网站首页  词典首页


请输入您要查询的字词:

 

字词 数字电路
类别 中英文字词句释义及详细解析
释义

数字电路


1.逻辑关系

数字电路是指输出信号和输入信号之间存在一定逻辑关系的电路。

(1)与

当决定某件事情的各个条件都具备时,这件事情才发生,那么这件事情和各个条件的关系为与。

①表示与关系的电路。在图3-64中,只有当开关A和B都闭合时,灯F才亮,那么灯亮这件事情和开关A、B的关系为与。(开关之间串联即为与)

图3-64 逻辑与关系的实例

②逻辑表达式

F=A·B (3-265)

式中 F——输出量;

A、B——输入变量(A、B均有0或1两种状态)。

③与的计算口诀:有0出0;全1为1。

④逻辑符号,如图3-65所示。

图3-65 与门逻辑符号

⑤真值表,如表3-2所示。

表3-2 与门电路的真值表

(2)或

当决定某件事情的各个条件中,只要具备一个或几个时,这件事情都能发生,那么这件事和各个条件的关系为或。

①表示或关系的电路。在图3-66中,开关A闭合,或B闭合,或A和B都闭合,灯F都会亮,那么灯亮这件事情和开关A、B的关系为或。(开关之间并联即为或)。

图3-66 逻辑或关系的实例

②逻辑表达式

F=A+B (3-266)

③或的计算口诀:有1出1;全0为0。

④逻辑符号,如图3-67所示。

图3-67 或门逻辑符号

⑤真值表,如图3-3所示。

表3-3 或门电路的真值表

(3)非

输出信号与输入信号保持相反的关系为非。

①表示非关系的电路。在图3-68中,E为电源电势,R为限流电阻,S为开关,F为灯。

图3-68 逻辑非关系的实例

设开关S闭合为1,断开为0;灯F亮为1,灯F暗为0。开关S断开为0时,电流经灯F形成回路,灯F亮为1。开关S闭合为1时,电流经开关S形成回路,灯F暗为0。灯F为输出,开关S为输入,两者信号始终保持相反的关系即为非。

②逻辑表达式 (3-267)

式中 S——输入量;

-——S上面的横线表示非。

③非的计算口诀:有0出1;有1出0。

④逻辑符号,如图3-69所示。

图3-69 非门逻辑符号

⑤真值表,如表3-4所示。

表3-4 非门电路的真值表

(4)与非

与和非的结合,即构成与非关系。

①逻辑表达式

②逻辑符号,如图3-70所示。

图3-70 与非门逻辑符号

③与非的计算口诀:有0出1;全1为0。

④真值表,如表3-5所示。

表3-5 与非门电路的真值表

(5)或非

或和非的结合,即构成或非关系。

①逻辑表达式

②逻辑符号,如图3-71所示。

图3-71 或非门逻辑符号

③或非的计算口诀:有1出0;全0为1。

④真值表,如表3-6所示。

表3-6 或非门电路的真值表

2.逻辑代数

逻辑代数是数字电路分析和设计的主要数学工具。

数字电路是反映输入与输出之间的逻辑关系。逻辑关系由逻辑函数表示。逻辑函数由逻辑变量A、B、C……和基本逻辑运算符号·(与),+(或),-(非)及括号,等号等构成的表达式来表示。如:

式中A、B、C称为原变量,称为对应的反变量,F称为逻辑函数(称为逻辑反函数)。

(1)逻辑加运算和法则

①逻辑加运算规则

0+0=0 (3-271)

0+1=1 (3-272)

1+0=1 (3-273)

1+1=1 (3-274)

②逻辑加运算法则

A+0=A (3-275)

A+1=1 (3-276)

A+A=A (3-277)

(2)逻辑乘运算和法则

①逻辑乘运算规则

0·0=0 (3-278)

0·1=0 (3-279)

1·0=0 (3-280)

1·1=1 (3-281)

②逻辑乘运算法则

A.0=0 (3-282)

A·1=A (3-283)

A·A=A (3-284)

注:对逻辑变量A、B进行逻辑乘运算,其结果用F表示,那么逻辑表达式为:F=A·B或者省略“·”,写成F=AB

(3)逻辑非运算和法则

①逻辑非运算规则

②逻辑非运算法则

(4)基本运算定律

①交换律

A+B=B+A (3-290)

