网站首页  词典首页


请输入您要查询的字词:

 

字词 抗坏血酸(维生素C)
类别 中英文字词句释义及详细解析
释义

抗坏血酸(维生素C)


化学名:L-2,3,5,6-四羟基-2-己烯酸-y-内酯

结构式

分子式:C6H8O6

相对分子质量:176.13

一、抗坏血酸的鉴别

1.试剂和溶液

1.1 亚甲蓝溶液 5g/L乙醇溶液。

1.2 活性炭。

1.3 吡咯。

1.4 三氯乙酸溶液 取三氯乙酸5g,加水至100mL使溶解。

1.5 硝酸银试液 取硝酸银,按照GB603配制成0.1mol/L的溶液。

2.操作步骤

2.1 取本品溶液5mL(ρ=20mg/mL),加硝酸银试液0.5mL,即生成银的黑色沉淀。

2.2 取本品溶液2mL(ρ=20mg/mL),加亚甲蓝溶液4滴,加热至40℃,3min内其深蓝色基本褪色。

2.3 称取样品15mg,溶于15mL三氯乙酸溶液中,加200mg活性炭,猛烈振荡1min,反复过滤至澄清,在5mL溶液中加吡咯1mL,振摇使之溶解,水溶液加热至50℃,即产生蓝色。

二、抗坏血酸的定量

1.试剂和溶液

1.1 稀硫酸溶液 100g/L溶液。

1.2 0.1mol/L碘标准滴定溶液 称取碘适量,按照GB601中规定的方法配制与标定。

1.3 淀粉指示液 取淀粉适量,按照GB603中规定的方法制备。

2.测定方法

称取样品约0.2g(准确至0.0002g),置于100mL碘量瓶中,加新沸过的冷水20mL及稀硫酸溶液25mL,使溶解后,立即用0.1mol/L(I2)标准滴定溶液滴定,近终点时,加淀粉指示液1mL,滴至溶液显蓝色在30s内不褪色。

3.分析结果的表述

抗坏血酸含量w以质量分数表示,按式(2-23)计算:

式中 V——样品消耗碘标准滴定溶液的体积,mL

c——碘标准滴定溶液的浓度,mol/L

m——样品质量,g

0.08806——每毫摩C6H8O6的质量,g/mmol

所得结果表示至1位小数。

4.允许差

本方法二次平行测定的允许相对差在0.3%以内。

三、食品中抗坏血酸的含量测定

(一)高压液相色谱法

1.试剂和溶液

1.1 乙腈 色谱纯。

1.2 高氯酸 特级。

1.3 乙酸钠 特级。

1.4 磷酸 特级。

1.5 磷酸二氢钾 特级。

1.6 标准液的制备 准确称取10mg抗坏血酸,放入100mL棕色容量瓶中,加入2%偏磷酸至刻度,作为标准液(此液1mL含抗坏血酸100μg)。准确吸取标准液1mL、2mL、3mL、4mL、5mL,分别放入10mL棕色容量瓶中,各加2%偏磷酸溶液成10mL,作为标准曲线用标准液(此液分别含有抗坏血酸10μg/mL、20μg/mL、30μg/mL、40μg/mL、50μg/mL)。

2.样品溶液的制备

2.1 液体和半固体食品 准确称取相当抗坏血酸1~5mg的样品约10g,放入100mL棕色容量瓶中,加入与样品等量的4%偏磷酸溶液后,再加2%偏磷酸溶液至刻度,然后用0.45μm滤膜过滤器过滤,将滤液作为样品溶液A。

2.2 粉状和固体食品 准确称取相当抗坏血酸1~5mg的样品约5g,放入100mL棕色容量瓶中,加2%偏磷酸溶液60~70mL成悬浊液。然后于冰水中冷却,用超声波振荡30min。再向此液中加入1mL高氯酸,用滤纸过滤,残渣每次用10mL2%偏磷酸溶液冲洗,共洗2次,合并滤液及洗液,再加2%偏磷酸溶液至100mL。此液用0.45μm滤膜过滤器过滤,作为样品溶液A。

