网站首页  词典首页


请输入您要查询的字词:

 

字词 成本预测
类别 中英文字词句释义及详细解析
释义

成本预测


一、成本预测概述

成本预测是根据成本和各种经济技术因素的依存关系,结合未来发展及采取的各种措施,利用一定的科学方法,对未来成本水平及其变化趋势作出科学的预测。企业在做好市场预测,利润预测和资金需要量预测后,能否实现未来的经济效益,实现多少,这都与成本的高低有密切的联系,如果成本目标不能实现,利润目标的完成也就没有现实的基础,所以说,成本预测是决定企业经济效益的重要因素,成本预测的目的是为了挖掘成本降低的潜力,为成本决策打下良好的基础;也为企业内部各单位降低成本指出了方向,是企业成本管理和控制的前提条件。

(一)成本预测的基本内容

成本预测由以下几个基本内容组成。

1.预测计划期目标成本

企业在编制计划和制定决策时,首先要根据企业所取得的有关产品品种、产量、质量、价格和竞争等预测数据和目标利润指标,以及采取的降低成本措施,通过科学的计算分析,预计短期和长期的产品目标成本。

2.计划实施中的成本预测

通过计划实施中的成本预测,可以揭示前一阶段成本计划推行过程的完成情况,并在期中生产预测的基础上,预测下一阶段成本计划是否按时完成,找出完成目标成本的差距,以便采取措施,保证成本计划的完成。

3.预测产品成本水平

为了提高企业竞争力,使产品物美价廉,就必须不断降低产品成本,从薄利多销中取得利润,为此,必须重视产品最佳成本的预测,以确定合理的目标成本。产品目标成本水平预测是通过日常成本管理工作,分析主要技术经济指标变动与产品成本的依存关系和影响程度,确定产品成本的发展变化规律,建立一定的数学模型,预测各项经济技术指标变化时产品成本水平和变化趋势的影响程度。

4.通过成本预测,为制定各项经济技术工作提供可靠的保证

通过成本预测,可以为厂址选择,生产布局、资源利用、技术装备、工艺流程、运输方式、物资采购、产品销售等经济活动进行可行性研究,提供成本资料,为决策分析提供依据。

(二)成本预测的作用

1.成本预测是进行成本决策和编制成本计划的基础

产品成本涉及到许多经济和技术问题,如果不事先作出周密的科学的预测,就很难作出正确的决策,编制正确的成本计划。在确定某种产品的成本时,首先要通过市场调查,确定该产品的价格;然后计算出目标成本;再从成本的方案;进一步测算生产量的大小,交货时间及产品质量对成本的影响等。只有对这些问题事前作出预测,取得可靠资料,经过反复论证,才能作出成本决策,编制成本计划。

下面就成本预测对成本决策和成本计划的具体作用,论述如下:

(1)预测是根据观察资料和历史资料,运用人们所掌握的科学知识和实践经验,对事物发展的必然性和可能性推测的过程。它从实际出发,系统地研究大量信息资料,客观估量各方面的情况和条件,并作出科学的判断。因此,通过成本预测,就能使成本决策和成本计划建立在客观实际的基础上。

(2)预测的核心在于揭示和描述事物发展变化的趋势,勾画出未来生产经营活动的概况,从而为决定目标和方向提供依据。成本预测正是通过以现代数学方法为基础的预测方法体系和现代计算手段,对未来经济活动的发展过程做尽可能详尽的分析和研究,为成本决策提供科学的数据和资料。

(3)进行成本预测,对未来生产经营活动可能遇到的情况,进行全面和系统的分析,避免了盲目进行成本决策;进行成本预测,对生产经营活动中可能对未来成本的影响因素进行科学分析,并作出多个可行的成本预测备选方案,为选择最佳成本方案,制定合理切实的成本计划提供了科学依据。

(4)成本预测的定量化,为成本决策和成本计划的编制,提供了详实的素材。

2.成本预测有利于进行成本控制

通过成本预测,明确了各级管理阶层的成本责任,改善了成本控制的环境,加强了成本控制的科学性和有效性。

3.成本预测有利于加强成本管理

企业成本管理是整个现代企业管理的重要组成部分。成本管理水平的高低,直接影响到企业经济效益的高低。通过成本预测,掌握了成本的历史、现状和未来的发展趋势,确立了成本、业务量和利润三者之间的关系,从而和未来的成本管理提供了客观依据。

