网站首页  词典首页


请输入您要查询的字词:

 

字词 替代商品
类别 中英文字词句释义及详细解析
释义

替代商品


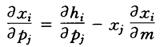
能满足消费者同一需要的商品,如茶与咖啡、大米与面粉等。可分为替代商品和总体替代商品。如果商品i的需求量xi在消费者的效用水平以及其他条件不变时,与商品j的价格pj按同方向变动,即:

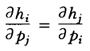
则商品i和商品j是替代商品,而且若支出函数是连续函数,则:

如果商品i的需求量xi对商品j的价格pj的总变化率为正,即:

那么商品i与商品j是总体替代商品。替代商品与总体替代商品并不互相包含,只是具有某些共同的交集。根据斯卢茨基方程:

〖参〗互补商品

独立商品

随便看

 

离鸟网收录3541549条中英文词条,其功能与新华字典、现代汉语词典、牛津高阶英汉词典等各类中英文词典类似,基本涵盖了全部常用中英文字词句的读音、释义及用法,是语言学习和写作的有利工具。

 

Copyright © 2004-2024 vtrois.com All Rights Reserved
更新时间:2026/4/7 10:15:32