网站首页  词典首页


请输入您要查询的字词:

 

字词 放大电路
类别 中英文字词句释义及详细解析
释义

放大电路


1.放大电路概念

放大电路是由晶体三极管(或场效应管)、电容器,电阻及电源等组成的。放大电路通过电能转换把微弱的电信号增强到所要求的电压、电流或功率值,即利用晶体三极管(或场效应管)的放大和控制作用把电源的能量转换为与输入量成比例变化的输出量。放大电路实质上是一种能量的控制装置。

根据放大电路中放大器件的连接方式,对晶体三极管而言有共射、共集和共基三种组态,对场效应管而言有共源、共漏和共栅三种组态。

2.放大电路的性能指标

放大电路的性能指标可用图3-1来说明。

图3-1 放大电路的框图

(1)电压放大倍数

放大电路放大信号电压的能力,即输出电压与输入电压的比值叫做电压放大倍数,用符号Au表示,其数学表达式为:

式中 Au——电压放大倍数;

Uo——输出电压有效值(V);

U1——输入电压有效值(V)。

(2)电流放大倍数

放大电路放大信号电流的能力,即输出电流与输入电流的比值叫做电流放大倍数,用符号A1表示。其数学表达式为:

式中 A1——电流放大倍数;

Io——输出电流有效值(A);

I1——输入电流有效值(A)。

(3)输入电阻

在图3-1中,从输入端看进去的等效电阻,即外加输入电压的有效值与相应的输入电流的有效值之比为放大电路的输入电阻,用符号R1表示。其数学表达式为:

式中 R1——输入电阻(Ω);

U1——输入电流有效值(A);

I1——输入电流有效值(A)。

输入电阻R1是衡量放大电路对信号源影响程度的性能指标。输入电阻R1值越大,对信号源影响程度就越小。

(4)输出电阻

在图3-1中,从输出端看进去有一个具有等效的具有内阻Ro的电压源,把内阻Ro称为放大电路的输出电阻。其数学表达式为:

式中 Ro——输出电阻(Ω);

RL——负载电阻(Ω);——输出端等效电压源(V);

Uo——输出电压(V)。

输出电阻Ro是反映放大电路带负载能力的性能指标。输出电阻Ro值越小,放大电路带负载能力就越强。

(5)最大输出幅度

在输出波形没有明显失真的情况下,放大电路能提供给负载的最大输出电压(或最大输出电流)称为最大输出幅度,用符号Uom(或Iom)表示。

(6)最大输出功率和效率

在输出信号基本不失真的情况下放大电路能输出的最大功率,用符号Pom表示。

放大电路输出的最大功率与直流电源提供的功率之比的百分数即为效率,用符号η表示。其数学表达式为:

式中 η——效率;

Pom——最大输出功率(W);

Ps——直流电源提供的功率(W)。

3.共射放大电路

图3-2(a)为基本共射放大电路,此电路由基极输入信号,集电极输出信号。由图3-2(c)所示交流通路得知,发射极是输入回路和输出回路的公共端,故称为共射放大电路。共射放大电路的电压、电流、功率放大倍数较大,用于多级放大器的中间级。共射放大电路的静态工作点、电压放大倍数、输入电阻和输出电阻的计算如下:

(a)电路

(b)直流通路

(c)交流通路

(d)微变等效电路

图3-2 基本共射放大电路

(1)静态工作点的计算

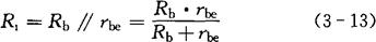
表征静态工作点的三个参数可由图3-2(b)所示共射放大电路的直流通路求得。

ICQ=βIBQ (3-7)

UCEQ=UCC-ICQRC (3-8)

式中 UCC——电源电压(V);

UBE——发射结正向压降(V);

对于硅管,UBE=0.7V,锗管,UBE=0.3V。由于UBE《UCC,所以计算时,可以忽略不计。

UCEQ——静态集电极与发射极之间的电压(V);

Rb——基极偏置电阻(Ω);

Rb的作用是向三极管的基极提供合适的偏置电流,并向发射结提供必须的正向偏置电压。选择合适的Rb数值,就可使三极管有适当的静态工作点。

Rb的阻值一般取几十千欧到几百千欧之间。

RC——集电极负载电阻(Ω);

RC的作用是将集电极电流的变化转换成电压的变化,以实现电压放大功能。另外电源电压UCC经RC,使三极管得到正常的工作电压,RC也起到直流负载的作用。

RC的阻值一般取几千欧到几十千欧。

β——三极管电流放大系数;

IBQ——静态基极电流(A);

ICQ——静态集电极电流(A)。

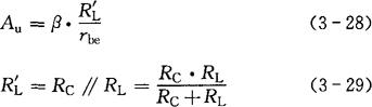
(2)电压放大倍数的计算

共射放大电路的电压放大倍数,输入电阻、输出电阻可由图3-2(d)所示共射放大电路的微变等效电路求得。

式中 Au——带负载时的电压放大倍数;——不带负载时的电压放大倍数;——输出等效电阻(Ω);