4.成本预测是制定标准成本的前提

5.成本预测是考核评价责任中心的重要依据

(三)成本预测的基本程序

成本预测的基本程序有如下五项:

(1)提出企业成本目标;

(2)收集尽可能多的可计量的成本资料,采用专门方法,预测企业目前成本达到的水平,找出目前成本与成本目标的差距;

(3)分析企业成本目标实现的途径和潜力,力求缩小现实成本与目标成本之间的差距;

(4)对各种降低成本的途径逐一进行分析,修正成本目标;

(5)制定出最优成本方案。

二、成本预测的主要方法

成本预测的主要内容是成本变动趋势的预测。预测成本变动趋势的具体方法很多,本节仅就判断分析法,因素分析法和历史成本法为主要内容进行简要介绍。

(一)判断分析法

判断分析法,亦称“直观分析法”,是指运用人们的经验和综合分析能力对未来成本变化趋势的预测方法。判断分析法又具体可分作“专家意见”法和“座谈会”法。

1.专家意见法

专家意见法是指本企业有经验的管理人员和外界有关专家对企业计划期间的成本情况进行综合研究,并作出推测和判断的一种方法。此法适用于不具备完善可靠成本历史资料的企业。其具体判断分析程序如下:

(1)由企业提出成本预测的目的和要求,并向有关专家提供成本历史资料;

(2)专家们依据企业提供的历史成本信息,根据自己的知识和经验,对企业成本未来变动趋势分别作出判断;

(3)企业将各个专家的不同意见收集、归纳和整理,形成企业成本预测的结论。

若企业对各个专家的不同意见无法进行选择(即专家们意见相差很大),则将第一次收采到的专家意见归纳出若干个主要意见,再提供给各有关专家,进行新一轮的征求意见,如此反复,直到有关预测意见基本一致,再做出企业的成本预测结论。

专家意见法的优点是预测成本的准确性高,缺点是费时耗资多。

2.“座谈会”法

“座谈会”法,也是专家意见法的一个派生的方法,它与专家意见法的主要区别是:专家意见法是各个专家与企业独立发生业务联系,因此,专家之间的预测结论不受其他专家意见的影响;而“座谈会”法是专家都聚集到企业,面对面地对企业成本预测问题进行讨论,这种方法容易受少数有影响力的专家意见所影响预测结论。“座谈会”法的基本程序如下:

(1)由企业召集有关专家成立专家预测小组;

(2)召开各种形式的座谈会,由专家们对企业成本预测问题进行充分反复的讨论;

(3)形成预测结论。

“座谈会”法的优点是耗时耗资少,缺点是成本预测结论不够准确。

(二)因素分析法

对影响企业成本变动主要因素的分析,构成了因素分析法的基本内容。下面分别就各个因素对未来企业成本变动的影响作具体分析。

1.产品产量

前已述及,成本同产量之间有着极为紧密的依存关系。一般说来,由于材料消耗的节约、设备利用效果的提高、企业经营管理工作的改善和工人劳动生产率的提高等,企业经营的有关产品的产量常常会发生增减变动。产量的任何变动,必然引起成本的相应变动,其中变动成本总额将随着产量的增加(减少)而上升(下降),单位产品固定成本份额将随着产量的增加(减少)而下降(上升)。现主要从以下两个方面说明产品变动对成本变动的影响:

(1)产品产量变动对产品成本升降幅度的影响:

〔例〕某企业生产某产品,有关资料如图表5-1所示:

图表5-1

本例中,某产品产量变动对产品成本降低幅度的影响情况是:

或者:

计算结果说明,当某产品实际产量比计划产量增长20%时,其单位产品成本相应降低5.3%。

(2)产品产量变动对产品成本升降趋势的影响

〔例〕某企业生产某种产品,有关资料如图表5-2所示。

图表5-2

本例中某产品不同产量水平下成本变动趋势如图表5-3所示:

图表5-3

从图表5-3可见,随着某产品生产数量的不断增长,总成本不断上升,单位产品成本不断下降。其中,总成本的上升趋势是基本稳定的,单位产品成本下降的趋势却有明显变化。这种变化的大体情况是:在产量增长的初始阶段,单位产品成本曲线下降的速度较快(幅度较大);而当产量增长到一定水平(图中50件)后,单位产品成本曲线下降的速度较慢(幅度较小)。这就是说,当产量处于较低水平时,因增加产量而导致的产品成本降低的可能性较大,效果较好;当产量处于较高水平时,增加产量虽然也可以使产品成本有所降低,但其降低幅度却很小,效果不明显。

