统计量的分布叫抽样分布.
分位点(又叫分位数) 设有统计量U服从某分布,如果P{U>uα}=α(0<α<1),则称uα为该分布的上α分位点.分位点都可在专门的数表上查出.
标准正态分布 U~N(0,1),密度函数

它的分位点记为zα(见图6.1).

图6.1
P{U>zα}=α,P{U≤zα}=Φ(zα)=1-α,反查表查出zα.
X2分布
1.定义
设总体X~N(0,1),X1,X2,…,Xn为简单随机样本(Xi~N(0,1)),统计量X2为

则称X2所服从的分布为自由度是n的X2分布,记为X2~X2(n).
它的概率密度函数为

图形如图6.2.

图6.2
X2(1)分布是Γ分布.
X2(2)分布是指数分布
.
2.X2(n)分布表
对给定的α(0<α<1),若有一点
,如果
,
则称此点为X2(n)分布的上α分位点(见图6.2).
3.X2(n)分布的可加性
若
,
,且相互独立,则
.
4.X2(n)的期望和方差
E(X2(n))=n,D(X2(n))=2n.
t分布
1.定义
设U~N(0,1),V~X2(n),U,V相互独立,记

则称T所服从的分布为自由度是n的t分布.记为T~t(n).它的概率密度函数为

图形如图6.3.

图6.3
f(t)是偶函数,图形对称于中心轴t=0.
2.t(n)分布表
对给定的α(0<α<1),若有一点tα(n),如果满足
P{T>tα(n)}=α,
则称此点为t(n)分布的上α分位点(见图6.3).
3.t1-α(n)=-tα(n).
4.
,即t(n)分布的极限分布为N(0,1)分布.
当n很大时,t(n)分布近似为N(0,1)分布.当n≥50时,tα(n)≈zα,这里zα为标准正态分布的上α分位点.
F分布
1.定义
设U~X2(n1),V~X2(n2),U,V相互独立.记

则称F所服从的分布为F(n1,n2)分布,自由度为(n1,n2).
它的概率密度函数为

f(y)的图形如图6.4所示.

图6.4
2.F(n1,n2)分布表
对给定的α(0<α<1),若有一点Fα(n1,n2),如果满足
P{F>Fα(n1,n2)}=α,
则称Fα(n1,n2)为F(n1,n2)分布的上α分位点(见图6.4).
3.性质

常用统计量的分布
1.一个正态总体
设X~N(μ,σ2),X1,X2,…,Xn为简单随机样本,则有


2.两个正态总体
设X~N(μ1,
),Y~N(μ2,
),X,Y相互独立,它们的简单随机样本分别为X1,X2,…,Xn1;Y1,Y2,…,Yn2,
,
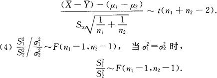
,则有

(2)若
,

(3)若

记
,称之为复合样本方差.
称为复合标准差,