RL——负载电阻(Ω);

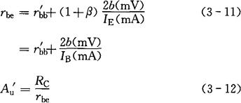
rbe——三极管的输入电阻(Ω);——三极管的基区体电阻;

对于小功率管,一般取为估算值;

IE——发射极电流;

IB——基极电流。

(3)输入电阻的计算

式中 R1——共射放大电路的输入电阻(Ω)。

(4)输出电阻的计算

Ro=RC (3-14)

式中 Ro——共射放大电路的输出电阻(Ω)。

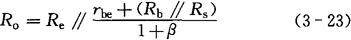
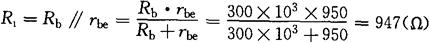
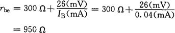
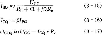
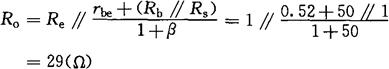
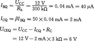
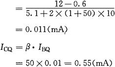
[例3-1] 在图3-2(a)中,已知UCC=12V,Rb=300kΩ,RC=3kΩ,RL=3kΩ,β=50。求静态工作点IBQ,ICQ, UCEQ;电压放大倍数Au;输入电阻R1和输出电阻Ro

[解] 静态工作点

三极管的输入电阻

不带负载时的电压放大倍数

带负载时的电压放大倍数

输入电阻

输出电阻

Ro=RC=3kΩ

通过电压放大倍数的计算。可知放大电路不带负载时,电压放大倍数最大;带负载后,电压放大倍数下降,而且负载电阻越小,电压放大倍数下降越多。

4.共集放大电路

图3-3(a)为共集放大电路,此电路由基极输入信号,发射极输出信号。由图3-3(c)所示交流通路得知,集电极是输入回路输出回路的公共端,故称为共集放大电路。由于信号是从发射极输出,所以共集放大路又叫射极输出器。

(a)电路

(b)直流通路

(c)交流通路

(d)微变等效电路

图3-3 共集放大电路

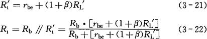
射极输出器具有输入电阻高及输出电阻低的特点,在多级放大电路中作为输入级、中间隔离级及输出级。射极输出器的静态工作点、电压放大倍数、电流放大倍数,输入电阻和输出电阻的计算如下:

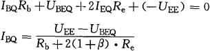
(1)静态工作点的计算

共集放大电路即射极输出器的静态工作点,可由图3-3(b)所示直流通路求得。

式中 Re——发射极电阻(Ω)。

(2)电压放大倍数的计算

共集放大电路的电压放大倍数、电流放大倍数、输入电阻、输出电阻可由图3-3(d)所示共集放大电路的微变等效电路求得。

式中 RL′——共集放大电路的输出等效电阻;

Au——电压放大倍数。

(3)电流放大倍数的计算

A1=1+β (3-20)

式中 A1——电流放大倍数。

共集放大电路的电压放大倍数小于1(接近1),即射极输出器没有电压放大作用,但有电流放大和功率放大作用。

(4)输入电阻的计算

式中 R1——共集放大电路的输入电阻(Ω);——共集放大电路的基极回路电阻(Ω)。

(5)输出电阻的计算

式中 Ro——共集放大电路的输出电阻(Ω);

Rs——信号源内阻(Ω)。

[例3-2] 在图3-3(a)中,已知UCC=12V,Rb=50kΩ,Re=1kΩ,RL=1kΩ,Rs=1kΩ,β=50。求静态工作点IBQ,ICQ,UCEQ;电压放大倍数Au;电流放大倍数A1;输入电阻R1和输出电阻Ro

[解] 静态工作点

三极管的输入电阻

电压放大倍数

电流放大倍数

A1=1+β=1+50=51

输入电阻

输出电阻

5.共基放大电路

图3-4(a)为共基放大电路,此电路由发射极输入信号,集电极输出信号。由图3-4(c)所示交流通路得知,基极是输入回路和输出回路的公共端,故称为共基放大电路。

(a)共基放大电路

(b)直流通路

(c)交流通路

(d)微变等效电路

图3-4 共基放大电路

共基放大电路的输入电阻很低,一般为几欧至几十欧,应用于高频或宽频带放大电路。共基放大电路的静态工作点、电压放大倍数、输入电阻和输出电阻的计算如下:

(1)静态工作点的计算

共基放大电路的静态工作点,可由图3-4(b)所示直流通路求得。

式中 Rb1——基极上偏置电阻(Ω);

Rb2——基极下偏置电阻(Ω)。

(2)电压放大倍数的计算

共基放大电路的电压放大倍数、输入电阻、输出电阻可由图3-4(d)所示共基放大电路的微变等效电路求得。

式中 Au——电压放大倍数;——共基放大电路的输出等效电阻(Ω)。

(3)输入电阻的计算

式中 R1——共基放大电路的输入电阻(Ω)。

(4)输出电阻的计算

Ro=RC (3-31)