A·B=B·A (3-291)

②结合律

(A+B)+C=A+(B+C) (3-292)

(A·B)·C=A·(B·C) (3-293)

③分配律

A+(B·C)=(A+B)·(A+C) (3-294)

A·(B+C)=A·B+A·C (3-295)

④吸收律

⑤冗余律

⑥狄·摩根定律

3.基本运算规则

(1)运算顺序

先算括号,再算非,然后算与,最后算或。

(2)代入规则

在逻辑等式中,如果在等式两边出现的某个变量,都用同一个逻辑式代替,则等式仍然成立,这就是代入规则。

例如,已知,若A=D+E,则:

(3)反演规则

反演规则即狄·摩根定律。

(4)对偶规则

将逻辑式F中所有的乘,即“·”换成加,即“+”,所有的“+”换成“·”,“0”换成“1”,“1”换成“0”,变量保持不变,得到新逻辑式F′。F′称为F的对偶式。

例如,已知,则其对偶式为:

4.逻辑函数的公式化简法

(1)并项化简法

利用公式,把两个乘积项合并成一项,从而消去一个变量或表达式,剩下两个乘积项的公共因子。

[例3-24] 试化简逻辑式

(2)配项化简法

利用公式增加必要的乘积项,重配项,以便于消去其他项。

[例3-25] 试化简

(3)吸收化简法

利用吸收律1,即A+AB=1,消去多余的项;利用吸收律2,即A+AB=A+B,消去多余的因子。

[例3-26] 试化简逻辑式

5.逻辑函数的卡诺图化简法

(1)最小项

n个变量X1,X2,…,Xn的最小项是n个因子的乘积,每个变量都以它的原变量或反变量的形式在乘积项中出现,且仅出现一次。

举例来说,设A、B、C是3个逻辑变量,由这3个变量可以有8个乘积项,这些乘积项中各变量只出现一次,这8项即为最小项,每个最小项有3个因子。变量与最小项真值表如表3-7所示。

由表3-7可得到最小项的性质:

表3-7 变量与最小项真值表

①对于任意一个最小项,只有一组变量的取值使其值为1,而在变量取其他各组值时这个最小项的取值都是0。例如:最小项为1的对应于变量组的取值是010,除此之外,其他变量组取值都使

②对于变量的任一组取值,任意两个最小项之积为0。

③对于变量的一组取值,全部最小项之和为1。

用符号mi表示最小项。下标i是该最小项值为1时对应的变量组取值的十进制等效值,如最小项记作m2,下标2对应最小项时变量组取值010,而010相当于十进制的2,因而下标i=2。由此可见表3-7中从左到右的8个最小项的表示符号分别为m0,m1,m2,…,m7

(2)卡诺图

卡诺图是真值表的图形表示。图3-72分别表示了二变量、三变量、四变量和五变量的卡诺图。

(a)二变量

(b)三变量

(c)四变量

(d)五变量

图3-72 卡诺图

有关卡诺图的说明:

①卡诺图中的每一个方格代表一个最小项,方格内的数字表示相应最小项的下标,最小项的逻辑取值填入相应方格。

②卡诺图方格外为输入变量及其相应逻辑取值,变量取值的排序不能改变。

③卡诺图中相邻的两个方格称为逻辑相邻项,相邻项中只有一个变量互为反变量,而其余变量完全相同。如图3-72(b)中4、5相邻方格,对应的最小项分别为。除相邻的两个方格是相邻项外,卡诺图左右两侧、上下两侧相对的方格也是相邻项。如图3-72(c)中,方格4、6为相邻项,方格1、9也为相邻项。

(3)逻辑函数表达式画卡诺图

①逻辑函数最小项表达式画卡诺图。

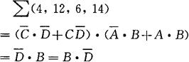
若函数表达式是最小项表达式,例如,F(A,B,C,D)=∑m(0,1,3,5,10,11,12,15),可根据图3-72(c)所示的四变量卡诺图的形式,将上述逻辑函数最小项表达式中的各项,在卡诺图对应方格内填入1,即在四变量卡诺图中,将与最小项m0,m1,m3,m5,m10,m11,m12,m15对应的格内填入1。四变量卡诺图中其余的方格内均填入0。最后得出如图3-73所示的F函数的卡诺图。

