网站首页  词典首页


请输入您要查询的字词:

 

字词 放射性衰变的规律
类别 中英文字词句释义及详细解析
释义

放射性衰变的规律


1.衰变定律 实验证明,放射性核素在某一时刻的衰变数dN与其核数目N及时间dt成正比,即

dN=-λNdt (10.2-1)

其中λ为一常数,称为衰变常数,负号表示衰变过程中核素的核数目在减少。若设零时刻的核数目为N0,t时刻的核数目为N,将上式对时间求积分,则很容易得到

N=N0e-λt (10.2-2)

这就是放射性衰变定律。可以看出,放射性核素随时间t呈指数衰减(如图10.2-2),并逐渐趋于零。

让我们考虑另一种情况。如果我们用某种方法(例如用稳定的中子束照射某种可以活化的样品)每秒钟可产生A个某放射性核,那么t时间以后这种放射性核有多少?显然,生成的放射性核数目不是A×t,因为在t时间内一方面每秒钟产生A个核,另一方面生成的放射核也在不断衰变,假定在t时刻放射性核数为N(t),那么这时在dt时间内放射性核数的变化为

dN=Adt-λN(t)dt (10.2-3)

式右边第一项是产生的核数,第二项是因衰变减少的核数,假定t=0时N(0)=0,那么,解微分方程可得;

这一结果说明,以单位时间稳定产额A产生放射性核素时,放射性核数以(1-e-λt)的关系随时间增涨,逐渐趋近于极限值A/λ。(如图10.2-3)。

图10.2-2 放射性衰减与时间的关系

图10.2-3 放射性增长与时间的关系

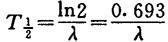
2.半衰期 若放射性核素经过一定时间t后,它的核数目衰变至原来核数目的一半,

N=N0e-λt=N0/2

那么这个时间就称为该核素的半衰期,并用表示。可以看出:

对于某一放射性核素,它的半衰期是固定的,不同的放射性核素具有不同的半衰期,而且不管放射性核素初始核数多少,经过时间以后,总是剩下原来的一半,这在图10.2-2中可清楚地看到。

3.放射性平衡 许多情况下某一种放射性核素衰变后形成的核素仍是放射性核素。这时人们通常关心的是子体活度与母体活度随时间变化的关系。我们仍从放射性衰变的规律出发来考虑这一问题。

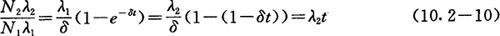
我们分别用N1、N2、λ1及λ2表示母体及子体的核数目及它们的衰变常数。和式(10.2-3)相似,子体核数的变化

dN2=(λ1N1-λ2N2)dt (10.2-5)

其中等式右边第一项是由于母体衰变而增加的核数.第二项则是因子体本身的衰变而减少的核数。若t=0时,N2=0,可以得到

并可证明,当

时,子体核数达最大值,可以看出,无论λ1>λ2或λ1<λ2,tm均大于零。将tm值代入式(10.2-6)得到

λ1N12N2 (10.2-8)

即子体与母体的衰变率相等.这种状态称之为放射性衰变的理想平衡状态。理想平衡状态时子体的核数(因此它的衰变率)最大,这个结果对于从母体放射性核素获取子体放射性核素是非常有用的。

以下我们略去推导,给出不同的λ1及λ2时子体衰变率与母体衰变率随时间变化的关系。

(1)λ1>λ2,即子体的半衰期大于母体的半衰期:

这种情况下,当t>tm时,N2λ2>N1λ1,但母体很快衰变为0,然后子体也按e-λ2t的指数衰减为零。

(2)λ1~λ2,且λ21+δ,即子体与母体的半衰期相近,但子体的半衰期略小于母体半衰期,那么式(10.2-9)可写成

即子体衰变率与母体衰变率的比值随时间t线性增长。

(3)λ1<λ2。即母体的半衰期大于子体的半衰期。

若t足够大,则可得:

即在足够长的时间以后子体与母体衰变率的比值为一常数。这也是一种平衡状态,称为暂时或非稳定平衡(transient equilibrium)。值得注意的是在非稳定平衡状态情况下子体的衰变率总是高于母体的衰变率。

如果λ1《λ2,即母体的半衰期比子体半衰期长很多,那么式(10.2-9)就可简化为

N2λ2=N1λ1(1-e-λ2t) (10.2-12)

这实际上是与式(10.2-4)相似的一种情况。如果t与母核的半衰期相比很小,那么在t时间内母体核数N1可认为是常数,这时上式即与式(10.2-4)相同。如果时间很长。则指数项为0,则

N2λ2=N1λ1 (10.2-13)

即子体的衰变率总是与母体的衰变率相等。这种情况称永久平衡(secular equilibrium)。

以上只是考虑两种连续衰变的放射性核素的情况,对于连续多种放射性核素的衰变,可以用以上考虑方法类推。

4.放射性衰变的统计性 根据式(10.2-2),在0时刻核数为N0的某放射性核素在0→t时间内的总衰变数应为

D=N0-N=N0(1-e-λt) (10.2-14)

