网站首页  词典首页


请输入您要查询的字词:

 

字词 打桩工程
类别 中英文字词句释义及详细解析
释义

打桩工程


每个单位工程的打桩数量,在表2-5规定数量以内的为小型数量,其人工和机械用量按相应定额乘以系数1.25计算。

表2-5 打桩工程量表

打桩工程量计算如下:

①打预制钢筋混凝土方桩 预制桩的体积,按设计全长,包括桩尖不扣减桩尖虚体积乘以截面面积计算。

V=a·b·L=截面面积×全长(包括桩尖长)

〔计算例〕 打预制钢筋混凝土方桩截面面积30×30厘米,设计全长6米,求单桩体积。

V=0.30×0.30×6=0.54m3

②预制钢筋混凝土离心管桩 管桩部分的空心体积应扣除,如管桩空心部分,按设计要求加注混凝土或其他填充料时,应另行计算。计算公式为:

预制桩尖体积

总体积ΣV=V1+V2

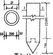
〔计算例〕 打预制钢筋混凝土离心管桩,桩全长为12.50米,外径30厘米,其截面面积见图2-13,求单桩体积。

图2-13

③送桩 按桩截面面积乘以被送桩的长度(即打桩架度至桩顶面高度或自桩顶至自然地坪另加50厘米)计算。

计算公式为:V=桩截面面积×(送桩长度+0.50)

④现场灌注混凝土桩 单桩的体积,按设计规定的桩长包括桩尖(不扣减虚体积)增加0.25乘以钢管外径截面面积计算。

灌注混凝土桩,设计直径与钢管外径的选用表(见表2-6)

表2-6 灌注桩设计直径与钢管外径的选用表

计算公式为

式中 D-钢管外径;

L-桩全长(包括桩尖);

〔计算例〕 现场灌注混凝土桩,设计全长3米,直径30厘米,求单桩体积。

图2-14

⑤灌注砂桩 现场灌注砂桩,其工程量计算方法,同混凝土灌注桩。但灌注砂量是控制砂桩施工质量的重要指标,其

计算公式为

式中 Q-灌注砂量(t);

D-桩管外径(m);

L′-桩管注入土深度(m);

r-砂在中密状态或设计要求干容重,一般取1.60t/m3

⑥混凝土爆扩桩 混凝土爆扩灌注桩是由桩柱和扩大头两部分组成,常用的形式如图2-15所示,其计算公式为:

图2-15

式中 A-为桩管截面面积;

L-为桩全长(包括球直径长);

L′-承台梁下表面至球体中心长;

D-球体直径;

d-管直径。

〔计算例〕 设爆扩桩全长5米,柱管径300毫米,球体直径1米,求混凝土体积。

解:先求出A=0.302×0.7854=0.070686

⑦螺旋钻孔灌注桩 按设计规定的桩长包括钻头(不扣减虚体积)增加0.25米以钻杆螺旋外径截面面积计算。其计算公式为:

V-钻杆外径截面面积×(设计桩长+0.25)(m3)

⑧木板桩 按设计长度乘以截面面积(净面积)以立方米计算(参见木板方材延长米和立方米换算表)。

⑨圆木桩 按设计桩长和梢径(小头直径)计算(参见原木材积表)。

⑩钢制桩 按设计以吨为单位计算,分别钢材种类、型号和长度折成重量计算(见表2-7)。

表2-7 打单独工字钢桩重量参考表

注:(1)表中重量已包括损耗用量。

(2)表中未包括桩重、应另行计算。

随便看

 

离鸟网收录3541549条中英文词条,其功能与新华字典、现代汉语词典、牛津高阶英汉词典等各类中英文词典类似,基本涵盖了全部常用中英文字词句的读音、释义及用法,是语言学习和写作的有利工具。

 

Copyright © 2004-2024 vtrois.com All Rights Reserved
更新时间:2026/4/8 5:48:19