图3-73 卡诺图

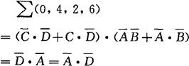
②逻辑函数非最小项表达式,转换为最小项表达式画卡诺图。

若函数表达式是非最小项表达式,可先转换成最小项表达式,再画出其卡诺图。例如:G(A,B,C)=AB+BC+AC。有

在对应的卡诺图3-72(b)中最小项下标为3,5,6,7的方格内填入1,其余的方格内均填入0,得到如图3-74所示的卡诺图。

图3-74 卡诺图

③逻辑函数非最小项表达式直接画卡诺图。

非最小项表达式的函数表达式可直接画出卡诺图。例如,L(A,B,C)=A+BC。与项A对应卡诺图A=1一行下面四个方格,而与项BC对应卡诺图BC=11一列两个方格,在这些方格中填1,其余方格中填0,即可得到函数L的卡诺图,如图3-75所示。

图3-75 卡诺图

(4)卡诺图化简步骤

①画出逻辑函的卡诺图。方法如(3)所述。

②圈最小项。

圈最小项有圈1,圈0及利用约束项三种情况。一般采用圈1的方法,当逻辑函数的卡诺图中填1的方格较多,而填0的方格较少时,可通过圈0合并最小项进行化简,要比圈1合并最小项化简方便。圈0合并最小项,得到的是逻辑函数的非式,再通过取非法则,才能得到逻辑函数的表达式。

逻辑函数中不允许出现的输入变量组合所对应的最小项为约束项。约束项不作用于电路输入端,约束项使函数值取1或取0都不影响电路的输出。约束项可取1也可取0,利用约束项化简逻辑函数时,如圈1合并最小项时,可视为1,如圈0合并最小项可视为0。这样能方便地把逻辑函数化简为更简的形式(约束项用符号Φ表示)。

圈最小项的方法:

a.相邻的最小项可圈。

b.最大范围圈,但圈内方格数只能是2i(i=0,1,2,…,n)。圈内方格数越多,消去的变量越多,表达式就越简单。

c.最小项可重复使用,但是每画一个圈,至少有一个最小项未被圈过。

d.圈的个数应尽可能少。因为圈的个数越少,化简后的乘积项越少,得到的表达式越简单。

③合并最小项。

对各个圈过的最小项分别先进行列-列相加,行-行相加,然后列加-行加相与,最后将所有合并的最小项相加,从而得到简化的逻辑表达式。

[例3-27] 试用卡诺图化简函数F(A,B,C,D)=∑m(0,1,2,4,5,6,8,9,12,13,14)。

[解] ①画卡诺图。

将上述逻辑函数最小项表达式中的各项,在卡诺图对应方格内填入1,即在四变量卡诺图中,将最小项m0,m1,m2,m4,m5,m6,m8,m9,m12,m13,m14对应的格内填入1。其余的方格内均填入0。得如图3-76所示的F函数卡诺图。

图3-76

②圈最小项。

把相邻的8个方格m0、m1、m4、m5、m12、m13、m8、m9圈起来,把相邻的4个方格m0、m4、m2、m6圈起来,把相邻的4个方格m4、m12、m6、m14圈起来。

③合并最小项。

把所圈的8个方格进行,列-列相加,行-行相加,再列加-行加相与,得:

(注:相加时,互为反变量所对应的字母消去,互为同变量的字母保留)。

同理:

最后把合并后的乘积项相加,就可得到最简的逻辑表达式:

[例3-28] 试用卡诺图化简函数F(A,B,C,D)=∑m(0~3,5~11,13~15)。

[解] ①由函数F画出卡诺图,如图3-77(a)所示。

(a)卡诺图

(b)卡诺图圈

(c)卡诺图圈0

图3-77

②用圈1的方法化简,如图3-77(b)所示。得:

③用圈0的方法化简,如图3-77(c)所示。得:

两种化简方法的结果相同。

[例3-29] 试用卡诺图化简逻辑函数F(A,B,C,D)=∑m(4,6,8,9,10,12,13,14)+∑d(0,2,5)。10,

该例为利用约束项化简逻辑函数。在逻辑函数表达式中约束项通常用∑d(---)表示,例如∑d(8,9,10),说明最小项m8,m9,m10是约束项。有时也用逻辑表达表示函数中的约束项。例如,表示所包含的最小项为约束项。

[解] ①由函数F画出卡诺图,如图3-78所示。

(a)