如果我们用一个半衰期足够长的核素,使得在一定时间Δt内N0可认为不变,那么,若在这一段时间内取若干个时间间隔Δti=Δt测量它的衰变数,根据式(10.2-14),应得到

Di=N0(1-e-λΔti)=N0(1-e-λΔt) (10.2-15)

即所有的Di应相等。但事实上,即使排除了仪器不稳等不稳定因素,得到的Di也不是相等的,这是因为放射性衰变是随机事件,即它服从一定的概率分布,因此,式(10.2-13)或(10.2-14)所表示的结果只是测量的期望值,测量的平均值是期望值的近似值,我们测量的次数愈多,其平均值愈接近期望值。

了解放射性衰变的统计性不仅可以帮助我们分析已获得的测量结果,还可以预估我们测量可以获得的准确度。

(1)放射性衰变的概率分布

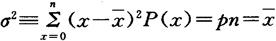
一个放射性核在0→t时间内衰变的概率p=1-e-λt,其中λ是它的衰变常数。若有n个放射性核,获得衰变数为x的概率为P(x),,则P(x)可服从以下两种之中的一种分布。

泊松(Poisson)分布。当p《1时,即我们测量时间与半衰期相比很小,或者我们探测的效率很低时,P(x)符合泊松分布

已知x的平均值则很易得到。将代入式(10.2-16)得到

高斯(Gauss)分布。泊松分布假设了p《1,如果进一步假设很大(例如或30),则P(x)服从高斯分布。

一般的放射性计数测量都满足P《1和较大这两个条件,因此高斯分布适用。这时有

其中,即衰变数与衰变数平均值之差。可以看出,xd的分布对于是对称的。

(2)测量的统计误差 根据定义及式(10.2-17)或(10.2-18)得到泊松分布和高斯分布的期望方差:

即泊松分布和高斯分布的期望方差等于它们的平均值。平均值的标准偏差:

平均值的相对标准偏差:

即衰变数平均值的相对标准偏差是平均值开方根的倒数。这些都是极为重要的结果。

这里x都是指衰变数,而在实际测量中,我们得到的都是计数,但结果同样适用于计数,因为计数是衰变和探测效率ε的乘积,而ε一般可以认为是常数。因此公式对于计数同样成立。

(3)最佳测量时间分配

常常需要考虑,在给定的时间T内,如何使测量结果的统计误差最小。

假设一个放射源引起的净计数率为S,本底引起的净计数率为B,为了获得放射源引起的净计数,一次用Ts+B的时间测得源和本底引起的总计数NS+B,一次用TB的时间测得本底计数NB,我们得到源的净计数率

利用误差传递公式和标准偏差的公式,并考虑到Ts+B+TB=T是给定的,可以求出,当

时,S的标准偏差σs最小。因此为了合理分配测量时间,我们应在测量之前,初步估计出源引起的计数率和本底计数率,然后按(10.2-21)式分配测量时间。

【参考文献】:

[1]ICRU,Radiation quantities and units,ICRU,Report 33(1980).

[2]ICRU,Neutron dosimetry for biology and medicine.ICRU,Report 26(1977)

[3]ICRU. Determination of dose equivalents resulting from external radiation sources, Report 39 (1985).

[4]ICRU,Determination of dose equivalents resulting from external radiation sources,Part 2,Report 43(1988).

[5]Quantities and units in radiation protection dosimetry. ICRU,Report 51(1993).

[6]ICRP.1990 Recommendations of the ICRP Publication 60(1991).

[7]ISO—8529, Neutron reference radiation for calibrating neutron measuring devices used for radiation protection purpose and for determining their response as a function of neutron energy.

[8]IEC—1005,Portable neutron ambient dose equivalent ratemeter for use in radiation protection (1990).

[9]IAEA,Guideline on calibration of neutron measuring devices, IAEA Technical Reports Series No. 285(1988).

[10]卢希庭,原子核物理,原子能出版社,1981。

[11]梅镇岳,原子核物理学,科学出版社,1961。

[12]Mann,W. B. ,A handbook of radioactivity measurements procedures,NCRP Report 58(1985).

[13]Johnson C. H. ,Fast Neutron Physics,Part I,Interscience Publisher (1960).

[14]Knoll,G. F. , Radiation Detection and Veasurement, 2nd Ed.,John Wiley & Sons(1989).

[15]Attix,F.H. , Tochlin, E. , Radiation Dosimetry. Vol.1-4,Academic Press ,New York(1968).

随便看

 

离鸟网收录3541549条中英文词条,其功能与新华字典、现代汉语词典、牛津高阶英汉词典等各类中英文词典类似,基本涵盖了全部常用中英文字词句的读音、释义及用法,是语言学习和写作的有利工具。

 

Copyright © 2004-2024 vtrois.com All Rights Reserved
更新时间:2026/4/7 23:20:07