式中 Ro——共基放大电路的输出电阻(Ω)。

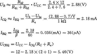
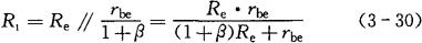
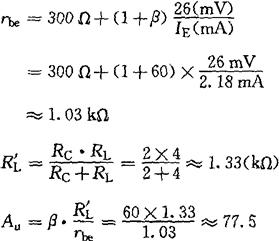
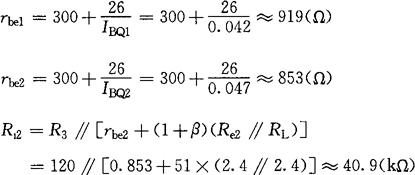
[例3-3] 在图3-4(a)中,已知UCC=12V,Rb1=7.6kΩ,Rb2=2.4kΩ,RC=2kΩ,Re=1kΩ,RL=4kΩ,β=60,Ube=0.7V。求静态工作点IBQ,ICQ,UCEQ;电压放大倍数Au;输入电阻R1和输出电阻Ro

[解] 静态工作点

电压放大倍数

输入电阻

输出电阻

Ro=RC=2kΩ

6.场效应管的工作原理

图3-5为N沟道结型场效应管工作原理示意图。场效应管有三个电极,分别为栅极,用符号g表示;源极,用符号s表示;漏极,用符号d表示。两个PN结中间的N型区域称为导电沟道,具有这种结构的结型场效应管称为N沟道结型场效应管。

图3-5 N沟道JFET工作原理示意图

场效应管的栅源电压Ugs控制导电沟道的宽度,漏源电压Uds使导电沟道呈现不等宽性,在一定的Uds条件下,漏极电流Id受Ugs的控制,改变Ugs即可控制Id的大小。场效应管是一种电压控制型半导体器件,根据结构不同可分为结型场效应管和绝缘栅场效应管两种。

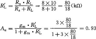
7.场效应管共源放大电路

图3-6(a)为共源放大电路,此电路和晶体三极管共射电路相对应。由图3-6(c)所示微变等效电路得知,源极S是输入回路和输出回路的公共端,故称为共源放大电路。

(a)JFET共源基本放大电路

(b)直流通路

(c)微变等效电路

(d)计算Ro的等效电路

图3-6 共源接法放大电路及其等效电路

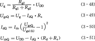
共源放大电路的特点是电压放大倍数大,输入电压与输出电压反相,输入电阻高,输入电容大,输出电阻主要由漏极电阻Rd决定。共源放大电路的静态工作点,漏极电流IdQ、栅源电压UgsQ和漏源电压UdsQ,电压放大倍数,输入电阻和输出电阻的计算如下:

(1)静态工作点的计算

共源放大电路的静态工作点可由图3—6(b)所示直流通路求得。

式中 UDD——电源电压(V);

Ug——栅极电压(V);

UgsQ——静态栅源电压(V);

UdsQ——静态漏源电压(V);

Rg1——栅极上偏置电阻(Ω);

Rg2——栅极下偏置电阻(Ω);

Rs——源极电阻(Ω);

Rd——漏极电阻(Ω);

IdQ——静态漏极电流(A);

Idss——漏极饱和电流(A);

Ugs(off)——夹断电压(V)。

(2)电压放大倍数的计算

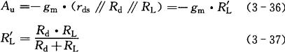
共源放大电路的电压放大倍数、输入电阻可由图3-6(c)所示微变等效电路求得。

式中 Au——电压放大倍数;

gm——跨导(S);——输出等效电阻(Ω);

RL——负载电阻(Ω);

Rd——漏极电阻(Ω);

rds——场效应管输出电阻(Ω),rds一般大于105Ω,因,故可忽略rds

(3)输入电阻的计算

式中 R1——输入电阻(Ω);

Rg1——栅极上偏置电阻(Ω);

Rg2——栅极下偏置电阻(Ω)。

(4)输出电阻

共源放大电路的输出电阻可由图3-6(d)所示求输出电阻等效电路求得。

Ro=rds∥Rd≈Rd (3-39)

式中 Ro——输出电阻(Ω);

rds——场效应管输出电阻(Ω);

Rd——漏极电阻(Ω)。

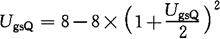
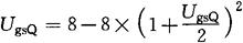
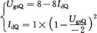
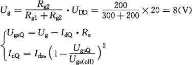
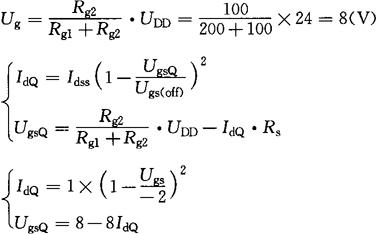
[例3-4] 在图3-6(a)中,已知Ugs(off)=-2V,Idss=1.0mA,Rg1=200kΩ,Rg2=100kΩ,Rd=10kΩ,Rs=8kΩ,RL=10kΩ,UDD=24V,gm=1.0ms。求静态工作点IdQ,UgsQ,UdsQ;电压放大倍数Au;输入电阻R1;输出电阻Ro

