网站首页  词典首页


请输入您要查询的字词:

 

字词 整流电路
类别 中英文字词句释义及详细解析
释义

整流电路


将交流电转变为直流的过程叫做整流,进行整流的设备叫做整流器,整流器由整流变压器、整流电路和滤波电路三部分组成。

整流变压器的作用是把输入的交流电压转变为整流电路所要求的电压值。

整流电路的作用是把交流电转变成方向不变,但大小随时间变化的脉动直流电。

滤波电路的作用是把脉动直流电转变成平滑的直流电供给负载。

整流电路有单相半波、全波、桥式及三相整流等电路形式。

1.单相半波整流电路

图3-46为单相半波整流电路。由图3-46(a)得知,该整流电路由整流变压器,一个整流二极管及负载组成。利用二极管的单相导电性,即正向导通,反向截止的特性把交流电转变成脉动直流电。由于该整流电路输出的脉动直流电的波形是输入的交流电波形的一半,故称为半波整流电路。其输出波形如图3-46(b)、(c)、(d)所示。单相半波整流电路的有关计算为:

图3-46 单相半波整流电路

(1)输出直流电压计算

UL=0.45U2

(3-194)

式中 UL——输出直流电压(V);

U2——变压器二次侧电压有效值(V)。

(2)整流管的最大反向电压计算

式中 UDRm——二极管的最大反向电压(V)。

(3)整流管的正向电流计算

式中 IL——输出直流电流(A);

RL——负载电阻(Ω);

IDF——二极管的正向电流(A)。

2.单相全波整流电路

图3-47为单相全波整流电路。单相全波整流电路实际上是由两个单相半波整流电路组成,如图3-47(a)所示。工作时,在交流电一个周期内,二极管V1和V2交替导通,负载RL上得到全波脉动直流电压和电流,故称为全波整流电路。其输出波形如图3-47(b)、(c)、(d)所示。单相全波整流电路的有关计算为:

图3-47 单相全波整流电路

(1)输出直流电压计算

UL=0.9U2 (3-198)

式中 UL——输出直流电压(V);

U2——变压器二次侧电压有效值(V)。

(2)整流管的最大反向电压计算

式中 UDRm——二极管的最大反向电压(V)。

(3)整流管的正向电流计算

式中 IL——输出直流电流(A);

RL——负载电阻(Ω);

IDF——二极管的正向电流(A)。

3.单相桥式整流电路

图3-48为单相桥式整流电路。电路中四只二极管接成电桥形式,所以叫做桥式整流电路。单相桥式整流电路输出的电压波形与单相全波整流电路电压输出波形一样,如图3-50所示。图3-49为单相桥式整流电路的电流通路。单相桥式整流电路的有关计算为:

图3-48 单相桥式整流电路

图3-49 单相桥式整流电流通路

图3-50 单相桥式整流波形图

(1)输出直流电压计算

UL=0.9U2 (3-202)

式中 Uo——输出直流电压(V);

U2——变压器二次侧电压有效值(V)。

(2)整流管的最大反向电压计算

式中 UDRm——二极管的最大反向电压(V)。

(3)整流管的正向电流计算

式中 IL——输出直流电流(A);

RL——负载电阻(Ω);

IDF——二极管的正向电流(A)。

[例3-15] 某一直流负载,电阻为1.5kΩ,要求工作电流为10mA,如果采用半波整流电路,试求整流变压器次级的电压值,并选择适当的整流二极管。

[解] 整流变压器次级的电压为:

流过二极管的正向电流为:

IDF=IL=10mA

二极管承受的最大反向电压为:

根据以上参数,查晶体管手册,可选用一只额定整流电流为100mA,最高反向工作电压为50V的2CZ82B型整流二极管。

单相半波整流的特点是,电路简单,使用的器件少,但是输出电压脉动大。由于只利用了电源半波,理论计算表明其整流效率仅40%左右,因此只能用于小功率以及对输出电压波形和整流效率要求不高的设备。

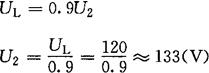
[例3-16] 某人设计一个单相全波整流电路,要求输出电压为120V,电流为3A。试求整流变压器每半个次级绕组的电压,并选择合适的整流二极管。

[解] 变压器次级的电压为:

流过二极管的正向电流:

二极管承受的最大反向电压:

查晶体管手册,可选用整流电流为3A,最高反向工作电压为400V的两只2CZ56F型整流二极管。

单相全波整流电路的特点是输出电压脉动小、整流效率较高,但是变压器次级需要中心抽头,二极管承受反向电压高,需选择耐压等级高的二极管。

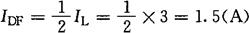
[例3-17] 某电磁工作台绕组的直流电阻为82Ω,为了使电磁工作台能牢固吸引工件,通入的直流电流应取1.5A,若采用单相桥式整流电路,试计算整流变压器次级电压和选择整流二极管。

[解] 电磁工作台绕组的两端电压为:

UL=IL·RL=1.5×82=123(V)

变压器次级电压为:

U2≈1.11UL=1.11×123≈137(V)

流过二极管的正向电流为:

二极管承受的最大反向电压为:

UDRm≈1.57UL=1.57×123≈193(V)

根据以上计算,查晶体管手册,可选用整流电流为1A,最高反向工作电压为300V的四只2CZ55E型整流二极管。

桥式整流电路的特点是,输出电压及波形都与全波整流一样,而且变压器次级没有中心抽头,绕组减少一半,每只整流二极管承受的反向电压降低一半,由于每半周内变压器次级绕组都有电流流过,变压器利用效率高。正因为桥式整流电路具有上述优点,所以在仪器仪表、通讯、控制装置等设备中应用最为广泛。

