网站首页  词典首页


请输入您要查询的字词:

 

字词 曲面积分的定义、性质和计算
类别 中英文字词句释义及详细解析
释义

曲面积分的定义、性质和计算


对面积(或第一型)的曲面积分定义 设曲面∑是光滑(1)的,函数f(x,y,z)在∑上有界.将∑任分为几小块△Si.同时也代表第i块曲面的面积,在∑上任取一点(ξi,ηi,ξi)(i=1,2,…,n)作和式i.如果当小块曲面的直径最大值λ→0时,和式的极限存在,则称此极限为函数f(x,y,z)在曲面S上的对面积(或第一型)的曲面积分.记作

其中f(x,y,z)称为被积函数,f(x,y,z)dS称为被积分式,∑称为积分曲面.

对面积的曲面积分的性质(见图11.7)

图11.7

对面积的曲面积分的计算公式 设曲面∑由z=z(x,y)给出,∑在Oxy平面上的投影区域为D.z=z(x,y)在D上具有连续偏导数,f(x,y,z)在∑上连续,则

类似可得,曲面∑由x=x(y,z)给出,∑在Oyz平面的投影区域为D,则

曲面∑在Ozx平面的投影区域为D,∑由y=y(x,z)给出,则

对坐标曲面积分的定义 设∑为光滑有向曲面,函数R(x,y,z)在∑上有界.将∑任分成n个小有向曲面△Si(也表示第i块小曲面的面积).△Si在Oxy面上的投影为(△Si)xy,(ξi,ηi,ξi)是△Si任取的一点.如果当各小块曲面的直径的最大值λ→0时,

存在,则称此极限为函数R(x,y,z)在有向曲面∑上对坐标x,y(第二型)的曲面积分,记作‖R(x,y,z)dxdy,即

其中R(x,y,z)称为被积函数,∑称为积分曲面.

类似地,可定义函数P(x,y,z)在有向曲面∑上对坐标y,z(第一型)的曲面

组合曲面积分

对坐标的曲面积分的性质

其中-∑表示与∑方向相反的有向曲面.

Q(x,y,z)dzdx+R(x,y,z)dxdy.

对坐标的曲面积分的计算方法

(1)当曲面方程以z=z(x,y)给出时,

其中z(x,y)具有一阶连续偏导数,∑在Oxy面上的投影为Dxy.当有向曲面∑取上侧时,则公式中取正号,取下侧时,则公式中取负号.

(2)若曲面∑的方程以y=y(x,z)给出,且有一阶连续偏导数,∑在Oxz面上的投影为Dxz,则

当有向曲面∑取右侧时,公式中取正号;∑取左侧时,公式取负号.

(3)若曲面方程以x=x(y,z)给出,且具有一阶连续偏导数,∑在Oyz平面上的投影为Dyz,则

当有向曲面∑取前侧时,公式中取正号;∑取后侧时,公式中取负号.

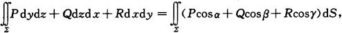
两类曲面积之间的关系

其中cosα,cosβ,cosγ是有向曲面S上点(x,y,z)处的法向量的方向余弦.

随便看

 

离鸟网收录3541549条中英文词条,其功能与新华字典、现代汉语词典、牛津高阶英汉词典等各类中英文词典类似,基本涵盖了全部常用中英文字词句的读音、释义及用法,是语言学习和写作的有利工具。

 

Copyright © 2004-2024 vtrois.com All Rights Reserved
更新时间:2026/4/8 8:08:03