网站首页  词典首页


请输入您要查询的字词:

 

字词 搅拌设备附件结构及强度计算
类别 中英文字词句释义及详细解析
释义

搅拌设备附件结构及强度计算


(一)搅拌装置支承架 制盐中使用的立式搅拌装置,支承架一般采用型钢(槽钢或工字钢)做梁。梁的强度和刚度计算,按《钢结构设计手册》规定进行。

(二)搅拌轴的计算

1.搅拌轴径的计算 搅拌轴工作时,承受扭转及弯曲的组合作用,以扭转作用为主。工程计算中,常用近似方法,同时按扭转变形和扭转强度两个条件进行,取分别求得的较大值作为轴径。

(1)按扭转变形计算

(2)按扭转强度计算

式中 d——轴径,空心轴时为轴外径(cm)

N——轴传递的功率(kW)

n——搅拌轴转速(r/min)

α——空心轴内外径比值,α=di/d,对实心轴,α=0

di——空心轴内径(cm)

A——系数,G=8.1×105kgf/cm2,〔φ〕°=时,A=10;〔φ〕°=1°时,A=8.5;

〔φ〕°——100cm长度内的许用扭转角,对搅拌轴,〔φ〕°=~1°;

G——材料的剪切弹性模数对碳钢,G=8.1×105kgf/cm2

当材料的G值不等于8.1×105kgf/cm2时,轴径d1按下式换算:

C——随材料许用扭转应力〔τ〕变化的系数,其值见表3-5-7。

表3-5-7 常用轴材料的〔τ〕及C值

注:(1)〔τ〕值考虑了因弯曲影响而降低了的许用剪应力,如果轴上弯矩影响较大,并有其他不利因素(如轴很长,运转不平稳等)存在时,〔τ〕应取较小值。

(2)采用20、35钢材时,则〔τ〕值可较A3、A5钢为大。

按式(3-5-37)算出的轴径若比按式(3-5-38)算出的大很多,可考虑改用强度较低的材料,以达到节约的目的。

以上计算未考虑键槽及开孔的影响,若轴上开有一个键槽或浅孔,轴径应增大4~5%;若同一断面上开有两个键槽或浅孔,轴径应增大7~10%;若轴上沿径向开有对穿销孔,孔径/轴径=0.05~0.25时,轴径应按计算直径至少增大15%。

上述计算的轴径,还应加入轴的腐蚀裕度,最后圆整为标准直径。

以上强度计算中,假定搅拌轴只承受扭转作用,然后以降低材料的许用应力来弥补因忽略弯曲作用而引起的误差。

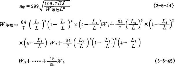
2.搅拌轴临界转速计算 当轴的转速达到一定数值时,轴的运转将发生显着的反复变形和较为强烈的振动而产生共振现象。这时的转速称为轴的临界转速。对制盐上搅拌设备使用的刚性轴,应使轴转速n≤0.7n临;当桨式搅拌器搅拌液-液相及液-固相介质时,还须使(0.45~0.55)。对不允许在搅拌设备内安装轴承的悬臂轴,一般都应验算轴的临界转速。有的资料介绍,搅拌转速大于200r/min时,都应对临界转速进行验算。

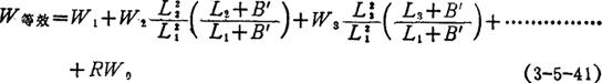
等直径集中载荷悬臂轴(图3-5-18)临界转速计算:

图3-5-18 搅拌轴临界转速计算简图

B′-轴的支承距离(cm) L1-轴外伸端距离(cm) L2L3-各搅拌器外伸端距离;(cm)

W0-外伸端轴的重量,(kg) m0-外伸端轴的质量(kg·s/cm),m0= m1、m2、m3-各个搅拌器的质量(kg·s2/cm) W1、W2、W3-各个搅拌器的重量(kg) g-重力加速度,g=981cm/s2