[解] 静态工作点

将上式中IdQ的表达式代入UgsQ的表达式得:

由此可得两组解,即UgsQ=0V,IdQ=1mA及UgsQ=-4.5V,IdQ=1.56mA。第二组解中,UgsQ=-4.5V<Ugs(off),此解不成立,所以其结果为:

UgsQ=0V

IdQ=1mA

UdsQ=UDD-IdQ(Rd+Rs)

=24-1×(10+8)

=6(V)

由计算结果得知,图3-6(a)所示共源放大电路中的场效应管正好工作在零偏压状态下。

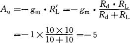
电压放大倍数

输入电阻

输出电阻

Ro≈Rd=10kΩ

8.场效应管共漏放大电路

图3-7(a)为共漏放大电路,此电路与晶体三极管共集电路,即与射极输出器相对应。由图3-7(d)所示求输出电阻的等效电路得知,漏极d是输入回路和输出回路的公共端,故称为共漏放大电路。

(a)共漏放大电路

(b)直流通路

(c)微变等效电路

(d)求输出电阻的等效电路

图3-7 共漏接法放大电路及其等效电路

共漏放大电路的特点是电压放大倍数小于1,但接近1,输入输出电压同相,输入电阻高而输入电容小,输出电阻,可作阻抗变换用。共漏放大电路的静态工作点,漏极电流IdQ,栅源电压UgsQ和漏源电压UdsQ,电压放大倍数,输入电阻和输出电阻的计算如下:

(1)静态工作点的计算

共漏放大电路的静态工作点可由图3-7(b)所示直流通路求得。

(2)电压放大倍数的计算

共漏放大电路的电压放大倍数为

(3)输入电阻

输入电阻可由图3-7(c)所示微变等效电路求得。

式中 Rg——栅极偏置电阻。

(4)输出电阻

[例3-5] 在图3-7(a)中,已知Ugs(off)=-2V,Idss=1mA,Rg1=300kΩ,Rg2=200kΩ,Rg=10MΩ,Rs=8kΩ,RL=10kΩ,UDD=20V,gm=3ms。求静态工作点IdQ,UgsQ,UdsQ;电压放大倍数Au;输入电阻R1;输出电阻Ro

[解] 静态工作点

将上式中IdQ的表达式代入UgsQ的表达式得:

由此可得两组解,即UgsQ=0V,IdQ=1mA及UgsQ=-4.5V,IdQ=1.56mA。第二组解中,UgsQ=-4.5V<Ugs(off),此解不成立,所以其结果为:

UgsQ=0V

IdsQ=1mA

UdsQ=UDD-IdQ·Rs=20-1×8=12(V)

电压放大倍数

输入电阻

输出电阻

9.场效应管共栅放大电路

图3-8(a)为共栅放大电路,此电路与晶体三极管共基电路相对应。栅极g是输入回路和输出回路的公共端,故称为共栅放大电路。

(a)共栅组态放大电路

(b)微变等效电路

图3-8 共栅接法放大电路及其等效电路

共栅放大电路的特点是电压放大倍数大,输入输出电压同相,输入电阻小,输入电容小,输出电阻大。共栅放大电路的静态工作点,电压放大倍数,输入电阻及输出电阻的计算如下:

(1)静态工作点的计算

式中 IdQ——Ido是Ugs=2Ugs(th)时的id;

Ugs(th)——场效应管的开启电压。

(2)电压放大倍数

(3)输入电阻

(4)输出电阻

Ro=Rd (3-55)

10.多级放大电路

(1)多级放大电路的耦合方式

图3-9为多级放大电路的耦合形式。

①阻容耦合放大电路。阻容耦合,就是把电容器作为级间的连接元件,并与下级输入电阻连接而成的一种耦合方式,由这种耦合方式连接的多级放大电路,叫阻容耦合放大电路。图3-9(a)为两级阻容耦合放大电路。阻容耦合电路最显着的特点是:利用电容器的隔直流作用,使前级和后级的直流工作状态相互独立而互不影响,因此各级放大电路的静态工作点可单独考虑。

②变压器耦合放大电路。利用变压器把前后两级连接起来的多级放大电路为变压器耦合放大电路。图3-9(b)为两级变压器耦合放大电路。变压器耦合放大电路的特点是:各级静态工作点相互独立,且在传输信号的同时可实现阻抗变换,因此常用于功率放大电路中。

(a)阻容耦合二级放大电路

(b)变压器耦合二级放大电路

(c)直接耦合二级放大电路

图3-9 多级放大电路的耦合形式

③直接耦合放大电路。把前级的输出端直接接到后级的输入端的多级放大电路为直接耦合放大电路,如图3-9(c)所示。直接耦合放大电路适用于对直流信号及变化极其缓慢的交流信号进行放大。由于直接耦合,各级的静态工作点相互影响,因此带来一系列问题,最突出的是零点漂移问题。零点漂移是指输入信号为零时,引起输出电压发生漂移(波动)。产生零点漂移的原因很多,其中温度的影响最为重要。在多级放大电路中,第一、二级受漂移的影响最严重,因此抑制零点漂移的重点在第一、二级。抑制零点漂移最有效的方法是采用差动式放大电路。

