网站首页  词典首页


请输入您要查询的字词:

 

字词 方格网计算法
类别 中英文字词句释义及详细解析
释义

方格网计算法


在一个方格网内同时有挖土和填土时(挖土地段冠以“+”号,填土地段冠以“-”号),应求出零点(即不填不挖点),零点相连就是划分挖土和填土的零线(见图2-57)。计算零点可采用以下公式:

图2-57

式中 x-施工标高至零界点的距离;

h1、h4-挖土和填土的施工标高;

a-方格网的每边长度。

方格网内的土方工程量计算,有下列几个公式:①四点均为填土或挖土(见图2-58)

图2-58

式中 ±V-为填土或挖土的工程量(m3);

h1、h2、h3、h4-施工标高(m);

a-方格网的每边长度(m)。

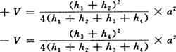
②二点为挖土和二点填土(见图2-59)

图2-59

公式为:

③三点挖土和一点填土或三点填土一点挖土(见图2-60)

图2-60

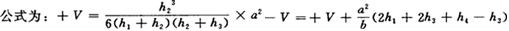
④二点挖土和二点填土成对角形(见图2-61)

图2-61

中间一块即四周为零界线,就不挖不填,所以只要计算四个三角锥体,公式为:

以上土方工程量计算公式,是假设在自然地面和设计地面都是平面的条件,但自然地面很少符合实际情况的,因此计算出来的土方工程量会有误差,为了提高计算的精确度,应检查一下计算的精确程度,用K值表示:

上式即方格网的二对角点的施工标高总和的比例。当K=0.75-1.35时,计算精确度为5%;K=0.80-1.20时,计算精确度为3%。一般土方工程量计算的精确度为5%。

〔计算例〕 某建设工程场地大型土方方格网图(见图2-62)。

图2-62

a=30米,括号内为设计标高,无括号为地面实测标高,单位均为米。

a.求施工标高:

施工高程=地面实测标高-设计标高(见图2-63)

图2-63

b.求零线:

先求零点,图中已知1和7为零点,尚需求8-13;9-14,14-15线上的零点,如8-13线上的零点为

另一段为 d-x=30-11.4=18.6

求出零点后,连接各零点即为零线,图上折线为零线以上为挖方区,以下为填方区。

c.求土方量:计算见表2-24。

表2-42

随便看

 

离鸟网收录3541549条中英文词条,其功能与新华字典、现代汉语词典、牛津高阶英汉词典等各类中英文词典类似,基本涵盖了全部常用中英文字词句的读音、释义及用法,是语言学习和写作的有利工具。

 

Copyright © 2004-2024 vtrois.com All Rights Reserved
更新时间:2026/4/6 21:40:58