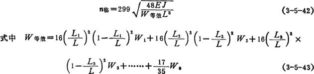
式中 n——轴的临界转速(r/min);

E——轴的材料弹性模数(kgf/cm2),对碳钢,E=2.1×106kgf/cm2

I——轴的惯性矩(cm4),对实心圆轴,I=;对空心圆轴,I=d,α表示意义见式(3-5-38)

W等效——轴及搅拌器的等效重量(kg)

R——轴的等效重量系数,见表3-5-8

表3-5-8 轴的等效重量系数

联轴节的等效重量与搅拌器同样处理。

3.有底轴承的单跨度等直径搅拌器的临界转速

(1)两端简支的搅拌轴见图3-5-19。

图3-5-19 搅拌轴临界转速计算简图

L1、L2、L3-各搅拌器距支承点距离(cm) W0-两支点距离L段轴的重量(kg) W1、W2、W2-各搅拌器的重量(kg)

(2)一端固定另一端简支的搅拌轴(图3-5-20)。

图3-5-20 搅拌轴临界转速计算简图

(各符号意义同图3-5-19)

当滑动轴承长度比轴径大两倍或更多时,可看作是固支的。当滑动轴承的长度与直径之比较小或采用滚动轴承时,可看作是铰接的。

4.轴的支承条件 一般情况下,搅拌轴由减速装置或支座内一对轴承支承。为操作维修简便,搅拌设备内不再设置轴承,搅拌轴往往较长而悬伸在设备内,进行搅拌操作。当悬臂轴又长又细时,往往会将轴扭弯,离心力随之递增,最后达到完全破坏的程度。保持搅拌轴悬臂稳定性的允许长度,目前尚无可靠方法计算,对一般情况,按经验数据,推荐以下两个关系式,以作参考,见图3-5-21。

图3-5-21 搅拌轴的支承

(1)L1≤(4~5)B′ (3-5-46)

(2)L1≤(40~50)d (3-5-47)

L1、B′、d所代表的意义见图3-5-18,单位均为cm。

计算轴径d时,d的裕量越大,或经过平衡试验的搅拌器,或在低转速条件下,L1/B′及L1/d可取偏大值,反之取偏小值。

如不能同时满足上述两个条件,应在搅拌设备内安装中轴承或底轴承。搅拌设备内加装轴承,以利于提高轴的临界转速,降低轴的挠曲,防止轴的径向摆动,保证良好的轴封,但不便于操作维修。常见的中轴承、底轴承型式见图3-5-22、3-5-23。

图3-5-22 中轴承结构图

图3-5-23 底轴承结构图

5.搅拌轴同搅拌器的连接

(1)搅拌器与轴的连接 将桨叶一端煨成半个轴套,用螺栓将对开的轴套夹紧于搅拌轴上(见图3-5-16),一般用于桨式搅拌器。当D≤0.6m时,用一对螺栓销紧;D≥0.7m时,用两对螺栓销紧。为传递扭矩可靠起见,常用穿轴螺栓使搅拌器与轴固定。

(2)搅拌器与轴的连接 用键和止动螺钉将搅拌器轴套固定在搅拌器轴上。搅拌器轴套外径宜为轴径的1.6~2倍,轴套长度应略大于轴套处搅拌叶宽度在轴线上的投影长度,且不小于轴径。对于较大的搅拌器和轴的连接,可采用图3-5-24结构型式。其优点在于:①连接牢固;②比穿孔对夹的轴强度高;③能防止螺纹生锈。

图3-5-24 搅拌器与轴的连接结构

1-搅拌器 2-圆形螺母 3-防锈帽 4-销钉 5-防锈螺母

(三)搅拌设备的传动装置

制盐用的搅拌设备,传动装置一般由电动机、减速装置、联轴器和机座组成。电机的选用主要是确定型号、功率、转速以及安装型式、特殊要求等(如防爆要求)。在不少场合(如选用标准型减速机时),电机与减速装置系配套供应。