2.3 样品溶液的制备 准确吸取10mL样品溶液A,放入20mL棕色容量瓶中,用乙酸钠溶液(1mol/L)调节pH为4~4.5,由基普装置通入硫化氢约20min,用0.45μm滤膜过滤器过滤,加水至20mL。此液作为样品溶液B。

3.测定方法

3.1 测定条件 采用具有紫外分光检测器的高压液相色谱仪,按以下条件进行测定:

填充剂:化学结合型硅胶

柱:内径4.5mm、长250mm

柱温:50℃

洗脱液:0.025mol/L磷酸二氢钾∶乙腈(1∶1)

流速:1.0mL/min

测定波长:254nm

进样量:10μL

3.2 标准曲线 分别准确吸取不同浓度标准曲线用标准液10μL,注入高压液相色谱仪中,以所得到的峰高绘制成标准曲线。

4.分析结果的表述

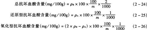
分别准确吸取样品溶液A和B溶液各10μL,注入高压液相色谱仪中,所得峰高从标准曲线中求出样品溶液中的抗坏血酸的浓度(μg/mL)。根据下式计算样品中的各种抗坏血酸的含量。

式中 ρA——样品溶液A中抗坏血酸的浓度,μg/mL

ρB——样品溶液B中抗坏血酸的浓度,μg/mL

m——取样质量,g

(二)2,6-二氯酚靛酚滴定法

1.原理

还原型抗坏血酸能还原2,6-二氯酚靛酚染料。该染料在酸性溶液中呈红色,被还原后红色消失。还原型抗坏血酸还原染料后,本身被氧化为脱氢抗坏血酸。在没有杂质干扰时,-定量的样品提取液还原标准染料液的量与样品中所含抗坏血酸的量成正比。反应式见下页。

2.试剂和溶液

2.1 2%草酸溶液 溶解20g草酸结晶于700mL水中,然后稀释至1000mL。

2.2 1%草酸溶液 取(二)2.1.1中2%草酸溶液500mL,用水稀释至1000mL。

2.3 抗坏血酸标准溶液 准确称取20mg抗坏血酸,溶于1%草酸,溶液中,移入100mL容量瓶中,并用1%草酸溶液稀释至100mL。混匀,置冰箱中保存。

使用时吸取上述抗坏血酸5mL于50mL容量瓶中,用1%草酸溶液定容。此标准使用液每毫升含0.02mg抗坏血酸。

2.4 2,6-二氯酚靛酚溶液称取碳酸氢钠52mg,溶解于200mL沸水中。然后称取2,6-二氯酚靛酚50mg,溶于上述碳酸氢钠溶液中,待冷,置冰箱中过夜。次日过滤于250mL容量瓶中,用水稀释至刻度,摇匀。此液应贮于棕色瓶中并冷藏。每星期至少标定1次。

标定方法:取5mL已知浓度的抗坏血酸标准溶液,加入1%草酸溶液50mL,摇匀,用上述配制的染料溶液滴定至溶液呈粉红色,15s不褪色为止。计算如下:

式中 c——抗坏血酸的浓度,mg/mL

V1——抗坏血酸的量,mL

V2——消耗染料溶液的量,mL

3.测定方法

3.1 称取适量(50~100g)样品,加等量的2%草酸溶液,倒入组织捣碎机中捣成匀浆。称取10~30g浆状样品(使其含有抗坏血酸1~5mg)于小烧杯,用1%草酸溶液将样品移入100mL容量瓶中,并稀释至刻度,摇匀。

3.2 将样液过滤,弃去最初数毫升溶液。若样液有色,用白陶土去色,然后迅速吸取5~10mL滤液于50mL三角烧瓶中,用标定过的2,6-二氯酚靛酚染料溶液滴定,直至溶液呈粉红色,15s不褪色为止。

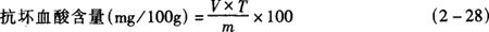
4.分析结果的表述

式中 V——滴定时所耗去染料溶液的体积,mL

T——1mL染料溶液相当于抗坏血酸标准溶液的量,mL

m——滴定时所取溶液中样品质量,g

(三)2,4-二硝基苯肼法

1.原理

用酸处理过的活性炭把还原型抗坏血酸氧化为脱氢型抗坏血酸,再继续氧化为二酮古乐糖酸。二酮古乐糖酸与2,4-二硝基苯肼偶联生成红色的脎。其呈色的强度与二酮古乐糖酸浓度成正比,可以比色定量。