(b)

图3-78

②不考虑约束项,用卡诺图化简如图3-78(a)所示,其简化表达式为:

③考虑约束项,用卡诺图化简如图3-78(b)所示,其简化表达式为:

6.组合逻辑电路的分析

组合逻辑电路分析的主要任务是根据给出的逻辑图确定逻辑功能。其一般步骤如下:

①写出逻辑图输出端的逻辑表达式。

②化简和变换逻辑表达式。

③列出真值表。

④根据真值表和逻辑表达式对逻辑电路进行分析,最后确定电路的逻辑功能。

[例3-30] 试分析图3-79所示逻辑电路的逻辑功能,要求写出输出表达式,列出真值表。

图3-79

[解] ①从给出的逻辑图,由输入向输出,写出各级逻辑门的输出逻辑表达式:

②进行逻辑变换和化简

③列出真值表如表3-8所示。

表3-8 图3-79电路的真值表

由表达式和真值表可知:图3-79逻辑图实现的逻辑功能是异或运算。

7.组合逻辑电路的设计

组合逻辑电路的设计,就是对给定的实际逻辑问题,构成逻辑电路的过程。通常组合逻辑电路的设计按下列四个步骤进行。

①列真值表。其方法是,根据给定的实际逻辑问题,确定哪些是输入量,哪些是输出量,以及它们之间的关系。然后对它们赋值,列出真值表。

②写表达式。其方法通常是由真值表写出最小项表达式。

③化简逻辑表达式。通常采用卡诺图化简法,输入变量多于四个时可用公式化简法。

④画出逻辑图。通常可根据简化表达式,用基本逻辑门组成逻辑电路。

[例3-31] 设计一个三变量输入多数表决组合逻辑电路,即三个变量中有两个或三个同意时,表决通过。

[解] ①设输入变量为A、B、C,输出变量为F。设A、B、C同意时为1,不同意时为0;输出F通过时为1,不通过为0。

然后,可根据该逻辑问题的要求,列出真值表,见表3-9。

表3-9 例3-31的真值表

②由真值表写出最小项表达式

③用卡诺图化简该逻辑函数F,如图3-80所示。化简后得:

图3-80

F=AB+BC+AC

④按照表达式F=AB+BC+AC,可得逻辑图3-81所示。

图3-81 F=AB+BC+AC的逻辑图

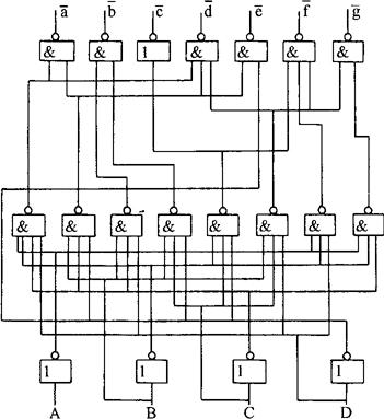
[例3-32] 作七段显示译码器。

荧光数码管是一种指形电子管,它由直热式阴极、网状栅极和七段互相独立的阳极组成。七段阳极的不同组合,可显示十进制数0~9十个数码,如图3-82所示。

[解] ①以8421码为例,输入量为8421码A、B、C、D,输出量为数码管的七个显示段a、b、 c、d、e、f、g。按照图3-82所示的七段数字显示法,列出输出和输入之间关系的真值表,如表3-10所示。表中输出各显示段亮时用1表示,不亮时用0表示。

图3-82 七段数字显示方法

表3-10 七段显示译码器真值表

②由表3-10所示七段显示译码器真值表可画出7个显示段a、b、c、d、e、f、g的卡诺图,如图3-83所示。

图3-83 七段显示译码器卡诺图

③由于以上各卡诺图中为0的项少,故用圈0化简法,得各输出的表达式为:

以上为与或表达式,若用与非门组成译码器,表达式应变换为与非表达式:(用双非的方法并接合摩根定律即可变换)

④根据以上与非表达式,画出七段显示译码器的逻辑图,如图3-84所示。

图3-84 七段显示译码器

8.触发器

触发器由逻辑门电路组成,它具有记忆和存贮功能,在某一时刻的输出不仅和当时的输入状态有关,而且还和在此之前的电路状态有关。即当输入信号消失后,触发器的状态被记忆,直到再输入信号后,它的状态才可能变化。