(2)多级放大电路的分析方法

多级放大电路的前一级输出信号,可看成后一级的输入信号,而后一级的输入电阻又是前一级的负载电阻。在小信号放大的情况下,运用微变等效电路法,能计算出多级放大电路的输入电阻、输出电阻和电压放大倍数。

①输入电阻。多级放大电路的输入电阻为从第一级看进去的输入电阻。

②输出电阻。多级放大电路的输出电阻为从最后一级看进去的输出电阻。

③电压放大倍数。多级放大电路总的电压放大倍数为各级电压放大倍数的乘积,即:

Au=Au1·Au2…Aun (3-56)

式中 Au——多级放大电路总的电压放大倍数;

Au,Au2…Aun——第一级、第二级……第n级电压放大倍数。

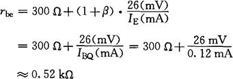
[例3-6] 在图3-10(a)所示的放大电路中,已知两管的β=50,UBE=0.6V,各电容在中频段的容抗可忽略不计。①试估算电路的静态工作点;②画出电路的微变等效电路;③试求中频时各级电压放大倍数Au1、、Au2及总的电压放大倍数Au;④试求输入电阻R1及输出电阻Ro

(a)放大电路

(b)微变等效电路

图3-10

[解] ①静态工作点

②画多级放大电路的微变等效电路。

图3-10(a)所示多级放大电路的微变等效电路如图3-10(b)所示。

③电压放大倍数

④输入电阻

R1=(R1∥R2)∥[rbe1+(1+β)Re1

=(39∥13)∥[0.919+51×0.15]≈4.56(kΩ)

⑤输出电阻

11.放大电路中的负反馈

(1)反馈

把放大电路的输出信号(电压或电流)的一部分或全部送回到放大电路的输入端,并与输入信号(电压或电流)相合成的过程叫反馈。反馈信号起到增强输入信号,使净输入信号增强作用的叫正反馈,反馈信号起到削弱输入信号,使净输入信号减小作用的叫负反馈,放大电路采用负反馈。

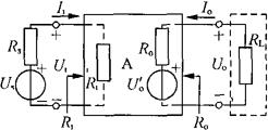
图3-11(a)为基本放大电路。图3-11(b)为反馈放大电路,它由基本放大电路、取样环节,合成环节和反馈电路组成。图3-11(c)为反馈放大电路的框图。反馈放大电路的开环放大倍数、反馈系数和闭环放大倍数的计算表述式为:

(a)未接负反馈的基本放大电路

(b)反馈放大电路的组成

(c)反馈放大电路的框图

图3-11 反馈放大电路的示意图

式中 Xs——输入信号;

Xf——反馈信号;

Xd1——差值信号;

Xo——输出信号;

Ao——开环放大倍数;

F——反馈系数;

Af——闭环放大倍数。

负反馈放大电路有四种基本类型,如表3-1所示。

表3-1 负反馈放大电路的四种基本类型

(2)电压串联负反馈放大电路的计算

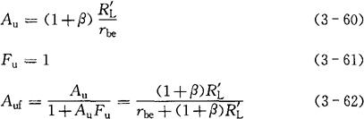
图3-12为电压串联负反馈放大电路。

图3-12 电压串联负反馈放大电路

①放大倍数计算

式中 Au——开环放大倍数;

Fu——反馈系数;

Auf——闭环放大倍数;

β——电流放大系数;

rbe——三极管的输入电阻(Ω);——输出等效电阻,; (3-63)

RE——反馈电阻(Ω);

RL——负载电阻(Ω)。

②输入电阻计算

式中 r1——开环输入电阻(Ω);

r1f——闭环输入电阻(Ω);——考虑RB的闭环输入电阻(Ω);

RB——偏流电阻(Ω)。

③输出电阻计算

式中 ro——开环输出电阻(Ω);

Auo——不考虑RL的开环放大倍数;

rof——闭环输出电阻(Ω)。

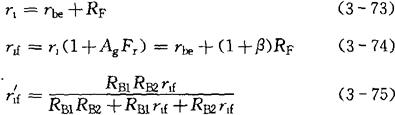
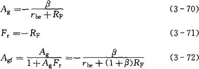
(3)电流串联负反馈放大电路的计算

图3-13 电流串联负反馈放大电路

①放大倍数计算

式中 Ag——开环放大倍数;

Fr——反馈系数;

Agf——闭环放大倍数;

β——电流放大系数;

rbe——三极管的输入电阻(Ω);

RF——反馈电阻(Ω)。

②输入电阻计算

式中 r1——开环输入电阻(Ω);

r1f——闭环输入电阻(Ω);——考虑RB1、RB2的闭环输入电阻(Ω);

RB1、RB2——偏置电阻(Ω)。

③输出电阻计算

ro=rce+RF (3-76)

