网站首页  词典首页


请输入您要查询的字词:

 

字词 拉伸试验方法
类别 中英文字词句释义及详细解析
释义

拉伸试验方法


通过拉伸试验可测定制品的拉伸强度、屈服应力、断裂应力、断裂伸长率和弹性模量。

(一)制备试样

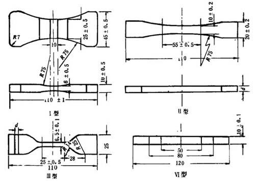
试样有四种类型。形状和尺寸见图10-3-1。试验类型和试验速度的选择见表10-3-1。

图10-3-1 拉伸试样形状和尺寸

表10-3-1 试样类型和试验速度表

(二)拉伸强度和断裂伸长率测定

以规定的速度对试样施加静态拉伸负荷直至试样断裂,记录最大负荷、屈服负荷或断裂负荷(P)和试样断裂时标线间的距离(L)。

计算:

a.拉伸强度、屈服应力、断裂应力计算

*1kgf/cm2=0.1MPa。

式中 P——负荷(10g)

b——试样工作部分宽度(cm)

d——试样工作部分厚度(cm)

b.断裂伸长率的计算

式中 ε——断裂伸长率(%)

L0——原始标线距离(cm)

L——试样断裂时标线间距离(cm)

c.弹性模量计算

测定弹性模量时,可以一定间隔记录负荷和相应的伸长,绘制应力应变曲线,或用自动记录装置直接绘制应力应变曲线。应力应变曲线的初始直线部分的斜率即为弹性模量E:

式中 σ——直线上一点的应力(kgf/cm2)

ε——直线所取点的应变

E——弹性模量

硬质聚氯乙烯在0~40℃的温度范围内,拉伸强度有下面的关系:

σc(23)=σt+6.25(t-23)

式中 σc(23)——23℃时的拉伸强度(kgf/cm2)

σt——t℃时的拉伸强度(kgf/cm2)

6.25——拉伸强度的温度修正系数。

t——试样温度℃

有关塑料拉伸实验方法,详见GB1040-79。

随便看

 

离鸟网收录3541549条中英文词条,其功能与新华字典、现代汉语词典、牛津高阶英汉词典等各类中英文词典类似,基本涵盖了全部常用中英文字词句的读音、释义及用法,是语言学习和写作的有利工具。

 

Copyright © 2004-2024 vtrois.com All Rights Reserved
更新时间:2026/4/9 11:54:46