网站首页  词典首页


请输入您要查询的字词:

 

字词 拉线放样
类别 中英文字词句释义及详细解析
释义

拉线放样


拉线的种类很多,但放样方法基本相同。在杆塔设计图中,通常载有拉线与横担之间的水平角α、拉线的最大垂距H(即从杆上的拉线挂线点至施工基面的高度,又称拉高)、拉线与杆身的夹角β(一般为30°或45°)和拉盘埋深h。拉盘上有一根斜伸出土的带圈拉棒,从杆上扯下的拉线,绷紧拴在拉棒上。放样的目的就是竖杆之前,按照设计要求在地面上标定拉盘埋设的中心位置,保证所安的拉线与杆身的夹角符合设计标准,其误差在±1°以内。

1.单杆拉线的放样

如图15-7所示,设G为杆脚,以杆身中心线PG代表杆身;N为拉盘中心,M为N在地面的投影,即应标定的中心桩位;MN=h,即为拉盘埋深;B为拉线上部的挂线点,离开施工基面的高度为H;拉线NB延长与杆身中心相交于O,其交角为β。

图15-7 拉盘中心桩的标定

(1)放样数据的计算

现以直线连接M和G,令MG=D;过M作拉线NB的平行线与杆身中心线相交于P,组成△MPG。在此三角形中:∠MPG=β;∠MGP=Z(即天顶距);PG=H′。根据正弦定理可得

式中 H′——H′=H+rcotβ+h;

r——挂线点B对杆身中心线的距离。可在杆塔设计上查到。

如果放样时经纬仪正好安置在挂线点的下面,则r=0,H′=H+h。

此外,由图15-7可知,NO=MP。通常以NO作为拉线的计算长度,并以L表示

拉线的实际长度还应抛去计算长度中包含的拉棒和挂线板等金具长度以及杆身半径的影响,根据具体情况考虑。

(2)放样步骤和方法

单杆拉线放样可使用经纬仪和全站仪进行现场标定,具体步骤如下:

1)在杆位桩上(或正对挂线点的下面)安置经纬仪或全站仪,量取仪高i(从施工基面至竖盘中心的高度)。

2)根据拉线方向与横担或路径中线的夹角α,用盘左位置标定望远镜方向。

3)在拉线方向估计大致接近拉盘位置的地方竖立标尺或棱镜,以中丝照准尺上读数等于仪器高i或棱镜高i处,读取天顶距Z;再直接获取竖盘中心至中丝读数处的斜距D′。

4)比较计算的D与D′是否相等;若不相等,则根据其差值大小前后移动标尺或棱镜,重新观测、计算,直至算出的D与量得的D′之差在允许范围(0.1m)为止,此时,立尺点即是拉盘中心桩的位置。

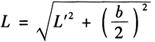
2.双杆V形拉线的放样

门形双杆的正V形拉线,如图15-8所示,其拉线平面与杆身平面的夹角也是β;拉盘一般埋设在路径中线上。测定拉盘中心桩时,仪器安置在杆位桩G上,测定方法与前面所述相同。但按上式求出的拉线“计算长度”NO=L′,不是正V形拉线两边应有的长度L,还必须考虑门形双杆两塔脚间的距离的影响。正V形拉线两边应有长度为

它的实际长度同样还应减去拉棒和挂线板等金具的长度。

图15-8 门形双杆正V形拉线

随便看

 

离鸟网收录3541549条中英文词条,其功能与新华字典、现代汉语词典、牛津高阶英汉词典等各类中英文词典类似,基本涵盖了全部常用中英文字词句的读音、释义及用法,是语言学习和写作的有利工具。

 

Copyright © 2004-2024 vtrois.com All Rights Reserved
更新时间:2026/4/8 10:26:08