网站首页  词典首页


请输入您要查询的字词:

 

字词 斯卢茨基方程
类别 中英文字词句释义及详细解析
释义

斯卢茨基方程


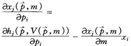
又常被称作经济价值论的基本方程。该方程把同价格变化有关的需求量变化分为两部分:替代效应和收入效应。其代数表达式为:

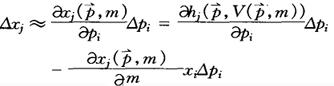
式中,xj(,m)是关于j的马歇尔需求函数,hj(,V(,m))是关于j的希克斯需求函数,V(,m)是间接效用函数。方程两边同乘以△pi有:

上式左边为需求变化的总效应,右边第一项是替代效应,第二项是收入效应,其中xi△pi为保证效用不变所需的收入改变量(或补偿量)。

〖参〗马歇尔需求函数

希克斯需求函数

间接效用函数

替代效应

收入效应

随便看

 

离鸟网收录3541549条中英文词条,其功能与新华字典、现代汉语词典、牛津高阶英汉词典等各类中英文词典类似,基本涵盖了全部常用中英文字词句的读音、释义及用法,是语言学习和写作的有利工具。

 

Copyright © 2004-2024 vtrois.com All Rights Reserved
更新时间:2026/4/8 19:24:25