2.试剂和溶液

2.1 1%草酸溶液。

2.2 2%草酸溶液。

2.3 酸处理过的活性炭 取200g活性炭,加入10%盐酸1000mL,煮沸后,抽气过滤,再用沸水1000mL煮沸过滤,重复用水洗至滤液中无高价铁离子(即用1%硫氰化钾溶液试验不呈红色为止),放在100~120℃烘干。

2.4 2%2,4-二硝基苯肼溶液 取2g2,4-二硝基苯肼,溶于100mL9mol/L(H2SO4)中。

2.5 9mol/L(H2SO4)溶液 量取浓硫酸250mL,慢慢地倒入750mL水中,边加边搅拌。

2.6 10%硫脲溶液 称取5g硫脲,溶于50mL50%酒精中。

2.7 85%硫酸溶液 取90mL浓硫酸,慢慢地倒入10mL水中。

2.8 标准抗坏血酸溶液 准确称取20mg抗坏血酸,溶于1%草酸中,稀释至100mL。吸取此液50mL,加入0.1g活性炭,摇1min,过滤。

吸取上述滤液5mL,用1%草酸稀释至100mL(此标准使用液含抗坏血酸10μg/mL)。

3.操作步骤

3.1 样品的处理和分析 称取适量样品加等量的2%草酸溶液,于组织捣碎机中打成匀浆。取匀浆20g,用1%草酸稀释至100mL,摇匀,过滤。

取滤液10mL,加入1%草酸10mL(取滤液的量视抗坏血酸含量而定,一般控制抗坏血酸的浓度为1~10μg/mL),加一匙活性炭,摇1min,静置过滤。

各取滤液2mL于样品管和样品空白管中,各管加入1滴硫脲溶液,于样品管中加入2,4-二硝基苯肼0.5mL,样品管、样品空白管加盖,置于37℃保温箱中保温3h。然后,取出样品管放入冰水中。样品空白管取出后冷至室温,然后在样品空白管中加入2,4-二硝基苯肼0.5mL。样品管和样品空白管置于冰浴中,从滴定管中滴加85%硫酸2mL于各管中,边滴边摇试管(为防止溶液温度升高使溶液中糖炭化而转黑色)。

将各管于冰浴中取出,在室温下放置30min后,立即在分光光度计540nm波长下,读取吸光度。根据测得的吸光度,从标准曲线查出相应的含量。

3.2 标准曲线的绘制 吸取抗坏血酸标准工作液10mL、20mL、30mL、40mL、50mL,稀释至50mL。此标准液含有抗坏血酸2μg/mL、4μg/mL、6μg/mL、8μg/mL、10μg/mL。

各取2mL于各标准管中,加硫脲溶液1滴和2,4-二硝基苯肼溶液0.5mL,置各管于37℃保温箱中保温3~4h。取出,放在冰浴中,于各管中滴加85%硫酸2.5mL,边滴边摇试管。然后取出,放置30min,于分光光度计540nm波长下测定吸光度。根据测得的吸光度绘制标准曲线。

在测定同时作一试剂空白,于一试剂空白管中加入1%草酸溶液2mL,以下操作同标准管。

4.分析结果的表述

式中 m1——相当于标准溶液的量,mg

m——测定时所取样品溶液相当于样品的质量,g

(四)荧光测定法

1.原理

本法适用于果汁中抗坏血酸的测定。将抗坏血酸氧化为顺式-抗坏血酸,然后与邻苯二胺结合生成一种荧光化合物。在标准情况下加催化剂炭,使样品脱水并促使反应更趋完全。向系统中供给足够的氧是必要的。反应式如下:

