网站首页  词典首页


请输入您要查询的字词:

 

字词 恒温炉内加热时间的计算
类别 中英文字词句释义及详细解析
释义

恒温炉内加热时间的计算


“薄型”钢材,加热温度≤1200℃时,可以按加热炉容许的最大加热速度计算加热时间.计算公式为:

式中 G——钢材质量,kg;

cp——钢材平均热容,kJ/(kg·℃);

A——钢材受热面积,m2

aΣ——综合给热系数,W/(m2·℃);

tl——炉温,℃;

ts——加热开始时的钢材温度,℃;

tz——加热终了时的钢材温度,℃.

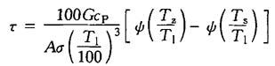
“薄型”钢材,加热温度>1200℃时,按综合辐射传热计算加热时间,而忽略影响不大的对流传热.计算公式为:

式中 σ——导出辐射系数,W/(m2·℃),当加热温度为900~1300℃时,σ=3.5~4.0;当加热温度≤900℃时,σ=2.9~3.5;

Tl——炉温,K,Tl=tl+273;

Ts——加热开始时的钢材温度,K,Ts=ts+273;

T2——加热终了时的钢材温度,K,Tz=tz+273;

φ——函数(见图6-1).

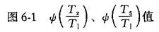
“厚型”钢材,加热温度≤1200℃时,加热时间的计算公式为:

式中 φm——迟缓加热系数(由图6-2确定).

“厚型”钢材,加热温度>1200℃时,加热时间的计算公式为:

式中 δ——钢坯加热厚度;

K——材料系数(查表6-5);

M——置放系数(查表6-6);

μ——尺寸系数(查图6-3).

图6-2 迟缓加热系数φm

图6-3 根据钢坯长度L与厚度δ确定系数μ

表6-5 材料系数K值

表6-6 置放系数M值

随便看

 

离鸟网收录3541549条中英文词条,其功能与新华字典、现代汉语词典、牛津高阶英汉词典等各类中英文词典类似,基本涵盖了全部常用中英文字词句的读音、释义及用法,是语言学习和写作的有利工具。

 

Copyright © 2004-2024 vtrois.com All Rights Reserved
更新时间:2026/4/9 16:09:20