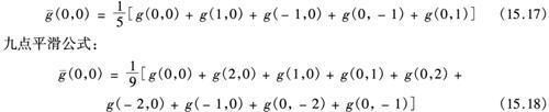
二次曲线平滑公式:包括五点和七点平滑公式。

五点平滑公式为:

七点平滑公式为

(4)平面异常的平滑公式:线性平滑公式(见前)。

五点平滑公式:

15.3.5.2 区域异常与局部异常的划分

区域异常一般是由相对埋藏较深,或分布范围大的剩余质量所引起;局部异常一般由相对浅或小的地质体所引起。在进行地质解释,尤其是进行定量解释之前,需对叠加异常进行处理,划分出区域异常和局部异常。其常用方法有:

(1)图解法:图解法分为平行直线法和平滑曲线法两种,平行直线法适用于区域重力异常沿水平方向呈线性变化的地区;平滑曲线法适用于区域重力异常等值线不能用平行直线而只能用曲线表示。

(2)数值计算法:包括偏差法、圆周法、网络法等。

(3)多项式拟合法、趋势分析法。

15.3.5.3 位场的转换

位场转换主要为了便于进行反问题的处理,主要内容包括:

(1)由观测平面上的重力观测值换算同一平面上的重力异常二阶、三阶偏导数(Vxz、Vzz、Vzz2)等各阶系数,即重力异常的导数换算。

(2)由观测平面上的重力观测值换算异常源以外任意点上的△g、Vxz、Vzz、Vzz2等为重力异常的解析延拓。

15.3.5.4 微重力测量数据反演方法

微重力测量数据的反演是微重力异常定量解释的基础。反演前必须对叠加异常作认真分析,并设法提取与勘探目标有关的重力异常,这样才可能对引起异常的地质体作出定量解释。

(1)解析法:我们知道,地质体的△g、Vxz、Vzz和Vzz2是其产状要素、剩余质量及观测点坐标的函数。反之,如果把地质体的产状要素或剩余质量等表示成重力异常(或其导数)及观测点坐标的函数,则当这些地质体产生的△g(或其各阶导数)为已知时,便可以根据这种函数关系求出地质体的产状要素及剩余质量等参数。计算方法包括△g异常曲线求解和Vxz、Vzz、Vzz2曲线求解。

(2)切线法:利用异常曲线特征点的切线,用图解的方法求取物体顶部(或中心)的近似埋藏深度。

(3)选择法:根据实测重力异常的剖面异常曲线或重力异常平面图上重力异常等值线分布和变化的基本特征,结合工作地区的地质和其他地球物理资料,给出引起这种重力异常的地质体的模型,并利用解正问题的方法计算模型体的理论异常,再把理论异常与实测异常进行对比,当两者在所允许的误差范围内时,则所给定的地质体的模型即为所求的解。

(4)直接法:直接利用剖面曲线或平面图上重力异常的分布,通过积分运算来求解异常体的某些参数,如三度体的剩余质量、质心坐标或二度体的横截面积和质心坐标等。

(5)密度分界面的反演:根据实测的重力异常确定地下密度分界面的起伏,对于研究地质构造十分重要。要使这一工作取得良好的效果,必须具备以下条件:①用来进行反演计算的重力异常是由密度界面起伏所引起;②界面上下物质层的密度分布比较均匀,且已知它们的密度差;③在工区内至少有一个或几个点的界面深度为已知。求解密度界面的方法有:线性公式求解法、二级近似公式求解法、压缩质面法等。

(6)浅层应力场反演:以弹性力学平衡方程为理论基础推导出计算地壳浅层应力场的计算公式,并利用地表实测重力资料来反演浅部应力场,以此来探讨一些地质体的力学机理和稳定性趋势。

15.3.6 微重力异常地质解释

微重力异常的地质解释可分为定性解释和定量解释。定性解释是根据重力异常基本特征和已知的地质和其他地球物理资料,对引起重力异常的地质原因作出判断。定量解释是在条件具备的情况下,对一些有意义的异常进行定量计算,求出地质体的某些产状。

解释重力异常之前,必须认真考虑重力异常的等效源以及由此而带来的重力勘探反问题的多解性。因此在进行资料解释时要尽可能获取更多信息,以缩小解的范围。

(1)充分利用工作区的已知地质条件,如地层及岩石的种类、构造产状等,以使反问题的解尽量符合客观实际;

(2)岩石密度资料不仅是布置重力勘探工作的依据,也是解重力勘探反问题的重要参数,应当认真收集和分析利用,必要时可采集标本进行直接测定或通过地表重力数据和井中测量数据间接测定;

(3)充分利用钻井资料,从中收集各种地层的准确厚度和各种岩石的物理性质,以便获取解释异常所需的重要资料;

(4)各种地球物理资料可以对重力异常的解释起补充和旁证的作用,应充分利用。

15.3.7 成果的表达形式

微重力测量的成果形式主要有:重力异常平面等值线图和重力异常剖面曲线图;各种偏导数平面等值线、剖面曲线图;解析延拓平面等值线图、剖面图;各种推断解释图件等。

15.3.8 展望

微重力测量是一种新兴的勘探方法,虽然其野外测量及资料处理比较复杂,但具有不受地形限制、不受各种电磁影响、异常体反映灵敏度高的特点,在地质灾害勘探方面能够发挥更积极的作用,如地面塌陷、滑坡、泥石流、崩塌、地裂缝、库岸、地面沉降的地质调查等各方面均有较好的应用前景。

15.3.9 仪器设备

微重力勘探的仪器设备见表15-4。

表15-4 微重力测量仪器一览表

【参考文献】:

A.H.苏尔坦霍贾耶夫等着,蔡祖煌,石慧馨译.1983.放射性气体在研究地质过程中的应用,北京:地震出版社

陈善.1986.重力勘探,北京:地质出版社

高清武.1991.用放射性气体测量方法研究活断层,断层气测量在地震科学中的应用,北京:地震出版社

韩许恒,郁春霞.1996.氡气探测在采空区勘查中的应用,工程勘查

韩许恒,郁春霞.1997.氡气测量在西安地裂缝勘查中的应用研究,工程地质学报

金培杰,唐玉立.1992.静电α卡法在探测滑坡地下水中的应用,中国地质灾害与防治学报

刘广才,刘金和.1991.探测隐伏断裂及其赋存地下水的α热释光法,物化探译丛

刘正林.1994.钋-210法探测煤矿地质构造的实例与效果,物探与化探

王谦身,张赤军等.1995.微重力测量——理论、方法与应用,北京:科学出版社

吴慧山.1998.氡测量方法与应用,北京:原子能出版社

远山忠昭1984.重新探讨调查活断层的γ射线测量方法,[J].地震(日文),第2辑,37卷,539~547

随便看

 

离鸟网收录3541549条中英文词条,其功能与新华字典、现代汉语词典、牛津高阶英汉词典等各类中英文词典类似,基本涵盖了全部常用中英文字词句的读音、释义及用法,是语言学习和写作的有利工具。

 

Copyright © 2004-2024 vtrois.com All Rights Reserved
更新时间:2026/4/7 20:11:20