2.试剂和溶液

2.1 硼酸-醋酸钠溶液 1g硼酸,加30~35mL醋酸钠溶液,加水搅拌成1L。

2.2 醋酸钠溶液 500g醋酸钠稀释至1000mL。

2.3 邻苯二胺溶液 称取20mg邻苯二胺二盐酸化物,溶于100mL水中。

2.4 偏磷酸-醋酸溶液 称取30g偏磷酸(HPO3)溶于80mL冰醋酸中,加500mL水,混匀,并稀释至1000mL。

2.5 偏磷酸-醋酸-硫酸液 称取30g偏磷酸,溶于80mL冰醋酸中,用0.03mol/L(H2SO4)稀释至1000mL。

2.6 百里酚蓝指示剂 称取0.1g百里酚蓝,加0.02mol/LNaOH溶液0.75mL,用水稀释至200mL(pH1.2时呈红色,pH2.8时呈黄色,pH4及pH4以上时呈蓝色)。

2.7 0.02mol/LNaOH溶液。

2.8 活性炭 加10%盐酸1000mL于200g活性炭中,加热至沸,过滤,加1000mL水搅拌过滤,反复处理后120℃烘干。

2.9 10%盐酸溶液。

2.10 抗坏血酸标准溶液 称取50mg抗坏血酸,用偏磷酸-醋酸溶液溶解并定容至50mL。此液含抗坏血酸1mg/mL。吸取此液10mL,用偏磷酸-醋酸溶液稀释至100mL。此标准工作液含抗坏血酸100mg/mL。

3.仪器

3.1 荧光分光光度计,具有350nm和430nm波长。

3.2 旋转式混合机。

4.操作步骤

4.1 吸取样品液10mL于100mL容量瓶中,加1滴百里酚蓝指示剂。若变红色,则用偏磷酸-醋酸溶液稀释至刻度;若变黄色或蓝色,则用偏磷酸-醋酸-硫酸溶液稀释至刻度。

4.2 取2个250mL锥形瓶,各放入2g酸洗过的活性炭。一个瓶标记为S,放标准液用;另一个瓶标记为J,放样品液用。

4.3 取100mL抗坏血酸标准工作液于S锥形瓶中;取100mL稀释的样品液于J锥形瓶中。两瓶分别摇匀,并用滤纸过滤,弃去初滤液4~5mL,各收集10~15mL滤液备用。

4.4 吸取5mL刚滤得的抗坏血酸标准溶液于100mL容量瓶中,标记为“标准空白”;吸取5mL刚滤得的样品溶液于另一个100mL容量瓶中,标记为“样品空白”。两容量瓶中各加入5mL硼酸-醋酸钠溶液(少许未溶解的硼酸也无妨),用水稀释至刻度,摇匀。

4.5 吸取5mL滤得的抗坏血酸标准液于100mL容量瓶中,标记为“标准”;吸取5mL滤得的样品液于另一个100mL容量瓶中,标记为“样品”。两容量瓶中各加入5mL醋酸钠溶液,用水稀释至刻度,摇匀。

4.6 将12支试管放于试管架上,按下述的量各制备双份:

4.6.1 0.75mL“标准液”+1.3mL水,抗坏血酸浓度为1.75μg/mL。

4.6.2 1.4mL“标准液”+0.6mL水,抗坏血酸浓度为3.59μg/mL。

4.6.3 2mL“标准液”,抗坏血酸浓度为5μg/mL。

4.6.4 2mL“样品液”。

4.6.5 2mL“标准空白液”。

4.6.6 2mL“样品空白液”。

在暗室或避光条件下,迅速而准确地向管中加入5mL邻苯二胺溶液。加塞,旋转混合。在橱中避光反应约35min。

4.7 调整荧光计的激发波长为350nm,荧光波长为430nm。

4.8 将溶液C放入仪器,并调节读数100%激发。

4.9 测量每一制备溶液的相对荧光强度,并用溶液A、B、C的读数减去E的读数的平均值制作标准曲线。

4.10 从溶液F减去D的相对荧光强度,从标准曲线中求得样品溶液的抗坏血酸浓度(μg/mL),并根据样品溶液的体积和稀释率计算样品中抗坏血酸的含量。

随便看

 

离鸟网收录3541549条中英文词条,其功能与新华字典、现代汉语词典、牛津高阶英汉词典等各类中英文词典类似,基本涵盖了全部常用中英文字词句的读音、释义及用法,是语言学习和写作的有利工具。

 

Copyright © 2004-2024 vtrois.com All Rights Reserved
更新时间:2026/4/6 18:32:40