网站首页  词典首页


请输入您要查询的字词:

 

字词 打叶复烤厂工艺设计
类别 中英文字词句释义及详细解析
释义

打叶复烤厂工艺设计


(一)工艺设计原则

(1)打叶复烤厂工艺设计一般包括原烟仓库、打叶复烤车间、检测试验室、成品仓库等工艺部分。

(2)工艺设计必须按照主管部门批准的生产规模进行,复烤烟叶必须符合有关标准的规定。

(3)工艺流程在保证产品质量的前提下尽量减少物耗与能耗,提高效率。其技术经济指标应不低于同期同类企业的平均水平。工艺设备选型应贯彻主管部门的技术装备政策。

其余可参照卷烟厂工艺设计原则执行。

(二)生产规模与产品方案

1.生产规模

打叶复烤厂生产规模一般都由上级主管部门下达,并不得扩大规模。在做新建项目时,可根据当地烟叶资源及销售市场,在项目建议书和可行性研究报告中提出建议的生产规模报请上级机关批准。设计单位需根据批准的规模设计。一般为年产1.5万t及3万t两种,其配套的生产线分别为6000kg/h和12000kg/h。

2.产品方案

打叶复烤厂产品为烟片、烟梗和碎片。烟片约为72%,烟梗约为25%,碎片小于3%。随烟叶的等级和产地而略有差异。

(三)选叶车间

(1)原烟选叶车间的任务是:根据来料烟叶的等级混杂程度,严格选把分级同时将霉变、水渍、虫斑、不符合等级的烟叶以及烟叶中的麻绳和其他杂草异物拣出,以保证烟叶等级及纯净度。

(2)原烟含水率在18%左右且气温较高时,可直接进入选叶车间选叶。但烤季后期原烟含水率较低,或有结饼现象时,应经真空回潮工序增加含水率和温度并使结块烟叶松散方能进入选叶工序。

(3)真空回潮机宜布置在选叶车间内,布置在打叶复烤车间时应留有足够的烟包周转场地。

(4)选叶车间应尽量靠近打叶复烤主车间,以减少物料输送距离。

(5)选叶车间应具有良好自然采光和通风条件,常用单层结构以减少原料的上下输送。

(6)选叶车间的面积与原烟混级程度及挑选质量要求有关。建议年产1.5万t打叶复烤厂选叶车间面积≥1500m2,3万t规模的打叶复烤厂选叶车间面积≥3000m2

(四)打叶复烤车间

1.一般原则

(1)打叶复烤车间主要由真空回潮、烟叶预处理、梗叶分离、叶片与烟梗复烤及预压打包等工段组成。

(2)把烟包预回潮宜采用真空回潮机、严寒地区烟包在真空回潮前可设置预回潮间,预回潮时间约为2~3d。

(3)打叶复烤设备优先选用系列化国产打叶复烤成套设备,也可按工段优化组合配套选用。辅机及连接设备应与主机协调配套。

(4)打叶复烤车间工艺布置应符合生产工艺要求,流程先进合理;人流物流畅通,操作维修安全方便。生产管理具有较好的调度性和适应能力。

(5)打叶工序至复烤工序之间宜设配叶贮叶工序,缓冲时间一般为0.5~1h,确保进入复烤机的叶片流量连续稳定和配叶打叶时产品质量的一致性。

(6)打叶复烤车间厂房宜为单层结构;采用双层结构厂房时,可将预回潮、打叶机和预压打包工段布置在底层,贮叶和复烤工段布置在二层。这样可利用高差直接向预压机喂料,缩短烤后叶片输送距离,减少水分散失。

(7)打叶复烤车间内应设置机修、电修、备件等辅房,以随时维护和检修生产设备,确保设备正常运转。

(8)打叶复烤厂产品包装规格见第七篇第一章。

2.产品质量指标

打叶复烤的产品质量指标与烟叶原料的等级、产地以及与采用的工艺设备密切相关。一般产品质量指标见第七篇第一章。

3.生产组织

(1)我国几个地区烟叶收购和复烤生产期见表10-2-1。

表10-2-1 我国各地区烟叶复烤生产季节

(2)生产班次。烟叶复烤厂为季节性生产,日生产班次取决于原料收购量及贮存条件。一般在烟叶收购前期与后期为一班(或两班),收购旺季为三班。

(3)日有效生产时间。打叶复烤设备生产准备和终结时间较长,叶片复烤机从室温预热到正常的生产温度约需15~20min。建议的计算工作时间为:

1班制净工作时间7.5h

2班制净工作时间15h

3班制净工作时间22.5h

(4)设备有效作业率。参考卷烟工厂设计规范,并根据打叶复烤的特点,建议如下:

打叶工段:75%~80%。

复烤工段:80%~85%。

预压打包工段:80%~85%。

4.工艺流程

打叶复烤工艺流程主要包括:打前预处理、梗叶分离、叶片复烤、预压打包及碎片处理等工段组成。打叶复烤工艺流程见图10-2-1所示。

图10-2-1 打叶复烤生产线工艺流程图

(1)铺叶解把。人工将烟把均匀摆放在铺叶台上,要求摆放整齐不重叠,以提高解把率。切尖打叶工艺摆把时还应注意控制切尖比例。

切尖打叶与全叶打叶相比较大片率较高(如切尖量为20%,合格片率将比全叶打叶提高约5%),损耗有所减少(如切尖量为20%,叶片总损耗可减少0.6%左右),可减轻打叶工段负荷约20%。但切尖打叶耗用较多人工进行铺叶(6000kg/h生产线约用24个工人),且人为因素影响较大,不利于质量稳定,不利全线的机械化操作。

(2)一次润叶或二次润叶。打叶前是采用一次润叶还是二次润叶,应根据烟叶原料的形式和特性来确定。

①原烟不扎把(部分白肋烟例外),烟叶基本自然松散,通过一次润叶即可满足打叶工序要求。

②原烟为把烟,需通过两次润叶使烟把松散,使含水率与温度均匀,达到打叶工艺要求。目前打叶复烤工艺一般都采用二次润叶工艺。

(3)筛沙。筛除烟叶表面沉积的沙土及≤12.5mm2的碎叶,以减少打叶机的磨损和烟叶造碎。碎片集中送至碎片处理线进一步处理。

(4)选叶。根据来料烟叶的等级混杂程度和产品质量的要求,确定是否设置选叶工序。选叶台位的数量,可按300kg/台位配量,在加工出口烟片时,一般均应通过选叶工序。

(5)流量控制。二润前设定量喂料机、计量管和皮带秤组成的流量控制。以保证打叶前烟叶流量均匀及润后含水率与温度稳定。

(6)金属探测。润后烟叶进入打叶工序之前需通过金属探测器以剔除烟叶中的金属杂物,确保打叶机安全。

(7)打叶。要求来料流量均匀,温度、水分稳定,在保证打叶工艺技术条件的情况下,不同型号打叶机的质量指标见工艺规范。

(8)叶片复烤。烤机前设有刮板喂料机及上网喂料机以保证叶片均匀铺在烤机网带上,铺网厚度一般为100mm左右,叶片在烤机内经干燥、冷却、回潮至规定的含水率。

烤前叶片含水率:18%~20%。

冷房叶片含水率:8%~10%。

烤后叶片含水率:12%~13%。

干燥区最高温度:≤120℃。

烤后叶片温度:<60℃。

烤后叶片的含水率和温度要根据打包时的实测含水率和温度进行调整。

(9)质量控制。烤后叶片由输送带送入预压机,叶片质量的控制由皮带秤或由安装在料仓下的4个传感器完成。当输入的叶片量达规定的质量时,输送带转向另一压头料箱喂料,双联式预压机两压头交替工作。

(10)预压。烤后的烟片比较松散,自然堆积体积大,需设置预压成型工序将叶片预先压缩成一定体积的烟坯,然后进行包装。

(11)复秤。预压后的烟坯由轨道小车自动送到复秤台上复秤,以确保包装重量达到规定要求。

(12)打包。复秤后的烟箱进入打包机,自动捆扎。

(13)凉包。打包后烟片温度较高,需送至凉包库暂存,使烟包温度降至接近室温。当包内温度控制在44℃以下,箱装烟叶用托架贮存的条件下,可以不凉包。

(14)烟梗干燥。烟梗输送到烤前贮梗喂料机上,定量输送到烤梗机网带上均匀铺开,烘烤温度≤120℃,使烤后烟梗含水率应在11%~14%之间。

(15)碎片处理。从各工序收集的碎片,均送至碎片处理工序集中分类,在风分清除灰沙与尘土的基础上,通过筛分,一部分带叶梗送至打叶去梗工序,>6mm2碎片送至叶片复烤工序前,≤6mm2碎片经烟末干燥工序使含水率达到12%左右,筛分出≥3mm2碎片送至叶片复烤工序后,其余3mm2以下烟末单独包装贮存。

5.打叶复烤生产线工序流量衡算

例:

设计一个年产为3万t的打叶复烤厂,计算打叶复烤生产线各工序流量。

(1)打叶复烤生产线每1h投料量。生产规模3万t/年的打叶复烤厂,一般配套的打叶复烤生产线设备加工能力为12000kg/h。即每小时投料量为:12000kg/h。

(2)计算各工序流量。计算各工序流量的公式为:

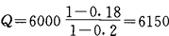
例:在铺叶解把工序烟叶的含水率为18%,投料量为6000kg/h,一润后的含水率为20%,求一次润叶工序流量Q,以kg/h表示?