由于三极管的rce很大,因此ro也很大。

Ago=Ag (3-77)

rof=ro(1+AgoFr) (3-78)

因此,rof也很大。

式中 ro——开环输出电阻(Ω);

rce——三极管的输出电阻(Ω);

Ago——不考虑RL的开环放大倍数;

RL——负载电阻(Ω);

rof——闭环输出电阻(Ω);——考虑RC的闭环输出电阻(Ω);

RC——集电极电阻(Ω)。

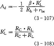
(4)电压并联负反馈放大电路的计算

图3-14为电压并联负反馈放大电路。

图3-14 电压并联负反馈放大电路

①放大倍数计算

式中 Ar——开环放大倍数;

Fg——反馈系数;

Arf——闭环放大倍数;

β——电流放大系数;

rbe——三极管的输入电阻;

RF——反馈电阻(Ω);——输出等效电阻。

RL——负载电阻(Ω);

RC——集电极电阻(Ω)。

②输入电阻计算

式中 r1——开环输入电阻(Ω);

r1f——闭环输入电阻(Ω)。

③输出电阻计算

式中 ro——开环输出电阻(Ω);——集电极等效电阻,; (3-89)

Aro——不考虑RL的开环放大倍数;

rof——闭环输出电阻(Ω)。

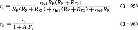
(5)电流并联负反馈放大电路的计算

图3-15为电流并联负反馈放大电路。

图3-15 电流并联负反馈放大电路

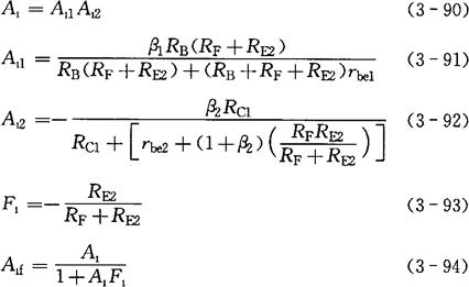
①放大倍数计算

式中 A1——开环放大倍数;

A11——第一级放大电路的放大倍数;

A12——第二级放大电路的放大倍数;

F1——反馈系数;

A1f——闭环放大倍数;

β1、β2——电流放大系数;

rbe1、rbe2——三极管的输入电阻(Ω);

RC1——集电极电阻(Ω);

RE2——发射极电阻(Ω);

RB——偏置电阻(Ω);

RF——反馈电阻(Ω)。

②输入电阻计算

式中 r1——开环输入电阻(Ω);

r1f——闭环输入电阻(Ω)。

③输出电阻计算

由于三极管的rce很大,因此ro也很大。

A1o=A1 (3-98)

rof=ro(1+A1oF1) (3-99)

因此,rof也很大。

式中 ro——开环输出电阻(Ω);

rce2——三极管的输出电阻(Ω);

A1o——不考虑RL的开环放大倍数。

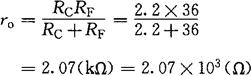
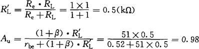
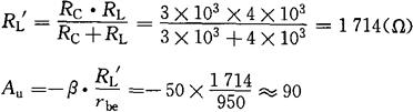
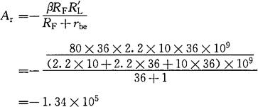
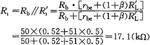
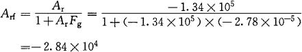
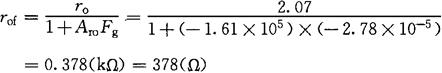
[例3-7] 在图3-14所示的电压并联负反馈放大电路中,已知RC=2.2kΩ,RF=36kΩ,RL=10kΩ,β=80,rbe=1kΩ。试计算放大倍数,输入和输出电阻。

[解] 开环放大倍数

反馈系数

闭环放大倍数

开环输入电阻

闭环输入电阻

开环输出电阻

不考虑负载电阻RL的开环放大倍数

闭环输出电阻

12.差动放大电路

(1)差动放大电路的特点

图3-16是用两个极性相同的三极管组成的最简单的差动放大电路。信号由两基极输入,两集电极输出,电路结构对称,它们的静态工作点相同。

图3-16 差动放大原理电路

1)零点漂移的抑制

静态时,输入信号等于零,由于两管对称,集电极电流相等,集电极的电位也相等,即IC1=IC2,UC1=UC2,故输出端电压Uo=UC1-UC2=0。

当温度或电源电压升高时,两管都产生零点漂移,两管的集电极电流都增大、集电极的电位都下降,两管的变化量相等,即ΔIC1=ΔIC2,ΔUC1=ΔUC2,输出电压Uo=ΔUC1-ΔUC2=0,即抑制了由温度或电源电压变化引起的零点漂移。

