网站首页  词典首页


请输入您要查询的字词:

 

字词 挤压
类别 中英文字词句释义及详细解析
释义

挤压


挤压是将金属毛坯放入模具型腔内,在一定的压力和速度作用下,使金属处于三向压应力状态,并以恒定的变形速度,从一定几何形状尺寸的型腔中挤出成形.

8.1.1.1 挤压的基本方法及其特点

根据毛坯的温度不同,挤压可分为冷挤压、热挤压和温挤压.

(1)冷挤压.冷挤压是毛坯在室温下进行的挤压.在挤压过程中金属材料处于三向压应力状态,变形后金属材料的晶粒组织致密,流线不被切断,同时有冷变形强化,因而强度大为提高.再者冷挤压时靠强大的压力压平毛坯表面,提高了毛坯的尺寸精度和表面粗糙度,故冷挤压是“高产、优质、低耗”的先进加工工艺.但是在冷挤压中变形抗力相当大,压力机吨位较大,易降低模具的使用寿命,甚至造成模具的损坏.

(2)热挤压.热挤压是将毛坯加热至再结晶温度以上进行的挤压.这时毛坯的变形抗力降低,塑性较好,但加热中的氧化、脱碳及热膨胀降低了产品的尺寸精度和表面质量.热挤压一般用于毛坯预成形.

(3)温挤压.温挤压是将毛坯加热到金属再结晶温度以下某个适当温度范围内进行挤压.它与冷挤压相比,毛坯的变形抗力校成形容易,压力机吨位减校模具的使用寿命也能相应延长,但加工质量不如冷挤压的加工质量.温挤压和热挤压相比,加热温度较低,材料的氧化、脱碳较校尺寸精度与表面粗糙度比热挤压强时

根据挤压时金属流动方向与凸模运动方向之间的关系,挤压可分为正挤压、反挤压、复合挤压、径向挤压和挤镦复合法.

(1)正挤压.挤压时,金属的流动方向与凸模的运动方向一致,如图8-1所示,可制出实心管状零件.

(2)反挤压.挤压时,金属的流动方向与凸模运动方向相反,如图8-2所示.反挤压适用于制造各种断面的空心件.

(3)复合挤压.挤压时,一部分金属的流动方向与凸模的运动方向相同,而另一部分金属的流动方向与凸模运动方向相反,如图8-3所示.复合挤压适合于制作杯—杯、杯—杆、杆—杆类零件.

图8-1 正挤压

(a)正挤压示意图;(b)毛坯;(c)挤压件

1—凸模;2—凹模;3—挤压件

图8-2 反挤压

(a)反挤压示意图;(b)毛坯;(c)挤压件

1—凸模;2—挤压件;3—凹模

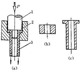
(4)径向挤压.挤压时,金属的流动方向与凸模的运动方向垂直,如图8-4所示.径向挤压适合于制造十字轴类零件、花键轴的齿形部分、直齿和螺旋齿、小模数齿轮的齿形部分等.

(5)挤镦复合法.挤镦时,一部分金属的流动方向与凸模的运动方向垂直,另一部分金属沿凸模运动方向或相反方向流动.挤镦复合法多用来制作多台阶的带孔或不带孔的扁平类零件.

8.1.1.2 挤压变形程度的确定

1.变形程度的计算方法

在挤压技术中,表示变形程度的参数有如下几种:

(1)断面收缩率ψ:

式中 ψ——断面收缩率,%;

F0——挤压前毛坯的横截面积,mm2

F——挤压后挤压件的横截面积,mm2

(2)挤压比R:

(3)对数变形程度ε为:

三者之间的关系为:

图8-3 复合挤压

(a)复合挤压示意图;(b)毛坯;(c)挤压件

1—凸模;2—挤压件;3—凹模

图8-4 径向挤压

(a)径向挤压示意图;(b)毛坯;(c)挤压件

1—凸模;2—挤压件;3—凹模;4—套圈

2.材料塑性所允许的最大变形程度

在确定变形程度时应考虑材料塑性所允许的最大变形程度.热挤压时挤压件的最大挤压比见表8-1,冷挤压时许用变形程度见表8-2,温热正挤压(毛坯温度在700~800℃)时的许用变形程度见表8-3.

表8-1 热挤压时挤压件的最大挤压比

表8-2 冷挤压时许用变形程度

表8-3 温热正挤压时许用变形程度

8.1.1.3 挤压温度的选择

挤压生产中温度对挤压变形的影响甚为重要.一般而言,温度越高,单位变形抗力越低,材料的塑性指标上升,但其氧化也越严重,从而影响产品的表面质量、模具寿命以及产品的尺寸精度.因此,在挤压中应选择好挤压温度.

1.热挤压时变形温度的选择

一些常见钢材及铜合金的热挤压温度见表8-4.

表8-4 常用钢料和铜合金的热挤压温度

2.温挤压时变形温度的选择

在温挤压时,选择的温度应在金属开始出现强烈氧化之前,并且应避开兰脆区.一些材料的温挤压温度见表8-5.

表8-5 一些材料的温挤压温度

8.1.1.4 挤压件的精度和表面粗糙度

挤压件所能达到的表面粗糙度如表8-6所示.

冷挤压时尺寸公差见表8-7.

表8-6 挤压件所能达到的表面粗糙度要求

表8-7 冷正挤压件的尺寸公差 mm

8.1.1.5 挤压力

挤压力的大小与挤压材料的性能、变形程度、模具形状、润滑等因素有关,可按下式计算:

P=pA (8-5)

式中 p——单位挤压力(可查图8-5~图8-9);

A——凸模截面积,mm2

图8-5 有色金属正挤压单位挤压力计算线图

图8-6 有色金属反挤压单位挤压力计算线图

0—毛坯厚度;s—零件厚度

随便看

 

离鸟网收录3541549条中英文词条,其功能与新华字典、现代汉语词典、牛津高阶英汉词典等各类中英文词典类似,基本涵盖了全部常用中英文字词句的读音、释义及用法,是语言学习和写作的有利工具。

 

Copyright © 2004-2024 vtrois.com All Rights Reserved
更新时间:2026/4/9 7:08:40