网站首页  词典首页


请输入您要查询的字词:

 

字词 损失量的统计
类别 中英文字词句释义及详细解析
释义

损失量的统计


一、定义

(一)自然损失量 作物受有害生物危害后在不防治的情况下的自然损失量。

(二)挽回损失量 通过防治有害生物后挽回的损失,可以表达为:挽回损失=自然损失量-实际损失量。

(三)实际损失 通过防治后因残存有害生物为害造成的损失。

二、损失量的计算方法

(一)自然损失量的计算方法 作物因有害生物危害所造成的损失,一般来说直接决定于有害生物数量的多少,但并不是任何情况下都是完全一致的,有时作物受害后并不使产量完全损失,即作物被害达到百分之百,其损失则达不到百分之百。但如果害虫直接为害产量部位和穗部或使整株枯死如死苗,这时被害百分率与损失百分率就完全相等。作物受害程度与损失的实际结果受到多种因素的影响,例如害虫的口器,取食的习性和部位,作物品种的特性和生育阶段的不同,造成的结果也不一样。

产量损失可用损失百分率来表示,也可以用损失的实际数量来表示,具体计算公式调查方法包括以下三个方面。

1.选择若干未受害的植株和受害的植株进行测产,求出单株平均产量,采用以下公式计算损失系数:

式中:Q为损失系数,a为未受害植株的平均产量,e为被害植株的单株平均产量。

2.产量损失的大小不仅决定于损失系数,还决定于被害株率,因此应在调查田中调查统计受害株百分率,可按下式计算。

式中:P为受害株百分率,n为检查总株数,m为被害株数。

3.根据上述资料计算产量百分率

式中:C为产量损失百分率,Q为损失系数,P为受害株百分率。

然后计算单位面积的自然损失数:

式中:L为单位面积实际损失产量,a为未受害株数单株平均产量,M为单位面积总株数,C为产量损失百分率。

4.综合损失率的计算方法 以上的公式只是一般的计算原则,而且只是一种虫害危害时其损失量的估算方法。但是一种作物上不只发生单一的病虫危害,而是多种病虫综合发生危害而影响产量造成损失。如果机械地通过逐个病虫累加计算损失量易造成统计数字偏高,为克服这一弊端,近几年有些省提出了要测定以作物为单位多种病虫危害所造成的综合损失率,以综合损失率为基础计算出以作物为单位的总的损失量,然后根据单项病虫占总发生面积的比重,将总损失逐一分解到单项病虫中去。这样计算出的结果较符合实际。山东省植物保护总站自1987年开始这方面试验,经过几年的验证是可行的。根据其试验结果以作物为单位病虫危害综合损失率,采用现行五级制划分,粮棉油作物病虫害大发生的综合产量损失率可分别按25%、50%、30%计算,级差分别为5%、10%和6%进行统计(表7-2)。据此自然损失量的计算方法如下:

表7-2 病虫危害综合产量损失率

(1)先根据某类作物病虫综合损失率指标求相应发生级别的损失率。然后计算不防治的每亩自然损失数。即:

每亩平均单产和相应级别的损失率的乘积即为每亩的损失率。

(2)不防治自然总损失量的计算:

即每亩自然损失数乘以各种病虫发生总面积。如果各项病虫发生总面积已超过种植面积,可按种植面积计算。

(3)单项病虫害损失总量的计算,在计算出该作物总损失量的基础上,首先计算单项病虫害在该作物病虫总发生面积中的比重。

* 此处的发生总面积指实际的各项病虫发生面积累加数,不考虑是否超过种植面积。

然后根据各种病虫害占发生面积的比重,分别计算出单项病虫不防治的损失量。

公式为:不防治总损失量×单项病虫害占总发生面积的%。

(二)挽回损失的计算方法

1.计算单项病虫挽回损失数

式中:90%为防治效果,为一参数,可根据具体防治情况而定。

2.以作物为单位挽回损失的计算 逐项病虫挽回损失累加即是。

(三)实际损失的计算方法

首先计算单项病虫的实际损失 即不防治损失数减去挽回损失数,再逐项病虫累加即某作物的实际损失数。

(四)农田害鼠危害损失的计算标准 于秋季作物收获期用堵洞法一次调查鼠密度,按害鼠的实有数量计算。

实际损失=老鼠只数×每年每只老鼠耗粮量(9公斤/只·年)。

挽回损失=灭鼠只数×每年每只老鼠耗粮数。

(五)农田草害的危害损失 根据全国农田杂草调查组的调查资料,在杂草严重危害时(即5级)各种作物杂草的危害损失率(%):水稻为13.4,小麦为15,杂粮为10.4,大豆为19.4,棉花为14.8,花生为9。根据实地调查杂草级别折算出相应的损失率。参考前述病虫害计算的损失量的办法,分别计算各种作物田杂草的挽回损失和实际损失。

(六)计算实例 现以某县小麦病虫发生情况为例(表7-3),介绍其计算综合损失率和通过防治挽回损失和实际损失的方法。

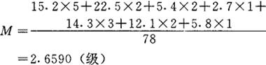
1.计算小麦病虫综合发生程度 采用模糊向量综合法或加权平均法计算,本例求得综合发生程度为2.6590级。

模糊向量法:

根据模糊向量综合法公式计算综合发生程度

N=0.1949×5+0.2885×2+0.0692×2+0.0346×1+0.1833×3+0.1551×2+0.0744×1=2.6590(级)

加权平均法:

2.计算单项病虫发生面积占总发生面积的比值

3.计算不防治自然减产损失数 先根据某种作物病虫综合损失率指标求相应发生级别的损失率,然后计算不防治的每亩自然损失数及总损失数,并按单项病虫所占比值,将总损失数逐一分解到各单项病虫。

(1)产量损失率 根据研究结果,小麦病虫大发生(5级)产量损失率指标为25%,级差为5%,本例小麦病虫综合发生程度为2.6590级,其损失率即为

2.6590(级)×5%=13.2950%

(2)产量总损失数 本例小麦单产256公斤,以此乘以损失率求得每亩损失数,再乘以总发生面积即为总损失数。

256×13.7630%×78=2654.7456(万公斤)

=26547.46吨

(3)单项病虫不防治损失数 将总损失数按单项病虫所占比值逐一分解。

如麦蜘蛛损失数(吨)=2657.46×36.64%=9726.99吨

4.计算单项病虫防治后挽回损失数 式中90%为常数,系指防治效果。

5.计算单项病虫实际损失数 即不防治损失数减去挽回损失数。

以上病虫危害综合损失率是正常年份进行的参数,对特殊年份,个别病虫出现特大发生,危害损失率将超过上述指标。对此,应在统计好单项病虫不防治时自然损失数的基础上,对某一特大发生的单项病虫,按其发生程度划分等级的级差值,超一级以上二级以下者,损失率加一级,超二级以上者加二级。例如按山东省农作物病虫发生程度分级标准,麦蜘蛛发生程度按五级划分,各级0.33米行长虫口密度依次为200-250、251-500、501-750、751-1000和1000头以上,级差为250头。以此为例,若麦蜘蛛属特大发生,虫口密度为1300头,应在统计不防治损失数9726.99吨的基础上,加损失率级差一级(即256×5%×15.2=1945.60吨),合计为11672.59吨,若虫口密度达1550头,则应加损失率级差二级(即256×10%×15.2=3891.20吨)合计为13618.19吨。

表7-3 某县小麦病虫害发生防治情况统计表

注:该县小麦种植面积为94万亩,平均亩产256公斤。

随便看

 

离鸟网收录3541549条中英文词条,其功能与新华字典、现代汉语词典、牛津高阶英汉词典等各类中英文词典类似,基本涵盖了全部常用中英文字词句的读音、释义及用法,是语言学习和写作的有利工具。

 

Copyright © 2004-2024 vtrois.com All Rights Reserved
更新时间:2026/4/8 21:56:14