2)差动放大电路对信号的放大作用

①共模输入。如果两管基极输入的信号的大小相等、极性相同;即u11=u12,这样的输入称为共模输入。

由于两管对称,共模输入时,两管集电极的电位变化相同,输出电压为零。即差动放大电路共模信号没有放大能力。

②差模输入。如果两管基极输入的信号大小相等,极性相反,即u11=-u12,这样的输入称为差模输入。

差模输入使两管的IC一增一减,相应两管的集电极电位一减一增,两管的集电极电位呈现反向变化,其差值即为输出电压uo=ΔUC1-ΔUC2

③比较输入。如果两管基极输入的信号既非共模、又非差模,其大小和相对极性是任意的,差动放大电路对这样两个信号进行比较放大,即为比较输入。

④共模抑制比。差动放大器的作用是放大有用的差模信号,抑制无用且有害的共模信号。通常用共模抑制比来衡量差动放大器的质量。

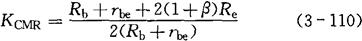
共模抑制比用符号KCMR表示,它定义为差动放大电路对差模信号的放大倍数Ad和对共模信号的放大倍数之比的绝对值。即:

式中 KCMR——共模抑制比;

Ad——差模放大倍数;

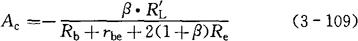
Ac——共模放大倍数。

(2)差动放大电路的输入输出方式

差动放大电路有双端输入,双端输出;双端输入,单端输出;单端输入,双端输出;单端输入,单端输出。共四种输入输出方式。

1)双端输入-双端输出差动放大电路的计算

图3-17为双端输入-双端输出差动放大电路。

图3-17 双端输入-双端输出长尾式差动放大电路

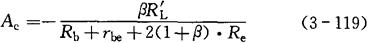
①差模放大倍数

式中 Ad——差模放大倍数;

β——三极管电流放大系数;

rbe——三极管的输入电阻(Ω);

Rb——基极偏置电阻(Ω);

RC——集电极电阻(Ω);

RL——负载电阻(Ω)。

②共模放大倍数

Ac=0 (3-103)

式中 Ac——共模放大倍数。

③共模抑制比

KCMR=∞ (3-104)

式中 KCMR——共模抑制比。

④差模输入电阻

R1d=2(Rb+rbe) (3-105)

式中 R1d——差模输入电阻(Ω)。

⑤差模输出电阻

Rod=2RC (3-106)

式中 Rod——差模输出电阻(Ω)。

2)双端输入-单端输出差动放大电路的计算

图3-18为双端输入-单端输出差动放大电路。

图3-18 双端输入-单端输出长尾式差动放大电路

①差模放大倍数

②共模放大倍数

式中 Re——长尾电阻,可看成是负电源UEE的内阻(Ω)。

③共模抑制比

④差模输入电阻

R1d=2(Rb+rbe) (3-111)

⑤差模输出电阻

Rod=RC (3-112)

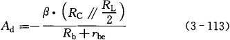
3)单端输入一双端输出差动放大电路的计算

图3-19为单端输入-双端输出差动放大电路。

图3-19 单端输入-双端输出长尾式差动放大电路

①差模放大倍数

②共模放大倍数

Ac=0 (3-114)

③共模抑制比

KCMR=∞ (3-115)

④差模输入电阻

R1d=2(Rb+rbe) (3-116)

⑤差模输出电阻

Rod=2RC (3-117)

4)单端输入-单端输出差动放大电路的计算

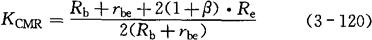
图3-20为单端输入-单端输出差动放大电路。

图3-20 单端输入-单端输出长尾式差动放大电路

①差模放大倍数

②共模放大倍数

③共模抑制比

④差模输入电阻

R1d=2(Rb+rbe) (3-121)

⑤差模输出电阻

Rod=RC (3-122)

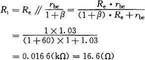
[例3-8] 在图3-17双端输入-双端输出长尾式差动放大电路中,UCC(正电源)=UEE(负电源)=12V,Rb=5.1kΩ,RC=Re=10kΩ,RL=20kΩ,UBEQ=0.6V,β=50,rbe=2.6kΩ,试求电路的静态工作点IBQ、ICQ、UCEQ和电路的动态参数Ad、Ac、KCMR、R1d、Rod的数值。

[解] 静态工作点

根据基极回路方程

对输出回路

UCEQ=UCC+UEE-ICQRC-2IEQRe

=12+12-0.55×10-2×0.55×10

=7.5(V)

差模放大倍数

共模放大倍数

Ac=0

共模抑制比

差模输入电阻

R1d=2(Rb+rbe)=2×(5.1+2.6)=15.4(kΩ)

差模输出电阻

Rod=2RC=2×10=2(kΩ)

13.功率放大电路

向负载提供功率的电路称为功率放大电路即功率放大器。功率放大器既有电压放大作用,又有电流放大作用。

为了使功率放大器输出足够大的功率,一般晶体三极管应工作在极限状态。

按照电路形式的不同,功率放大器可分为单管功率放大器,变压器耦合推挽功率放大器,无变压器功率放大器。

按照功率放大管的工作状态不同,功率放大器可分为甲类功率放大器,乙类功率放大器等。

(1)甲类功率放大电路的计算

单管功率放大器的静态工作点设在交流负载线的中点,在信号的整个周期内,集电极电路都有电流流过,这种工作状态叫甲类工作状态,所以单管功率放大器也称甲类功率放大电路。

图3-21为甲类功率放大电路。

图3-21 单管功率放大电路

①输出功率

式中 Po——输出功率(W);

