网站首页  词典首页


请输入您要查询的字词:

 

字词 抗氧化剂的测定
类别 中英文字词句释义及详细解析
释义

抗氧化剂的测定


(一)没食子酸丙酯(PG)的测定

1.原理

样品经石油醚提取后再用乙酸铵萃取后,没食子酸丙酯(PG)与亚铁酒石酸盐反应生成紫红色的化合物,在波长540nm处测定吸光度,与标准系列对照后定量。本法适用于油脂中没食子酸丙酯(PG)的测定。

2.试剂

(1)石油醚 沸程30~60℃。

(2)乙酸铵 10%及1.67%乙酸铵水溶液。

(3)显色剂 (酒石酸亚铁盐溶液)称取0.100g硫酸亚铁(FeSO4·7H2O)和0.500g酒石酸钾钠(NaKC4H4O6·4H2O),加水溶解,稀释至100mL。临用时配制。

(4)PG标准溶液 精密称取50mg没食子酸丙酯(PG)溶于水中,并用水稀释至1000mL。此溶液每毫升相当于50μg没食子酸丙酯(PG)。

3.仪器

分光光度计。

4.操作方法

(1)样品处理:称取10g样品,用100mL石油醚溶解,移入250mL分液漏斗中,加20mL1.67%乙酸铵溶液振荡2min,静置分层,将水层放入125mL分液漏斗中(如乳化,连同乳化层一起放下),石油醚再用1.67%乙酸铵溶液重复抽取2次,每次20mL,合并水层。石油醚层用水振摇洗涤2次,每次15mL,水洗液并入同一125mL分液漏斗中,振摇,静置。将水层通过干燥滤纸,滤入100mL容量瓶中,用少量水洗涤滤纸,加入10%乙酸铵溶液2.5mL,加水至刻度,摇匀。将此溶液用滤纸过滤,弃去初滤液20mL,收集滤液供比色测定用。

(2)测定:精密吸取20mL上述样品提取液于25mL具塞比色管中,加入1mL显色剂,加4mL水,摇匀。

另精密吸取0.0、1.0、2.0、3.0、4.0、6.0、8.0、10mL PG标准溶液(相当于0.0、50、100、200、300、400、500μg PG),分别置于25mL带塞比色管中,加入10%乙酸铵溶液2.5mL,准确加水至24mL,加入1mL显色剂,摇匀。

用1cm比色皿,以零管调节零点,在波长540nm处测定吸光度,绘制标准曲线。

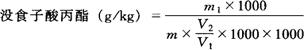
5.计算

式中 m1——样品溶液中PG的含量(μg);

m——样品质量(g);

V1——提取后样液总体积(mL);

V2——测定用吸取样液的体积(mL)。

6.结果的表述

报告算术平均数二位有效数。

允许差:相对相差≤10%。

7.注意事项

(1)用1.67%醋酸铵溶液提取没食子酸丙酯(PG)时容易产生乳化现象,需要经过干滤纸过滤,使溶液澄清。如果不产生乳化现象,就不需要过滤。

(2)本法最低检出量为50μg,测定样品相当2g时,最低检出浓度为25mg/kg。

(二)丁基羟基茴香醚(BHA)的测定

1.原理

样品经石油醚萃取后,根据BHA在石油醚相和含水乙醇相中分配系数的不同,使BHA转入72%乙醇相中,再与2,6-二氯醌氯亚胺-硼砂溶液的显色剂作用,生成一种特有的蓝色化合物,在620nm波长下测定其吸光度,与标准系列对照定量。

2.试剂

(1)0.01%2,6-二氯醌氯亚胺溶液:称取0.01g的2,6-二氯醌氯亚胺,溶于无水乙醇中,并稀释至100mL。临用时配制,并于冰箱中保存。

(2)2%的硼酸溶液。

(3)72%乙醇溶液。

(4)石油醚:沸程30~60℃。

(5)无水乙醇。

(6)BHA标准溶液:准确称取100mg BHA,用无水乙醇溶解后,移入100mL容量瓶中,并用无水乙醇稀释至刻度,混匀。此溶液每毫升含丁基羟基茴香醚1mg。使用时将此标准溶液稀释成每毫升含1μg和5μg的丁基羟基茴香醚的标准工作液。

3.仪器

分光光度计。

4.操作方法

(1)标准曲线的绘制:吸取每毫升为1μg的标准溶液0.0、1.0、3.0、5.0、7.0、9.0mL,另取每毫升为5μg BHA的标准溶液3.0、4.0、5.0、6.0、7.0mL,分别置于比色管中,然后加入72%乙醇溶液至总体积为8mL,再分别加入0.01%2,6-二氯醌氯亚胺溶液1mL,充分混匀,再加入1mL硼砂缓冲溶液,摇匀后,静置20min,于620nm波长下,测定光密度,绘制标准曲线。

