1.原理
食品中的有机酸用氢氧化钠标准溶液滴定,以酚酞为指示剂,滴定至溶液呈现淡红色30s不退色为终点,或以酸度计测定终点,根据所消耗标准碱液的浓度和体积,可计算样品中酸的含量。
本法可适用各种食品中的总酸测定。
2.试剂
(1)0.1mol/L氢氧化钠标准溶液。
(2)1%酚酞指示剂。
3.测定方法
准确称取均匀样品25~50g(视含酸量而增减)于小烧杯中,精确至0.001g,用水移入250mL容量瓶中,充分振摇后加水至刻度,含固体的样品至少放置30min(摇动2~3次)摇匀,用干燥滤纸过滤。取滤液25~50mL于三角烧瓶中,使之含酸0.035~0.070g,加酚酞指示剂3滴,用0.1mol/L氢氧化钠标准溶液滴定至微红色30s不退色为终点。记录消耗0.1mol/L氢氧化钠标准溶液的毫升数。同一被测样品必须测定2次。
4.用水代替试液
同样品测定法操作。
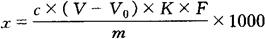
5.计算

式中 x——每1kg(或每升)样品中酸的克数(g/kg)(或g/L);
c——氢氧化钠标准溶液的浓度(mol/L);
V——测定试液时消耗氢氧化钠标准溶液的体积(mL);
V0——空白实验时消耗氢氧化钠标准溶液的体积(mL);
F——试液的稀释倍数;
m——样品的质量(g);
K——换算为适当酸的系数。其中:苹果酸0.067,醋酸0.060,酒石酸0.075,乳酸0.090,柠檬酸0.064,含1分子水的柠檬酸0.070。
计算结果精确到小数点后第二位。
6.说明与注意事项
如样品液颜色过深,可先加入等量蒸馏水稀释再滴定。终点不易辨认时,可用原试样作对比或用活性炭脱色,判断终点,也可用电位滴定法进行测定。所用蒸馏水应经煮沸除去二氧化碳。
7.允许差
同一样品的两次测定值之差,不得超过两次测定平均值的2%。