(1)基本RS触发器

基本RS触发器是最基础的触发器。

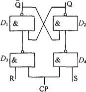
①电路的组成。基本RS触发器由两个与非门交叉耦合组成,如图3-85(a)所示。图中门D1和D2的输入、输出交叉连接,门D1、D2的另一个输入端RD、SD为触发器的输入端,门D1、D2的输出端Q、为触发器的输出端。

(a)逻辑图

(b)逻辑符号

图3-85 与非门组成的基本RS触发器

图3-85(b)为基本RS触发器的逻辑符号。输入端的小圆圈表示触发器由输入信号的低电平(用0表示)触发,或称低电平有效。触发器的小圆圈表示触发器状态的非输出端,则Q为触发器的输出端。显然Q为高电平(用1表示),则为低电平,即Q=1,,触发器处于1态;若Q为低电平,则为高电平,即Q=1,,触发器处于0态。

②逻辑功能。在触发器没有输入信号时,即RD=SD=1,触发器处于稳定状态,即保持原态;

当RD=1,SD=0时,触发器被置1,即被置位;

当RD=0,SD=1时,触发器被置0,即被复位;

当RD=SD=0时,触发器的状态不确定。触发器应避免RD=SD=0的输入状态。

③特性表。设定用Qn表示触发器的原状,即现态,用Qn+1表示加入触发信号后,触发器的新状态,即次态。根据对基本RS触发器工作原理的分析,将它的Qn+1、Qn、RD、SD之间的逻辑关系用表3-11所列的真值表来表示。该真值表反映了触发器的状态转换,通常称为特性表。

表3-11 基本RS触发器的特性表

在特性表中,第一,二两种状态属于RD=SD=0的情况,是不允许出现的,故对应的Qn+1用符号“Φ”表示不确定状态,Φ可以取0,也可以取1,是任意的。

④驱动表。由触发器输出状态的转换来反映输入状态所对应的真值表为驱动表。

驱动表可由特性表转变而来。表3-11中的画线反映了由特性表转变为驱动表的对应关系。表3-12为基本RS触发器的驱动表。

表3-12 基本RS触发器的驱动表

⑤状态图。驱动表可用图形来表示。这种图形叫做触发器的状态图。图3-86为基本RS触发器的状态图。状态图比驱动表直观,图中圆圈内的数字表示触发器的状态,箭头线表示触发器状态转换方向,箭头线旁标注着进行该转换的输入值。

图3-86 基本RS触发器的状态图

⑥特性方程。表示触发器Qn+1和Qn、RD、SD之间关系的逻辑表达式称为特性方程。

由表3-11所示的基本RS触发器的特性表,可画出含有约束项的卡诺图,如图3-87所示。将该卡诺图化简后,可得基本RS触发器的特性方程为:

图3-87 基本RS触发器的卡诺图

式中 Qn——触发器的原状态,即现态;

Qn+1——加入触发信号后,触发器的新状态;即次态;

RD、SD——基本RS触发器的两个输入端。

式中约束条件RD+SD=1的含义是:RD、SD至少有一个为1,不允许同时为0。

(2)钟控RS触发器

基本RS触发器是由RD、SD输入端的触发脉冲直接控制的。如增设一个时钟控制输入端CP,只有CP输入端出现时钟脉冲时,触发器才能动作,其状态仍由R、S输入端的状态来决定,这类触发器就叫做钟控RS触发器,也叫做同步RS触发器。

如图3-88(a)所示,钟控RS触发器由与非门D1、D2组成的基本RS触发器和与非门D3、D4组成的控制门构成的。图中CP输入端是控制输入端,也称为时钟脉冲输入端。图3-88(b)为钟控RS触发器的逻辑符号。钟控RS触发器由输入信号的高电平(用1表示)触发,或称高电平有效。

(a)逻辑图

(b)逻辑符号

图3-88 钟控RS触发器

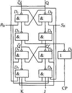
(3)主从RS触发器

为了解决触发器的输出受输入信号直接控制的问题,通常采用主从结构的触发器。

如图3-89(a)所示,主从RS触发器由两个钟控RS触发器组成,其中与非门D1、D2、D3、D4组成的钟控RS触发器称为从触发器,D5、D6、D7、D8组成的钟控RS触发器为主触发器。时钟脉冲CP除直接加到主触发器外,还经过非门D9反相后送到从触发器。电路中RD、SD为触发器的直接复位端和直接置位端。图3-89(b)为主从RS触发器的逻辑符号,CP端小圆圈表示下降沿触发(下降沿表示触发脉冲由高电平转变为低电平时)。

