网站首页  词典首页


请输入您要查询的字词:

 

字词 方格网法
类别 中英文字词句释义及详细解析
释义

方格网法


方格网法适用于高低起伏较小,地面坡度变化均匀的场地。如图8-11所示,欲将该地区平整成地面高度相同的平坦场地,具体步骤如下。

1.绘制方格网

在地形图上拟建工程的区域范围内,直接绘制出2cm×2cm的方格网,如图8-11所示,图中每个小方格边对应的实地距离为2cm×M(M为比例尺的分母)。本图的比例尺为1∶1000,方格网的边长为20m×20m,并进行编号,其方格网横线从上到下依次编为A,B,C,D等行号,其方格网纵线从左至右顺次编号为1,2,3,4,5等列号。则各方格点的编号用相应的行、列号表示,如A1,A2等,并标注在各方格点左下角。

图8-11 场地平整土石方量计算

2.计算方格网格点的地面高程

依据方格网各格点在等高线的位置,利用比例内插的方法计算出各点的实地高程,并标注在各方格点的右上角。

3.计算设计高程

根据各个方格点的地面高程,分别求出每个方格的平均高程Hi(i为1,2,3,…,表示方格的个数),将各个方格的平均高程求和并除以方格总数n,即得设计高程H

本例中,先将每一小方格顶点高程加起来除以4,得到每一小方格的平均高程,再把各小方格的平均高程加起来除以小方格总数即得设计高程。经计算,其场地平整时的设计高程约为33.4m,并将计算出的设计高程标在各方格点的右下角。

4.计算各方格点的填、挖厚度(即填挖数)

根据场地的设计高程及各方格点的实地高程,计算出各方格点处的填高或挖深的尺寸,即各点的填挖数

填挖数=地面点的实地高程-场地的设计高程填挖数为“+”时,表示该点为挖方点;填挖数为“-”时,表示该点为填方点。

并将计算出的各点填挖数填写在各方格点的左上角。

5.计算方格零点位置并绘制零位线

计算出各方格点的填挖数后,即可求每条方格边上的零点(既不需填也不需挖的点)。这种点只存在于由挖方点和填方点构成的方格边上。求出场地中的零点后,将相邻的零点顺次连接起来,即得零位线(即场地上的填挖边界线)。零点和零位线是计算填、挖方量和施工的重要依据。

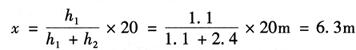
在方格边上计算零点位置,可按图解几何法,依据等高线内插原理来求取。如图8-12所示,A4为挖方点,B4为填方点,在A4,B4方格边上必存在零点O。设零点O与A4点的距离为x,则其与B4点距离为20-x,由此得到关系式

式中 h1,h2——方格点的填挖数,按此式计算零点位置时,不带符号。

则有

即A4,B4方格边上的零点O距离A4为6.3m。用同样的方法计算出其他各方格边的零点,并顺次相连,即得整个场地的零位线,用虚线绘出。

图8-12 比例内插法确定零点

6.计算各小方格的填、挖方量

计算填、挖方量有两种情况:一种为整个小方格全为填(或挖)方;其二为小方格内既有填方,又有挖方,其计算方法如下:

首先计算出各方格内的填方区域面积A及挖方区域面积A。整个方格全为填或挖(单位为m3),则土石方量为

方格中既有填方,又有挖方,则土石方量分别为

7.计算总填、挖方量

用上面介绍的方法计算出各个小方格的填、挖方量后,分别汇总以计算总的填、挖方量。一般来说,场地的总填方量和总挖方量两者应基本相等,但由于计算中多使用近似公式,故两者之间可略有出入。如相差较大,说明计算中有差错,应查明原因,重新计算。

随便看

 

离鸟网收录3541549条中英文词条,其功能与新华字典、现代汉语词典、牛津高阶英汉词典等各类中英文词典类似,基本涵盖了全部常用中英文字词句的读音、释义及用法,是语言学习和写作的有利工具。

 

Copyright © 2004-2024 vtrois.com All Rights Reserved
更新时间:2026/4/8 2:07:15