网站首页  词典首页


请输入您要查询的字词:

 

字词 成型品厚度
类别 中英文字词句释义及详细解析
释义

成型品厚度


计算成型后的成型品最终厚度(假设伸展均匀)用下列公式

式中:t1=片材厚度(毫米或吋)

t2=成型品的最终厚度(毫米或时)

A1=片材原始长度(毫米或时)

A2=成型后最终相当的片材长度(毫米或时)

B1=片材的原始宽度(毫米或时)

B2=成型后最终相当的片材宽度(毫米或时)

例:

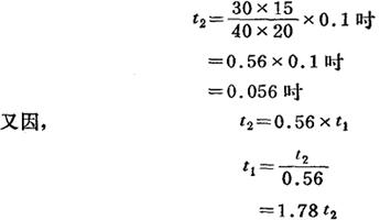
一片材厚度为0.1时,其成型毛坯尺寸为30×15时(亦即,不包括夹着的片材部分)。在成型时,片材被伸展至其长度及宽度相当于40×20时,其成型品的最终公称厚度则为:

因此,对于此种伸展度,片坯厚度应为1.78×最终成型品设计厚度。实践中,由于伸展不匀及(或)局部变薄,必须略增加厚度。

随便看

 

离鸟网收录3541549条中英文词条,其功能与新华字典、现代汉语词典、牛津高阶英汉词典等各类中英文词典类似,基本涵盖了全部常用中英文字词句的读音、释义及用法,是语言学习和写作的有利工具。

 

Copyright © 2004-2024 vtrois.com All Rights Reserved
更新时间:2026/4/7 3:20:21