网站首页  词典首页


请输入您要查询的字词:

 

字词 数制变换
类别 中英文字词句释义及详细解析
释义

数制变换


1.常用计数制

(1)十进制数

十进制数由0~9十个不同的数码符号组成,并且逢“十”进位。任意一个十进制数A可表示为

A=an-1·10n-1+an-2·10n-2+…+a1·101+a0·100+a-1·10-1+a-2·10-2+…

式中 A——任意一个十进制数;

i——数的某一位;

ai——第i位的数码,即0~9中任一个数码;

n——数A整数部分的位数;

m——数A小数部分的位数;

10——十进制的基数。

[例1-1] (2734.65)10=2×103+7×102+3×101+4×100+6×10-1+5×10-2

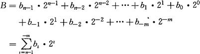
(2)二进制数

二进制数由0和1两个数码符号组成,并且逢“二”进位。其表达式为

式中 B——任意一个二进制数;

i——数的某一位;

bi——第i位的数码,即0或1;

n——数B整数部分的位数;

m——数B小数部分的位数;

2——二进制的基数。

[例1-2] (1011.01)2=1×23+0×22+1×21+1×20+0×2-1+1×2-2

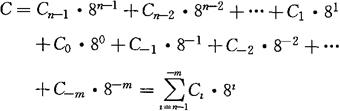
(3)八进制数

八进制数由0~7八个数码符号组成,并且逢“八”进位。其表达式为

式中 C——任意一个八进制数;

i——数的某一位;

Ci——第i位的数码,即0~7中任一个数码;

n——数C整数部分的位数;

m——数C小数部分的位数;

8——八进制的基数。

[例1-3] (163.25)8=1×82+6×81+3×80+2×8-1+5×8-2

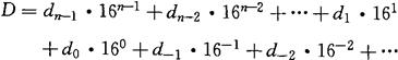
(4)十六进制数

十六进制数由0~9和A~F十六个数码符号组成,并且逢“十六”进位。其表达式为

式中 D——任意一个十六进制数;

i——数的某一位;

di——第i位的数码,即0~9和A~F中任一数码;

n——数D整数部分的位数;

m——数D小数部分的位数;

16——十六进制的基数。

[例1-4] (52A.1C)16=5×162+2×161+A×160+1×16-1+C×16-2

上式中A相当于十进制数中的10,C相当于12。

2.常用计数制之间的转换

常用计数制数码对照见表1-22。

表1-22 十进制、二进制、八进制、十六进制数码对照表

(1)二进制、八进制、十六进制数与十进制数之间的转换

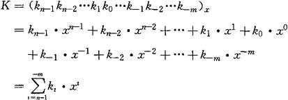
二进制、八进制、十六进制数转换成十进制数的方法为

式中 K——某一任意进制数;

i——数的某一位;

ki——第i位的数码;

n——数K整数部分的位数;

m—-数K小数部分的位数;

x——任意进制的基数。

[例1-5] (1101.101)2=1×23+1×22+1×20+1×2-1+1×2-3=(13.625)10

[例1-6] (263.74)8=2×82+6×81+3×80+7×8-1+4×8-2=(179.9375)10

[例1-7] (5A2.C8)16=5×162+10×161+2×160+12×16-1+8×16-2=(1442.78125)10

十进制数转换成二进制数的方法是整数部分除2取余数,小数部分乘2取整数。

[例1-8] 把十进制数109.8125转换成二进制数。

[解] 整数部分转换方法为:

因此,(109)10=(1101101)2

小数部分转换方法为:

因此,(0.8125)10=(0.1101)2

所以,(109.8125)10=(1101101.1101)2

同样,十进制数转换成八进制数的方法是整数部分除8取余数和小数部分乘8取整数;十进制数转换成十六进制数的方法是整数部分除16取余数和小数部分乘16取整数。另外,也可先将十进制数转换成二进制数,再由二进制数转换成八进制或十六进制数。

(2)八进制数与二进制数之间的转换

每三位二进制数可用一位八进制数来表示,并且按表1-22中的对应关系来转换。

[例1-9] (276.134)8=(010111110.001011100)2=(10111110.0010111)2

[例1-10] (1011101.00111)2=(001011101.001110)2=(135.16)8

(3)十六进制数与二进制数之间的转换

每四位二进制数可用一位十六进制数来表示,并且按表1-22中的对应关系来转换。

[例1-11] (5A4.6DC)16=(010110100100.011011011100)2=(10110100100.0110110111)2

[例1-12] (1101011011.01001111111)2=(001101011011.010011111110)2=(35B.4FE)16

随便看

 

离鸟网收录3541549条中英文词条,其功能与新华字典、现代汉语词典、牛津高阶英汉词典等各类中英文词典类似,基本涵盖了全部常用中英文字词句的读音、释义及用法,是语言学习和写作的有利工具。

 

Copyright © 2004-2024 vtrois.com All Rights Reserved
更新时间:2026/4/7 20:34:39