Ucem——集电极电压的交流峰值(V);

Icm——集电极电流的交流峰值(A)。

②最大输出功率

在理想情况下,最大输出功率为

式中 Pom——最大输出功率(W);

UCC——电源电压(V);

ICQ——集电极静态电流(A)。

③直流电源供出功率

PE=UCC·ICQ (3-125)

式中 PE——直流电源供出功率(W)。

④效率

当忽略变压器损耗,甲类功率放大器的最大功率转换效率为

实际上甲类功率放大器的效率只有30%~40%左右。

式中 η——效率。

⑤管耗

PT=PE-Po (3-127)

式中 PT——管耗。

(2)乙类功率放大电路的计算

乙类推挽功率放大器的静态工作点Q设在Ib=0处,功放管只在输入信号的正半周导通,负半周时截止,这种工作状态称为乙类工作状态。

乙类推挽功率放大器在输出波形的一个周期内,两只管子交替工作,即一只管子承担正半周的放大,另一只管子承担负半周的放大,于是在负载上就获得一个被放大了的完整信号波形。由于两只管子像拉锯一样一推一挽(拉)地工作,所以称为推挽功率放大器。

由于晶体管的输入特性是非线性的,若V1和V2两管的静态基极电流为零,将在两管交替工作时,即合成波形在过零处产生失真,这种失真就是交越失真。通常采用电阻Rb1和Rb2为两只晶体管提供适当的偏流,使静态工作点稍高于截止点来改善交越失真。静态工作点稍高于截止点的工作状态称为甲乙类工作状态。

图3-22为乙类推挽功率放大电路。

图3-22 乙类推挽功率放大器

①最大输出功率

式中 Pom——最大输出功率(W);

UCC——电源电压(V);

RL——负载电阻(Ω);——交流等效电阻(Ω);

——变压器T的匝数比。

②直流电源供出功率

式中 PE——直流电源供出功率(W)。

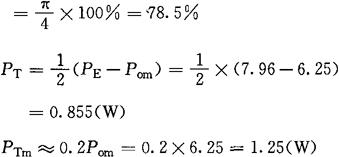
③效率

实际上由于变压器和电阻等损耗,乙类推挽功率放大器的效率一般只能达到60%左右。

④管耗

最大输出功率时,三极管的管耗为:

平均每只三极管的最大管耗为:

PTm≈0.2Pom (3-134)

式中 PT——管耗;

PTm——最大管耗;

Po——输出功率;

PE——直流电源供出功率。

(3)OTL功率放大电路的计算

无变压器的功率放大电路,通常称为OTL功率放大电路。()TL功率放大电路有两类功放电路:一类不用输出变压器;另一类既不用输出变压器也不用输入变压器。

图3-23为OTL功率放大电路。

(a)原理电路

(b)实用电路

图3-23 OTL功率放大电路

①最大输出功率。在理想情况下,即晶体三极管饱和管压降可以忽略情况下的最大输出功率为:

通常情况下,大功率管的饱和压降UCES为2~3V,不能忽略,其最大输出功率为:

式中 Pom——最大输出功率(W);

UCC——电源电压(V);

UCES——三极管饱和管压降(V);

RL——负载电阻(Ω)。

②直流电源供出功率。理想情况下,直流电源供出功率为:

通常情况下,直流电源供出功率为:

式中 PE——直流电源供出功率(W)。

③效率

④管耗

最大输出功率时,三极管的管耗为:

平均每只三极管的最大管耗为:

PTm≈0.2Pom (3-142)

式中 PT——管耗(W);

PTm——最大管耗(W);

Po——输出功率(W);

Pom——最大输出功率(W);

PE——直流电源供出功率。

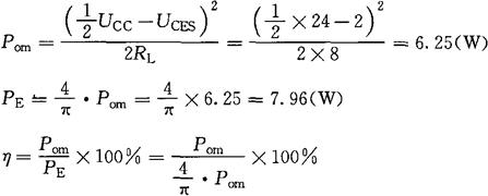
[例3-9] 在图3-23所示的OTL功率放大电路中,已知UCC=24V,RL=8Ω,UCES=2V。试求:通常情况下,功率放大器的最大输出功率Pom,直流电源供出功率PE,效率η和最大输出功率时,三极管的管耗PT,以及平均每只三极管的最大管耗PTm

[解] 最大输出功率

随便看

 

离鸟网收录3541549条中英文词条,其功能与新华字典、现代汉语词典、牛津高阶英汉词典等各类中英文词典类似,基本涵盖了全部常用中英文字词句的读音、释义及用法,是语言学习和写作的有利工具。

 

Copyright © 2004-2024 vtrois.com All Rights Reserved
更新时间:2026/4/8 8:27:03