网站首页  词典首页


请输入您要查询的字词:

 

字词 放边与收边
类别 中英文字词句释义及详细解析
释义

放边与收边


使坯件的某一边变薄伸长来制造曲线弯边零件的方法称为放边。收边与它相反,是用使坯料某一边长度缩短、厚度变大的方法来制造曲线形零件的方法。图6-23中用角钢制造的两个零件,(a)用放边方法外弯,(c)用收边方法内弯,以下均以角材为例说明。

图6-23 收边与放边

1.放边

放边通常有三种方法:

(1)打薄放边

如图6-24,将角材一翼放在方铁上,使其内侧可靠贴合(否则锤击时易翘曲),用稍软的錾口锤(如铝锤)对弯曲部锤击。錾口稍外斜,锤痕长约为3/4翼宽,并呈放射状分布;边锤击边用样板检查。若加工硬化严重,还要退火后再锤击。这样可将坯料逐渐锤放成曲线弯曲边的零件,效果显着。

图6-24 放边

(2)拉薄放边

将要放的一边置于厚橡皮或木墩上锤放。在锤击时,锤痕两侧的材料还对受击线有拉伸作用,所以零件被击表面较光滑,但成形速度低。为免拉裂,可交替进行放边和弯曲。

(3)型胎放边

将坯件放入型胎中通过锤击顶木进行展放。

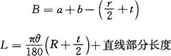
零件放边展开尺寸(下料尺寸)的计算。对于图6-23(a)所示角形断面零件,先裁出长L、宽B的矩形板(图6-25),再折弯成图6-23(b)的角形坯料,最后锤放成所需零件。适于凹曲线弯曲件(如角材内弯)。下料尺寸按以下公式计算:

图6-25 板坯尺寸

式中 a——锤放边宽度;

b——另一边宽度;

θ——锤放圆弧的角度,单位为度;

R——弯曲半径。

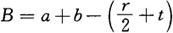
2.收边

(1)收边操作

用起皱钳(尖头钳)使要收的部位起皱,皱纹要密、匀;如坯料厚,放在硬木上用錾口锤錾出皱纹。然后在规铁上用木拍板或硬橡皮拍板将皱纹打平,见图6-26。起皱钳用Φ10mm钢棍制成。

图6-26 收边

(2)收边下料尺寸

式中符号同放边下料公式。

收边与放边前要将坯料毛刺锉光。操作中随时用样板或量具检查。

随便看

 

离鸟网收录3541549条中英文词条,其功能与新华字典、现代汉语词典、牛津高阶英汉词典等各类中英文词典类似,基本涵盖了全部常用中英文字词句的读音、释义及用法,是语言学习和写作的有利工具。

 

Copyright © 2004-2024 vtrois.com All Rights Reserved
更新时间:2026/4/7 13:38:42