(a)逻辑图

(b)逻辑符号

图3-89 主从RS触发器

主从RS触发器的工作原理为:在CP=1期间,从触发器被封锁,主触发器被开启,R、S的状态决定主触发器的状态;在CP下降沿到来时,主触发器被封锁,从触发器被开启,从触发器的状态由主触发器的状态来决定。由于主触发器和从触发器总有一个开启,另一个被封锁,因此输入信号R、S的状态不直接影响主从触发器Q、的状态。

(4)主从JK触发器

①电路的组成。图3-90(a)是主从JK触发器的逻辑图,电路中RD、SD为触发器的直接复位端和直接置位端。

(a)逻辑图

(b)逻辑符号

图3-90 主从JK触发器

与图3-89(a)所示的主从RS触发器相比较,将主从触发器的Q、分别反馈到与非门D7、D8的输入端,并将S端作为J端,R端作为K端,这样就构成了主从JK触发器。

图3-90(b)为主从JK触发器的逻辑符号。

②逻辑功能。主从JK触发器具有时钟脉冲控制下的保持,置0、置1和计数翻转的功能,同时解决了输入端不能同时为1的约束条件,即J、K可以同时为高电平。主从JK触发器是一种功能比较齐全的触发器。

③特性表。表3-13为主从JK触发器的特性表,它反映了该触发器所具有的逻辑功能。

表3-13 JK触发器的特性表

④驱动表。主从JK触发器的驱动表可由其特性表转变而来。表3-14为主从JK触发器的驱动表。

表3-14 JK触发器的驱动表

⑤状态图。由主从JK触发器的驱动表,可作出主从JK触发器的状态图,如图3-91所示。

图3-91 JK触发器的状态图

⑥特性方程。由JK触发器的特性表,可画出其卡诺图,如图3-92所示。将该卡诺图化简后,可得主从JK触发器的特性方程为:

图3-92 JK触发器Qn+1的卡诺图

式中 Qn——触发器的原状,即现态;

Qn+1——加入触发信号后,触发器的新状态,即次态;

J、K——JK触发器的两个输入端;

-——符号上面的横线表示非。

(5)主从D触发器

①电路的组成。主从D触发器是在主从JK触发器的J、K输入端之间加一个非门构成的,如图3-93(a)所示。图3-93(b)为主从D触发器的逻辑符号。主从D触发器为时钟脉冲CP下降沿触发。

(a)逻辑图

(b)逻辑符号

图3-93 主从D触发器

②逻辑功能。主从D触发器的输出随输入D的状态而改变。

③特性表。表3-15为主从D触发器的特性表,它反映了该触发器所具有的逻辑功能。

表3-15 主从D触发器的特性表

④驱动表。主从D触发器的驱动表可由其特性表转变而来。表3-16为主从D触发器的驱动表。

表3-16 主从D触发器的驱动表

⑤状态图。由主从D触发器的驱动表,可作出主从D触发器的状态图,如图3-94所示。

图3-94 D触发器的状态图

⑥特性方程。由表3-15主从D触发器的特性表,可直接得到主从D触发器的特性方程为:

Qn+1=D (3-304)

式中 Qn+1——加入触发信号后,触发器的新状态,即次态;

D——主从D触发器的输入端。

(6)主从T触发器

①电路的组成。将主从JK触发器的J、K端相连接,并作为T输入端,就构成了主从T触发器,如图3-95(a)所示。图3-95(b)为主从T触发器的逻辑符号。主从T触发器为时钟脉冲CP下降沿触发。

(a)逻辑图

(b)逻辑符号

图3-95 主从T触发器

②逻辑功能。由主从JK触发器的逻辑功能可知,当T=0时,即J=K=0时,触发器保持原态,即现态。即Qn+1=Qn;当T=1时,即J=K=1时,触发器计数翻转,即

③特性表。根据主从T触发器的逻辑功能,可列出主从T触发器的特性表,如表3-17所示。

表3-17 T触发器的特性表

④驱动表。主从T触发器的驱动表,可由其特性表转变而来。表3-18为主从T触发器的驱动表。

表3-18 T触发器的驱动表

⑤状态图。由主从T触发器的驱动表,可作出主从T触发器的状态图,如图3-96所示。

图3-96 T触发器的状态图

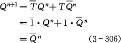
⑥特性方程。由主从T触发器的特性表,可直接得到主从T触发器的特性方程为:

式中 Qn——触发器的原状态,即现态;

Qn+1——加入触发信号后,触发器的新状态,即次态;

T——主从T触发器的输入端;

-——符号上面的横线表示非。

(7)主从T1触发器

将主从T触发器的输入端T接高电平,即1,就构成了主从T1触发器,如图3-97所示。主从T1触发器为时钟脉冲CP下降沿触发。

图3-97 主从T1触发器的逻辑图

在主从T触发器的特性方程中,令T=1,得:

因此主从T1触发器的特性方程为:

9.时序逻辑电路的分析

时序逻辑电路和组合逻辑电路不同,时序逻辑电路任何时刻的输出信号不仅取决于该时刻的输入信号,而且还取决于电路原来的状态。

时序逻辑电路的分析,就是根据给定的时序逻辑电路图,通过分析,求出它的输出F的变化规律以及电路状态Q的转换规律,进而说明该时序逻辑电路的逻辑功能和工作特性。其分析步骤如下:

①根据给定的时序电路图写出下列各逻辑方程式:

a.各触发器的时钟脉冲CP的逻辑表达式。

b.时序电路的输出方程。

c.各触发器的驱动方程。

②将驱动方程代入相应触发器的特性方程,求得各触发器的次态方程,也就是时序逻辑电路的状态方程。

③根据状态方程和输出方程,列出该时序电路的状态表,画出状态图或时序图。

④用文字描述给定时序逻辑电路的逻辑功能。

需要说明的是,上述步骤不是必须执行的固定程序,实际应用中可根据具体情况加以取舍。

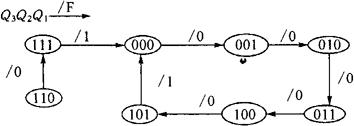
[例3-33] 对图3-98所示的同步时序逻辑电路进行分析。

图3-98

[解] ①根据图3-98所示的时序逻辑电路,列写各逻辑方程式。(由于该电路为同步时序逻辑电路,各触发器的时钟脉冲CP均相同,故各触发器的CP逻辑表达式可以不写)。

输出方程

驱动方程

②将驱动方程代入相应触发器的特性方程KQn(该电路所用的触发器为JK触发器),求出各触发器的次态方程。

③列状态表。先填入输入和现态的所有组合状态(本例中无输入变量,故状态表中此项,只有现态),然后根据输出方程及现态方程,逐行填入当前输出F的相应值,以及次态)的相应值。由此可列出例3-33的状态表,如表3-19所示。

表3-19 例8-33状态表

④状态图。根据状态表可画出这个电路的状态图,如图3-99所示。由状态图可见,000、001、010、011、100、101这6个状态形成了闭合回路,在电路正常工作时,电路状态总是按照回路中的箭头方向循环变化,因此这6个状态构成了有效序列,称它们为有效状态,其余的2个状态称为无效状态。

图3-99

⑤时序图(即波形图)。若设电路的初始状态为=000,根据状态表和状态图,可画出在一系列CP脉冲作用下的时序图,如图3-100所示。

图3-100

⑥逻辑功能分析。由状态图可看出,此电路在正常工作时,是一个六进制加法计数器,在时钟脉冲作用下,的数值从000到 101递增,每经过6个时钟脉冲作用后,电路的状态循环一次,当3个触发器的输出状态为101,电路输出F=1,否则,F=0。此外,由状态图还可看出,电路在正常工作时是无法达到无效状态的,若此电路由于某种原因,如噪声信号或接通电源迫使电路进入无效状态时,在CP脉冲作用后,电路能自动回到有效序列,电路的这种能力称为自启动能力。通常,希望时序电路具有自启动能力。

随便看

 

离鸟网收录3541549条中英文词条,其功能与新华字典、现代汉语词典、牛津高阶英汉词典等各类中英文词典类似,基本涵盖了全部常用中英文字词句的读音、释义及用法,是语言学习和写作的有利工具。

 

Copyright © 2004-2024 vtrois.com All Rights Reserved
更新时间:2026/4/8 5:22:44