按上述方法测算打叶复烤生产线各工序流量。12000kg/h打叶复烤生产线工序流量衡算见图10-2-2所示。

图10-2-2 12000kg/h打叶复烤线工序流量衡算图

注:该衡算以中三原烟为例,全梗率25%。

6.车间电控

根据车间工艺流程要求和设备的装备水平,确定全线的控制水平和档次,一般采用分段集中控制方式。采用中心控制上位机监控管理系统时,一般采用L2中速网络。其控制段划分为:

(1)真空回潮段。

控制范围:真空回潮设备

控制要求:手动/半自动/自动完成烟包回潮过程。自动和半自动操作时,可预置回潮条件,实现回潮质量指标。

(2)打叶前预处理段。

控制范围:解把铺叶台到打前刮板喂料输送带。

控制要求:自动/手动操作。二润设置独立电控柜。为保证打叶质量,在二润前设置控制含水率(进行前馈控制)在二润后设置红外水分仪探头和温度探头,以保证物料流量、含水率及温度能满足打叶要求。

(3)打叶线控制段。

控制要求:自动/手动操作。按程序控制开机与停机;打前设金属探测并自动剔除物料中的金属杂物;自动均匀喂料。

(4)叶片复烤控制段。

控制范围:贮叶工序到叶片复烤出料。

控制要求:自动/手动完成叶片输送、贮存和烘烤。在干燥段设温度检测控制系统,在烤片机出口设水分仪,保证烤后叶片的温度和含水率符合包装要求。

(5)烟梗复烤控制段。

控制范围:烟梗输送设备、烟梗复烤机及其输送与打包设备。

控制要求;自动/手动操作完成烟梗烘烤。长、短梗筛选输送和打包。

(6)预压打包控制段。

控制范围:烤后叶片的输送、预压打包和输送辊道设备。

控制要求:自动/手动完成预压打包全过程。皮带秤或静态秤保证预压机批量喂料误差为±0.5%,电子复秤保证烟包净重偏差在规定范围内。

(7)碎片处理控制段。

控制范围:碎片处理设备、碎片输送设备、碎片干燥及碎片包装。

控制要求:自动/手动操作完成碎叶分离输送、干燥及包装。

(8)除尘系统控制段。

控制范围:各风送、风分除尘系统。

控制要求;自动/手动操作完成打叶风分、梗风送、碎片处理过程的除尘。

7.质量检测

打叶复烤车间应设置独立的质量检测室,配备必要的检测仪器,检测各工序在制品及成品的质量指标,保证产品质量。

(1)质量检测的任务。

①检测原料以及各工序物料含水率。并反馈指导生产。

②检测打叶前烟叶温度复烤各段气流温度,打包后包心温度。

③检测叶尖含梗率及时调整切尖比例至规定指标。

④检查打叶质量和成品质量,包括叶中含梗,梗中含叶,叶片尺寸规格,叶片和烟梗含水率等。

⑤检查复烤叶片是否有“烤红”与“潮红”现象;检查烟包质量偏差。

⑥定时(每天一次)对电子皮带秤及水分仪进行校核。

⑦保管成品叶片样品。

⑧定期检查烟叶虫害(烟虫)。

(2)对质量检测的要求。

①质量检测室对车间操作人员应有必要的监督作用,应配备完善的检测设备和仪器。

②必须采用标准的检测方法。

③规范检测制度,确保检测频度,一般1~2h必须检测一次。

④检测数据记录要完整规范,并有检测人员签名。

⑤质量检测人员应及时将各工序的检测结果予以通报或公布,并按照工艺规程提出改进措施。

(3)检测室仪器配备。

质量检测室配备主要的仪器见表10-2-2。

表10-2-2 打叶复烤车间检测仪器设备明细表

8.打叶复烤成套设备能量消耗

打叶复烤成套设备的水、电、汽消耗见表10-2-3

表10-2-3 打叶复烤成套设备水、电、汽消耗表

随便看

 

离鸟网收录3541549条中英文词条,其功能与新华字典、现代汉语词典、牛津高阶英汉词典等各类中英文词典类似,基本涵盖了全部常用中英文字词句的读音、释义及用法,是语言学习和写作的有利工具。

 

Copyright © 2004-2024 vtrois.com All Rights Reserved
更新时间:2026/4/8 15:06:15