2.产品质量

产品质量的变动是影响产品成本变动的重要因素。一般说来,产品质量变动对产品成本变动的影响,可以从产品质量等级系数和不同质量水平两个侧面进行说明。

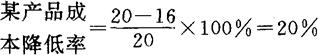
在产品生产过程中,即使采用同样的材料和加工手段,往往也会产生出不同质量等级的产品。所谓产品等级系数,就是指不同等级的产品统一换算为一等品的有效产量;等级系数越高,即意味着统一换算为一等品的有效产量越多,因而产品成本降低。

〔例〕某企业生产某种产品,有关资料如下:

本例中,某产品平均等级系数变动对其平均单位成本降低幅度的影响情况是:

上述影响结果,同按有关成本数据计算的结果是一致的,即:

计算结果表明,当该产品等级系数从0.4上升到0.5以后,其成本相应地降低20%。

3.产品质量水平变动对产品单位成本的影响

产品质量水平变动对产品成本的影响,通常是同产品产量相联系的,即某种产品在不同的产量和质量水平下,某成本水平也是不同的。

〔例〕某企业生产某种产品,有关资料如图表5-4所示。

图表5-4

本例中,该产品质量水平变动对产品成本变动的影响情况可计算如下:

首先,计算计划产量和实际产量折合一等品产量及其变动比率。

计划产量折合成一等品的产量为:

实际产量折合成一等品的产量为:

实际产量折合一等品产量比计划产量折合一等品产量增加比率为:

其次,计算计划产量和实际产量产品成本及其变动比率。

计划产量(折合一等品产量)下的产品成本为:

实际产量(折合一等品产量)下的产品成本为:

实际产量折合一等品产量产品成本比计划产量折合一等品产量产品成本降低比率为:

计算结果表明,当该产品质量水平提高而使实际产量折合一等品产量高于计划产量折合一等品产量14.3%时,其成本水平则相应地下降了22.2%。

4.产品技术经济指标

产品成本的变动,在很大程序上取决于有关经济技术指标(如成品率、原材料配比、加工时间、设备台时产量等)的变动。在产品实际生产过程中,有关经济技术指标变动对于产品成本变动的影响,是同产品产量的变动联系在一起的。这是因为,经济技术指标的某种变动,必然引起有关产品产量的相应增减;而产品产量的一定增减,又会促使产品成本发生相应的升降。为此,根据企业经营管理工作的需要。从经济技术指标同产量、成本之间的关联情况出发,有针对性地改良技术装备,改善工艺过程或采用新材料、新能源等等,就可以进一步增加产量、降低成本,不断提高经济效益。

现举例说明某项经济技术指标变动引起产品成本发生相应变动的具体情况。

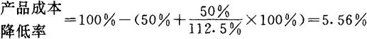
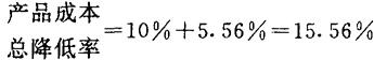
〔例〕某企业采用A种材料生产一种产品,有关资料如图表5-5所示,设材料耗费占总成本50%,其余耗费均为固定成本。

图表5-5

本例中,该产品计划成品率为80%,实际成品率为90%。由这项经济技术指标的变动所引起的产品成本的变动可计算如下:

首先,计算由于材料消耗节约而使产品成本下降的幅度。

其次,计算由于产品产量提高而使产品成本下降的幅度。

然后,计算由于成品率的提高而使产品下降的幅度。

某产品成品率提高后所带上来的产品成本降低幅度,也就是以上两步计算结果的综合,即:

计算结果表明,当该产品率由80%提高到90%时,其单位产品成本可随之降低15.56%。除上述各点外,材料及能源消耗、劳动生产率等的变动,也是影响产品成本变动的重要因素。因此,在预测企业未来一定期间有关产品成本增减变动时,必须用适当的方法确定它们对产品成本变动的影响程度,为正确地进行成本预测提供科学依据。

(三)历史成本法

历史成本法就是根据企业的历史成本数据,按照成本习性的原理,运用数学方法来预测成本变动的趋势。作为预测依据的历史成本数据一般不宜过早,过短,过早则对现时影响较少,过短又不能确定成本变动趋势,通常以最近几年的历史成本数据为宜。除此之外,还应注意剔除近几年来非正常因素的影响资料。

