网站首页  词典首页


请输入您要查询的字词:

 

字词 放样尺寸的确定
类别 中英文字词句释义及详细解析
释义

放样尺寸的确定


放样时的坯料尺寸由零件的展开尺寸、工艺变量(伸长或收缩量)及加工余量三部分所组成。其确定方法可参见表3-3。

表3-3 确定坯料的方法

1.筒节

(1)卷制筒节的周长

其计算式为:

l=Kπ(Dn+S)+2△

式中 Dn——筒节的直径(mm);

l——筒节的周长(mm);

K——修正系数(见表3-4);

表3-4 Kπ值

S——工艺变量(伸长或收缩量);

△——边缘加工余量(见表3-5)。

表3-5 边缘加工余量4 (mm)

(2)环缝加工余量

薄壁筒节每端余量见表3-5。厚壁筒节的端部错位矫正困难,所以每端应放出7~18mm。

2.90°压制弯头(见图3-4)

(a)

(b)

图3-4 90°压制弯头

可用试验法确定坯料尺寸,其步骤为:

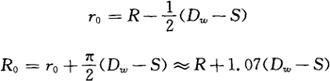
①以半径r0及R0画同心圆。

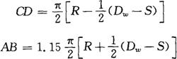
②取CD等于弯头内侧展开弧长;取AB等于弯头外侧弧头,且放15%压制收缩量,即

③沿着圆弧两端作切线,放出弯头直段的长度。

④周边再放15~35mm余量作下料线。

⑤画出等距坐标线,并将坯料线附近的交点打上样冲眼和钢印编号。

⑥下料试压(样冲眼标记在外壁),测量工件尺寸,画修正线并依据坐标线修正坯料的尺寸。

随便看

 

离鸟网收录3541549条中英文词条,其功能与新华字典、现代汉语词典、牛津高阶英汉词典等各类中英文词典类似,基本涵盖了全部常用中英文字词句的读音、释义及用法,是语言学习和写作的有利工具。

 

Copyright © 2004-2024 vtrois.com All Rights Reserved
更新时间:2026/4/7 7:39:36