网站首页  词典首页


请输入您要查询的字词:

 

字词 断面法
类别 中英文字词句释义及详细解析
释义

断面法


断面法是以一组等距(或不等距)的相互平行的截面将拟整治的地形分截成若干“段”,计算这些“段”的体积,再将各段的体积累加,从而求得总的土方量。

断面法的计算公式如下:

式中 S1,S2——两相邻断面上的填土面积(或挖土面积);

L——两相邻断面的间距。

此法的计算精度取决于截取断面的数量,多则精,少则粗。

断面法根据其取断面的方向不同主要分为垂直断面法和水平断面法(等高线法)两种。

1.垂直断面法

如图8-13(a)所示,ABCD是计划在山梁上拟平整场地的边线。设计要求:平整后场地的高程为67m,AB边线以北的山梁要削成1∶1的斜坡。分别估算挖方和填方的土方量。

图8-13 垂直断面法

(a)1∶1000地形图局部;(b)A-B,1-1,8-8三个断面图

(1)ABCD场地部分

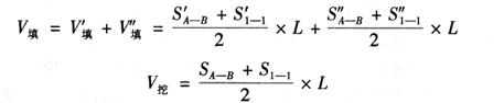
根据ABCD场地边线内的地形图,每隔一定间距(本例采用的是图上10cm)画一垂直于左、右边线的断面图,图8-13(b)为A-B,1-1和8-8的断面图(其他断面省略)。断面图的起算高程定为67m,这样一来,在每个断面图上,凡是高于67m的地面和67m高程起算线所围成的面积即为该断面处的挖土面积,凡由低于67m的地面和67m高程起算线所围成的面积即为该断面处的填土面积。

分别求出每一断面处的挖方面积和填方面积后,根据上式即可计算出两相邻断面间的填方量和挖方量。例如,A-B断面和1-1断面间的填、挖方量为:

式中 S′,S″——断面处的填方面积;

S——断面处的挖方面积;

L——A-B断面和1-1断面间的间距。

同法可计算出其他相邻断面间的土方量。最后求出ABCD场地部分的总填方量和总挖方量。

(2)AB线以北的山梁部分

首先按与地形图基本等高距相同的高差和设计坡度,算出所设计斜坡的等高线间的水平距离。在本例中,基本等高距为1m,所设计斜坡的坡度为1∶1,所以设计等高线间的水平距离为1m,按照地形图的比例尺,在边线AB以北画出这些彼此平行且等高距为1m的设计等高线,如图8-13(a)中AB边线以北的虚线所示。每一条斜坡设计等高线与同高的地面等高线相交的点,即为零点。把这些零点用光滑的曲线连接起来,即为不填不挖的零线。在零线范围内,就是需要挖土的地方。

为了计算土方,需画出每一条设计等高线处的断面图,如图8-14所示,画出了68-68和69-69两条设计等高线处的断面图(其他断面省略)。在画设计等高线处的断面图时,其起算高程要等于该设计等高线的高程。有了每一设计等高线处的断面图后,即可计算出相邻两断面的挖方。

图8-14 68-68和69-69两条设计等高线处的断面图

最后,第一部分和第二部分的挖方总和即为总的挖方。

2.等高线法(水平断面法)

当地面高低起伏较大且变化较多时,可以采用等高线法。此法是先在地形图上求出各条等高线所包围的面积,乘以等高距,得各等高线间的土方量,再求总和,即为场地内最低等高线H0以上的总土方量V。如要平整为一水平面的场地,其设计高程H可按下式计算:

式中 H0——场地内的最低高程,一般不在某一条等高线上,需根据相邻等高线内插求出;

V——场地内最低高程H0以上的总土方量;

S——场地总面积,由场地外轮廓线决定。

当设计高程求出以后,后续的计算工作可按方格网法进行。

若在数字地形图上,利用数字地面模型来计算平整场地的挖、填方工程量,则更为方便。先在场地范围内按比例尺设计一定边长的方格网,提取各方格顶点的坐标,并插算各点相应的高程,同时,给出或算出设计高程,求算各点的挖、填高度,按照挖、填范围分别求出挖、填土(石)方量,这种方法比在地形图上手工画图计算更为快捷。

随便看

 

离鸟网收录3541549条中英文词条,其功能与新华字典、现代汉语词典、牛津高阶英汉词典等各类中英文词典类似,基本涵盖了全部常用中英文字词句的读音、释义及用法,是语言学习和写作的有利工具。

 

Copyright © 2004-2024 vtrois.com All Rights Reserved
更新时间:2026/4/8 11:32:44