传动装置通过机座安装在型钢制支承架上。机座上一般应有容纳联轴器、轴封装置等部件及其安装、操作、维修所需的空间。不少情况下,机座中还设有轴承装置,以改善轴的支承条件。机座可按设计条件采用铸体或用A3F、A3钢焊制而成。有些标准型减速机,机座和减速机能配套供应,可按使用条件配套选用。

制盐用搅拌设备的减速装置,以摆线针轮减速机及三角皮带减速装置较普遍。摆线针轮减速机减速比大、寿命长、结构紧凑、传动效率高、对过载及冲击载荷有较强的承受能力,盐业上已逐步获得较广泛的应用。三角皮带减速装置结构简单,过载时会发生打滑现象,能起到安全保护作用,在盐业上应用仍较广泛,但不能用于有防爆要求和需要保持精确传动比的地方。对用于沉降等低速搅拌设备,齿轮传动及蜗轮蜗杆传动也有使用。

联轴器使用型式,主要有弹性圆柱销联轴器、柱销联轴器、夹壳联轴器、刚性联轴器、刚性凸缘联轴器等型式。弹性联轴器(弹性圆柱销联轴器、柱销联轴器)适宜作高速轴的连接,如与电机轴直连,对启动时的高峰负荷起到缓冲和吸震作用,使搅拌轴或搅拌叶不致断裂或被扭坏。搅拌轴间连接,采用的联轴器为刚性结构。夹壳联轴器、刚性联轴器、刚性凸缘联轴器等固定式刚性联轴器,有很好的同心度,结构简单,承受的扭矩也较大。一般轴长超过3m时,为防止轴在加工、运输和放置过程中的挠曲,都应分段采用刚性联轴器连接。刚性联轴器无减震性,不能承受冲击,适宜连接低速、振动小、刚度大的轴。

附录A 本节使用符号说明

DO——搅拌设备圆筒内直径(m)

D——搅拌器直径(m)

B——搅拌器叶片宽度(m)

S——搅拌器叶片螺距(m)

C——搅拌器与桶底距离(m)

δ、δ1——搅拌器叶片厚度(cm

H1——叶片断面高度(cm)

E0——搅拌器的层数

Z——每个搅拌器的叶片数

J——挡板宽度(m)

R——挡板数量

H——静液面与桶底的距离(m)

N——按表3-5-4所列有关尺寸范围内计算的搅拌需要轴功率(kW)

N′——与表3-5-4所列有关尺寸范围不同经换算后搅拌器实际需要的轴功率(kW)

gC——重力加速度,gc=9.81m/s2

ρ——液体密度(kg/m3)

n——搅拌器转速(r/s)

μ——液体粘度(Pa·s)

NRe——雷诺准数

NP——功率准数

θ——搅拌叶片与旋转平面的夹角(见表3-5-1中图c、f)(度)

N——搅拌每层的设计功率(kW)

N——每个搅拌器单个叶片设计功率(kW)

MI——搅拌叶断面Ⅰ-Ⅰ上承受的弯矩(kgf-cm)

W、W′——分别为无加强筋的桨叶及单侧有加强筋的桨叶断面对y-y轴的抗弯断面模数(cm3)

Ze——断面Ⅰ-Ⅰ上的螺栓数

ds——螺栓孔根部直径(cm)

本节各公式中,未专门注明处,均按上述字母代表的含义及单位代入。

附录B 传动机构效率

传动机构效率

随便看

 

离鸟网收录3541549条中英文词条,其功能与新华字典、现代汉语词典、牛津高阶英汉词典等各类中英文词典类似,基本涵盖了全部常用中英文字词句的读音、释义及用法,是语言学习和写作的有利工具。

 

Copyright © 2004-2024 vtrois.com All Rights Reserved
更新时间:2026/4/8 17:53:01