为了预测成本变动趋势,应设成本方程式,根据成本习性原理,成本方程式如下:

y=a+bx

其中:y为企业总成本

a为固定成本总额

bx为变动成本总额

通过上列成本方程式可见,预测成本的关键在于确定方程式中的a和b的值。

历史成本法一般包括高低点法、回归直线法和加权平均法。下面分述介绍:

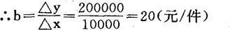
1.高低点法

在最近几年成本资料中,选取最高产量和最低产量对应求的总成本之差异额(△x)进行对比,以确定成本直线方程式的变动率(b),然后再计算出固定成本(a)。其具体步骤如下:

首先,依据历史资料,找出△y、x△

其次,求解变动率(b)

再次,根据成本方程式,计算固定成本(a)

a=y-bx

最后,列出成本直线方程式

y=a+bx

根据成本直线方程式,即可预测出计算期的总成本和单位产品成本。其计算公式如下:

预测总成本(yp)=a+bxp

预测单位成本()=

其中:xp为预测期产量

yp为预测期总成本

高低点法的特点是:简单、易行,但不适应于企业变动成本变动幅度较大时期(即误差大)

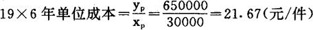
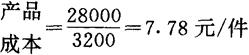
〔例〕A分司生产的甲产品,在过去五年中该厂最高产量是1991年,共生产甲产品20000件,总成本为450000元;产量最低是1993年,共生产甲产品10000件,总成本为250000元。如果1996年预计生产甲产品30000件,要求预测A公司1996年的总成本和单位成本。

解:根据上述资料可知

△x=20000-10000=10000(件)

△y=450000-250000=20000(元)

将b=30元代入高点成本方程式,则a=y-bx=450000-20×20000=50000(元)

将a、b值代入成本方程式可得其成本趋势直线

y=50000+20x

又∵xp=30000件

∴19×6年产品总成本(yp)=a+bxp=50000+20×30000=65000(元)

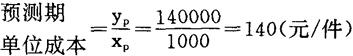
2.回归直线法

前面已讲述,回归直线法就是应用数学上最小平方的原理,来确定y=a+bx直线方程式中x和y之间误差平方和最小的一条直线的方法。其计算公式如下:

回归直线法适用于企业过去成本资料中,成本变化较大的情况,但其计算较繁琐。

〔例〕某公司生产A产品,其1991~1998年产量和单位成本资料如图表5-6所示

图表5-6

如果该公司19×6年预计产量1000台,问该企业19×6年总成本及单位成本各为多少。

解:根据图表5-6资料,依据前述回归直线法公式要求进行加工,形成图表5-7。

图表5-7

将有关数据代入前述公式

把a、b代入总成本公式:

y=40000+10x

∴预测期19×6年

总成本=a+bxp=40000+1000×100+=14000(元)

3.加权平均法

加权平均法是指根据过去几期的成本资料,按距离预测期的远近分别进行加权,来预测未来成本变动的方法。加权平均法的权数设定,一般应遵循距离预测期越近(对预测期影响),其权数就越大,反之,则距离预测期越远,权数越小的原则。在设加权权数时,为了计算方便,可使权数之和等于1(设权数用W表示,则∑w=1)。

采用加权平均法进行成本预测的计算公式如下:

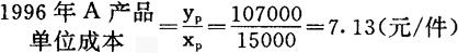
〔例〕某企业有关A产品成本资料如图表5-8所示:

图表5-8 单位:元

若19×6年该企业预计生产A产品15000件,问:采用加权平均法预测19×6年的总成本和单位成本各是多少?

解:设各期的权数并将图表5-8加工到图表5-9。

图表5-9

将上表加权后的固定成本和单位变动成本代入公式;则1996年A产品=∑aw+∑bw·xp=11000+6.4×15000=107000(元)

若不设权数之和为1,则上述可变为:

仍以本题例资料,将19×2年至19×4年成本的权数分别改为1,2,3,4,预测结果相同

随便看

 

离鸟网收录3541549条中英文词条,其功能与新华字典、现代汉语词典、牛津高阶英汉词典等各类中英文词典类似,基本涵盖了全部常用中英文字词句的读音、释义及用法,是语言学习和写作的有利工具。

 

Copyright © 2004-2024 vtrois.com All Rights Reserved
更新时间:2026/5/28 16:20:53