(2)样品分析:准确称取磨碎样品10g(视样品含量而定)置于150mL带塞的三角烧瓶中,加入50mL石油醚,置于振荡器上振荡20min,静止。吸取上层清液25mL,置于分液漏斗中,以72%乙醇溶液15、10、10mL分次提取,收集乙醇溶液层于50mL容量瓶中,并用72%乙醇溶液定容至刻度,混匀。吸取样品乙醇溶液4mL,加入72%乙醇溶液至总体积为8mL,摇匀,加入0.01%2,6-二氯醌氯亚胺溶液1mL,以下操作同标准曲线的绘制,根据测得的光密度,从标准曲线上查得相应的BHA的含量。

5.计算

式中 m1——相当于标准的量(mg);

m——测定时样品溶液相当于样品的质量(g)。

6.注意事项

2,6-二氯醌氯亚胺溶液见光易变质,应将此溶液配制在棕色容量瓶中,最好临用时配制。配制的溶液保存于冰箱中可供3d使用。

(三)二丁基羟基甲苯(BHT)的测定

1.原理

样品通过水蒸气蒸馏,使BHT分离,用甲醇吸收,遇邻联二茴香胺与亚硝酸钠溶液生成橙红色,用三氯甲烷提取,与标准系列比较定量。

2.试剂

(1)无水氯化钙。

(2)甲醇。

(3)50%甲醇。

(4)三氯甲烷。

(5)邻联二茴香胺溶液:称取125mg邻联二茴香胺于50mL棕色容量瓶中,加25mL甲醇,振摇使之全部溶解,加50mg活性炭,振摇5min过滤,取20mL滤液,置于另一50mL棕色容量瓶中,加盐酸(1mol/L)至刻度。临用时现配,避光保存。

(6)0.3%亚硝酸钠溶液,避光保存。

(7)BHT标准溶液:准确称取0.050g BHT,用少量甲醇溶解,移入100mL棕色容量瓶中,并稀释至刻度,避光保存。此溶液每毫升相当于0.5mgBHT。

(8)BHT标准使用液:临用时吸取1.0mL BHT标准溶液,置于50mL棕色容量瓶中,加50%甲醇至刻度,混匀,避光保存。此溶液每毫升相当于10μg BHT。

3.仪器

(1)水蒸气蒸馏装置图4-2-7。

图4-2-7 测定BHT的水蒸气蒸馏装置图

(2)甘油浴。

(3)分光光度计。

4.操作方法

(1)样品处理:称取2.00~5.00g样品(约含0.4mg BHT)于100mL蒸馏瓶中,加16g无水氯化钙粉末及10mL水,当甘油浴温度达到165℃恒温时,将蒸馏瓶浸入甘油浴中,连接好水蒸气发生装置及冷凝管。冷凝管下端浸入盛有50mL甲醇的200mL容量瓶中,进行蒸馏,蒸馏速度每分钟1.5~2mL,在50~60min内收集约100mL馏出液,连同原盛有的甲醇共约150mL,蒸汽压不可太高,以免油滴带出,以温热的甲醇分次洗涤冷凝管,洗液并入容量瓶中并稀释至刻度。

(2)测定:精密吸取25mL上述处理后的样品溶液,移入用黑纸(布)包扎的60mL分液漏斗中,另精密吸取0.0、1.0、2.0、3.0、4.0、5.0mL BHT标准使用液(相当于0.0、10、20、30、40、50μg BHT),分别置于黑纸(布)包扎的60mL分液漏斗,加入50%甲醇至25mL。分别加入5mL邻苯二茴香胺溶液,混匀,再各加2mL0.3%亚硝酸钠溶液,振摇1min,放置10min,再各加10mL三氯甲烷,剧烈振摇1min,静置3min后,将三氯甲烷层放入黑纸(布)包扎的10mL比色管中,管中预先放入2mL甲醇,混匀。用1cm比色皿,以零管调节零点,于波长520nm处测吸光度,绘制标准曲线比较。

5.计算

式中 A——测定用样液BHT的含量(μg);

m——样品质量(g);

V1——蒸馏后样液总体积(mL);

V2——测定用吸取样液的体积(mL)。

结果表述:报告算术平均值的二位有效数。

随便看

 

离鸟网收录3541549条中英文词条,其功能与新华字典、现代汉语词典、牛津高阶英汉词典等各类中英文词典类似,基本涵盖了全部常用中英文字词句的读音、释义及用法,是语言学习和写作的有利工具。

 

Copyright © 2004-2024 vtrois.com All Rights Reserved
更新时间:2026/4/9 14:27:57