4.单相倍压整流电路

图3-51为二倍压整流电路。倍压整流电路巧妙地利用了储能元件——电容器的充放电作用,只需输入较低的交流电压,就能输出高于输入电压多倍的直流电压。倍压整流电路的有关计算为:

(a)

(b)

图3-51 二倍压整流电路

(1)二倍压整流电路输出电压的计算 (3-206)

式中 UL——输出直流电压(V);

U2——变压器二次侧电压有效值(V)。

(2)整流管最大反向电压的计算

式中 UDRm——二极管的最大反向电压(V)。

(3)整流管正向电流的计算

式中 IDF——二极管的正向电流(A);

IL——输出直流电流(负载电流)(A);

RL——负载电阻(Ω)。

若用多个整流二极管和电容器就可构成n倍压整流电路,如图3-52所示的n倍压整流电路,其输出电压的计算为:

图3-52 n倍压整流电路

n倍压时,整流管最大反向电压的计算为:

n倍压时,第一个电容器两端电压的计算为:

n倍压时,除第一个外,其余电容器两端电压的计算为:

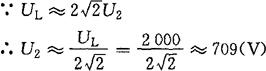
[例3-18] 某电子仪器中需要2kV直流电压和3mA的直流电流。试求,分别利用二倍压、四倍压整流电路时整流变压器的次级电压和整流二极管的最大反向电压。

[解] 采用二倍压整流电路时:

二极管的最大反向电压

采用四倍压整流电路时:

二极管的最大反向电压

倍压整流电路的特点是,可以用较低的交流电压获得较高的直流输出电压,它不仅对正弦波适用,而且也适用于对称的矩形波。由于倍压整流要求负载电阻大,所以只能输出小电流,而且倍压电路节数增多,带负载能力下降,因此倍压整流电路只适用于高电压小电流情况。

5.三相半波整流电路

图3-53为共阴极接法的三相半波整流电路。单相整流电路的输出功率一般不超过几千瓦,大功率直流电源多采用三相整流电路。三相整流电路具有输出电压脉动小,输出功率大,变压器利用率高的特点。

图3-53 三相半波整流电路

三相半波整流电路中,变压器的初级绕组接成三角形,次级绕组接成星形,三只二极管V1、V3、V5的负极接在一起,为共阴极接法。若三个二极管的正极接在一起,则为共阳极接法。

图3-54为共阴极接法的三相半波整流电路的电压波形图。

图3-54 三相半波整流电路电压波形

三相半波整流电路的有关计算为:

(1)输出直流电压计算

UL=1.17U2 (3-213)

式中 UL——输出直流电压(V);

U2——变压器二次侧相电压有效值(V)。

(2)整流管的最大反向电压计算

UDRm=2.45U2 (3-214)

式中 UDRm——二极管的最大反向电压(V)。

(3)整流管的正向电流计算

式中 IL——输出直流电流(A);

RL——负载电阻(Ω)

IDF——二极管的正向电流(A)。

6.三相桥式整流电路

图3-55为三相桥式整流电路。它是由两个三相半波整流电路串联组合而成的。二极管V1、V3、V5组成共阴极接法的三相半波整流电路,二极管V2、V4、V6组成共阳极接法的三相半波整流电路。负载RL接在E、F点。

图3-55 三相桥式整流电路

图3-56为三相桥式整流电路的电压波形图。

图3-56 三相桥式整流电路电压波形

三相桥式整流电路的有关计算为:

(1)输出直流电压计算

UL=2.34U2 (3-217)

式中 UL——输出直流电压(V);

U2——变压器二次侧相电压有效值(V)。

(2)整流管的最大反向电压计算

UDRm=2.45U2 (3-218)

式中 UDRm——二极管的最大反向电压(V)。

(3)整流管的正向电流计算

式中 IL——输出直流电流(A);

RL——负载电阻(Ω);

IDF——二极管的正向电流(A)。

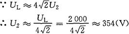
[例3-19] 某厂金工车间需直流电源一台,要求输出电压为12V,输出电流为100A,试计算用三相半波整流电路时,变压器次级绕组的电压和整流二极管的参数。

[解] 变压器次级绕组电压

流过整流二极管的正向电流

整流二极管承受的最大反向电压

UDRm≈2.09UL≈2.09×12≈25(V)

三相半波整流电路的特点是,电路比较简单,但存在着输出电压还有一定的脉动,变压器的利用率不高,每个初、次级绕组只在三分之一的周期内工作,而且通过次级绕组的直流电流会使变压器铁芯趋于饱和等缺点,因此在应用上受到一定限制。

[例3-20] 一直流电源,采用三相桥式整流,负载电压和电流分别为60V和450A,求整流二极管的实际工作电流和最高反向工作电压各为多少?

[解] 整流二极管的工作电流为

整流二极管承受的最高反向工作电压为

UDRm≈1.05UL=1.05×60=63(V)

三相桥式整流电路的特点是,变压器的利用率较高,输出电压比三相半波整流电流大一倍,脉动小,广泛应用于要求输出电压高,脉动小的电气设备中。

随便看

 

离鸟网收录3541549条中英文词条,其功能与新华字典、现代汉语词典、牛津高阶英汉词典等各类中英文词典类似,基本涵盖了全部常用中英文字词句的读音、释义及用法,是语言学习和写作的有利工具。

 

Copyright © 2004-2024 vtrois.com All Rights Reserved
更新时间:2026/4/7 19:23:52