网站首页  词典首页


请输入您要查询的字词:

 

字词 施工基面测量
类别 中英文字词句释义及详细解析
释义

施工基面测量


施工基面就是竖立杆塔时作为计算基础埋深和杆塔高度的起始平面。在线路施工中,杆塔基础的埋置深度是以水平地面为基准规定的,一般根据杆塔基础的埋深和宽度以及斜坡的工程地质指标选择合适的施工基面。施工基面如果定的很低,虽然对保证基础稳定有好处,但增加了基坑开挖的土方量,而且降低了悬挂点的高程,减少了导线对地距离。施工基础测量的目的就是根据规范要求定出适当的施工基面,测定基础开挖的土方量。为此,先要标定杆塔各个基脚的位置,这步工作又称分坑。

1.直线杆塔

位于直线部分的单杆的杆脚位于杆位桩上,门型双杆和正方锥型铁塔的各杆则以杆位桩为对称中心,分布在路径中线的两边,如图15-4所示。

图15-4 直线杆塔基脚位置

2.转角杆塔

位于转角点上的杆塔,除了转角很小(10°以内)时,可以直接以转角桩(J桩)作杆塔中心桩外,也可以位移桩作杆塔中心桩,如图15-5所示。

图15-5 转角杆塔基脚位置

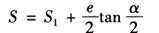
在测定转角杆塔各脚位置之前,应先测定位移桩。具体方法是:首先在转角桩上安置经纬仪,定出内分角线(角值为180°-α的角度平分线),从J桩沿内分角线量出一段平距S,即

式中 S1——为使横担两边绝缘子串之间的跳线与杆身保持应有的间隙而设计的预偏距离;

e——横担和绝缘子串挂板(也称挂线板)两边的宽度;

α——转角角度。

式中数据可从杆塔设计图中查得。

杆塔基脚位置标定后,从靠外坡方向的杆脚位置朝坡下量出一段平距D,标定地面点,定出施工基面桩,如图15-6所示。D的大小根据基础底盘大小和埋深确定。一般单杆和门型双杆采用1~2m;铁塔采用2~3m;转角杆塔按此要求放大0.5m左右。定出施工基面桩后,测定它对杆位中心桩的高差。

图15-6 标定施工基面的方法

单杆和门型杆均不平整地基,直接从杆脚地面按基坑要求大小放坡切口开挖;铁塔需先按施工基面标高平整地基,平整后恢复塔脚中心位置,再按基坑要求大小放坡切口开挖。基坑开挖深度均从施工基面桩起算,需用水准测量测定,使基坑地面标高符合设计要求。

随便看

 

离鸟网收录3541549条中英文词条,其功能与新华字典、现代汉语词典、牛津高阶英汉词典等各类中英文词典类似,基本涵盖了全部常用中英文字词句的读音、释义及用法,是语言学习和写作的有利工具。

 

Copyright © 2004-2024 vtrois.com All Rights Reserved
更新时间:2026/4/6 21:26:04